Effects of Human Papilloma Virus E6/E7 Oncoproteins on Genomic Structure in Head and Neck Squamous Cell Carcinoma
Abstract
Simple Summary
Abstract
1. Introduction
2. Materials and Methods
2.1. Data Download
2.2. HPV Genome Expression Count Extraction
2.3. E6/E7 Transcripts per Million Calculation
2.4. Single Base Substitution and Indel Analysis
2.5. Structural Variation Analysis
2.6. Copy Number Variation Analysis
2.7. Gene Set Enrichment Analysis
3. Results
3.1. Chromosomal Point Mutation Frequency
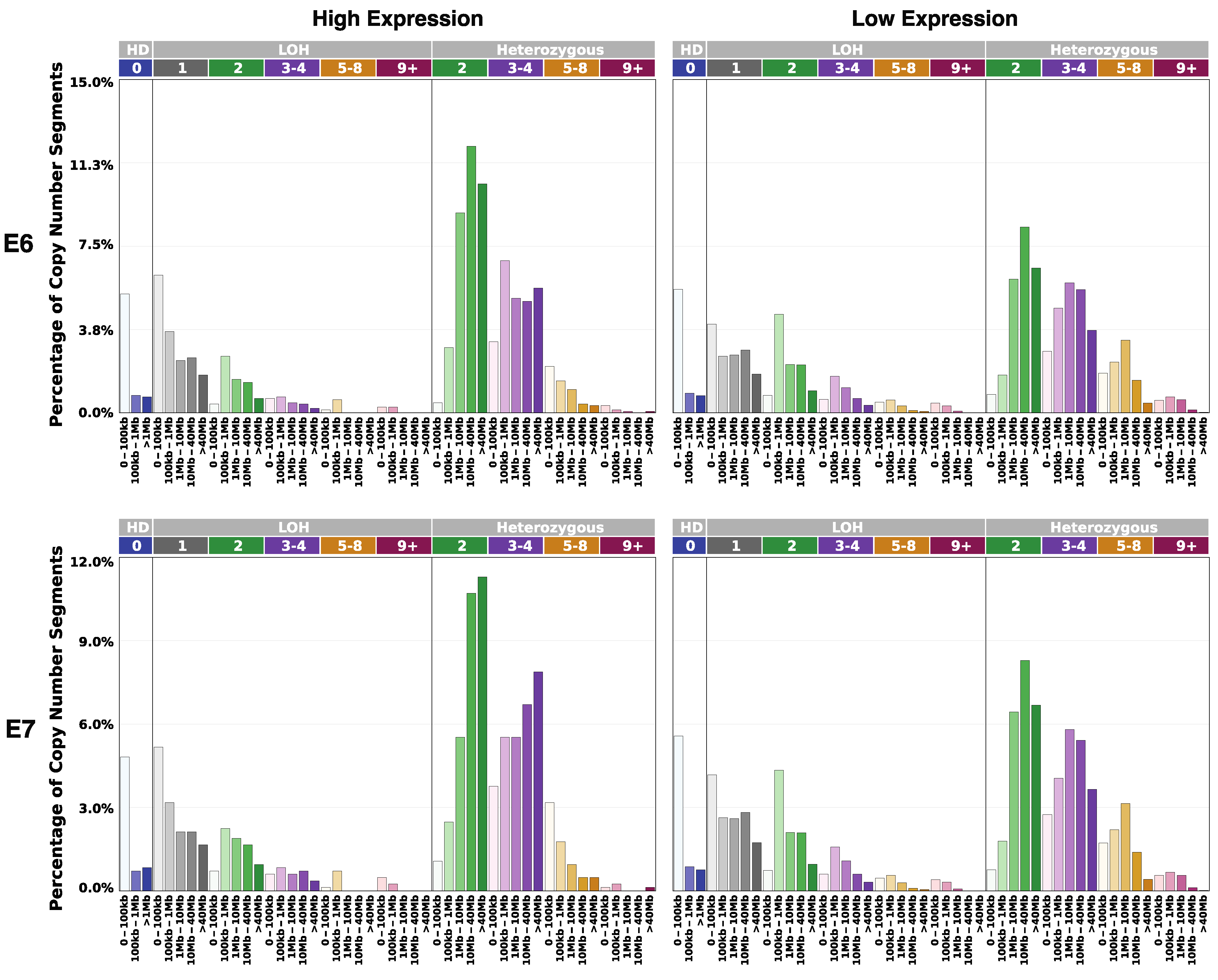
3.2. E6/E7 Expression Association with Genomic Mutation and Structural Variation
3.3. E6/E7 Expression Association with Cellular Signaling
4. Discussion
5. Conclusions
Author Contributions
Funding
Institutional Review Board Statement
Informed Consent Statement
Data Availability Statement
Conflicts of Interest
References
- Chesson, H.W.; Dunne, E.F.; Hariri, S.; Markowitz, L.E. The Estimated Lifetime Probability of Acquiring Human Papillomavirus in the United States. Sex. Transm. Dis. 2014, 41, 660–664. [Google Scholar] [CrossRef]
- Brianti, P.; De Flammineis, E.; Mercuri, S.R. Review of HPV-related diseases and cancers. New Microbiol. 2017, 40, 80–85. [Google Scholar]
- HPV-Associated Cancer Statistics. Centers for Disease Control and Prevention. 2021. Available online: https://www.cdc.gov/cancer/hpv/statistics/index.htm (accessed on 14 August 2022).
- American Cancer Society. Oral Cavity & Oropharyngeal Cancer Key Statistics 2021. Available online: https://www.cancer.org/cancer/oral-cavity-and-oropharyngeal-cancer/about/key-statistics.html (accessed on 14 August 2022).
- Hashibe, M.; Brennan, P.; Chuang, S.-C.; Boccia, S.; Castellsague, X.; Chen, C.; Curado, M.P.; Maso, L.D.; Daudt, A.W.; Fabianova, E.; et al. Interaction between Tobacco and Alcohol Use and the Risk of Head and Neck Cancer: Pooled Analysis in the International Head and Neck Cancer Epidemiology Consortium. Cancer Epidemiol. Biomark. Prev. 2009, 18, 541–550. [Google Scholar] [CrossRef]
- Mork, J.; Lie, A.K.; Glattre, E.; Clark, S.; Hallmans, G.; Jellum, E.; Koskela, P.; Møller, B.; Pukkala, E.; Schiller, J.T.; et al. Human Papillomavirus Infection as a Risk Factor for Squamous-Cell Carcinoma of the Head and Neck. N. Engl. J. Med. 2001, 344, 1125–1131. [Google Scholar] [CrossRef]
- Ragin, C.C.R.; Modugno, F.; Gollin, S.M. The Epidemiology and Risk Factors of Head and Neck Cancer: A Focus on Human Papillomavirus. J. Dent. Res. 2007, 86, 104–114. [Google Scholar] [CrossRef]
- Pal, A.; Kundu, R. Human Papillomavirus E6 and E7: The Cervical Cancer Hallmarks and Targets for Therapy. Front. Microbiol. 2020, 10, 3116. [Google Scholar] [CrossRef]
- Yim, E.-K.; Park, J.-S. The Role of HPV E6 and E7 Oncoproteins in HPV-associated Cervical Carcinogenesis. Cancer Res. Treat. 2005, 37, 319–324. [Google Scholar] [CrossRef]
- Dobin, A.; Davis, C.A.; Schlesinger, F.; Drenkow, J.; Zaleski, C.; Jha, S.; Batut, P.; Chaisson, M.; Gingeras, T.R. STAR: Ultrafast universal RNA-seq aligner. Bioinformatics 2013, 29, 15–21. [Google Scholar] [CrossRef]
- Bergstrom, E.N.; Ni Huang, M.; Mahto, U.; Barnes, M.; Stratton, M.R.; Rozen, S.G.; Alexandrov, L.B. SigProfilerMatrixGenerator: A tool for visualizing and exploring patterns of small mutational events. BMC Genom. 2019, 20, 1–12. [Google Scholar] [CrossRef]
- Subramanian, A.; Tamayo, P.; Mootha, V.K.; Mukherjee, S.; Ebert, B.L.; Gillette, M.A.; Paulovich, A.; Pomeroy, S.L.; Golub, T.R.; Lander, E.S.; et al. Gene set enrichment analysis: A knowledge-based approach for interpreting genome-wide expression profiles. Proc. Natl. Acad. Sci. USA 2005, 102, 15545–15550. [Google Scholar] [CrossRef]
- Mootha, V.K.; Lindgren, C.M.; Eriksson, K.-F.; Subramanian, A.; Sihag, S.; Lehar, J.; Puigserver, P.; Carlsson, E.; Ridderstråle, M.; Laurila, E.; et al. PGC-1α-responsive genes involved in oxidative phosphorylation are coordinately downregulated in human diabetes. Nat. Genet. 2003, 34, 267–273. [Google Scholar] [CrossRef]
- Atkin, N.B.; Baker, M.C. Nonrandom chromosome changes in carcinoma of the cervix uteri. I. Nine near-diploid tumors. Cancer Genet. Cytogenet. 1982, 7, 209–222. [Google Scholar] [CrossRef]
- Atkin, N.B.; Baker, M.C. Nonrandom chromosome changes in carcinoma of the cervix uteri. II. Ten tumors in the triploid-tetraploid range. Cancer Genet. Cytogenet. 1984, 13, 189–207. [Google Scholar] [CrossRef] [PubMed]
- Atkin, N.B.; Baker, M.C. Chromosome 17p loss in carcinoma of the cervix uteri. Cancer Genet. Cytogenet. 1989, 37, 229–233. [Google Scholar] [CrossRef] [PubMed]
- Ho, S.S.; Urban, A.E.; Mills, R.E. Structural variation in the sequencing era. Nat. Rev. Genet. 2019, 21, 171–189. [Google Scholar] [CrossRef]
- Stankiewicz, P.; Lupski, J.R. Structural Variation in the Human Genome and its Role in Disease. Annu. Rev. Med. 2010, 61, 437–455. [Google Scholar] [CrossRef]
- Zhang, F.; Gu, W.; Hurles, M.E.; Lupski, J.R. Copy Number Variation in Human Health, Disease, and Evolution. Annu. Rev. Genom. Hum. Genet. 2009, 10, 451–481. [Google Scholar] [CrossRef]
- Nichols, C.A.; Gibson, W.J.; Brown, M.S.; Kosmicki, J.A.; Busanovich, J.P.; Wei, H.; Urbanski, L.M.; Curimjee, N.; Berger, A.C.; Gao, G.F.; et al. Loss of heterozygosity of essential genes represents a widespread class of potential cancer vulnerabilities. Nat. Commun. 2020, 11, 2517. [Google Scholar] [CrossRef]
- Katzenellenbogen, R. Telomerase Induction in HPV Infection and Oncogenesis. Viruses 2017, 9, 180. [Google Scholar] [CrossRef]
- Oh, S.T.; Kyo, S.; Laimins, L.A. Telomerase Activation by Human Papillomavirus Type 16 E6 Protein: Induction of Human Telomerase Reverse Transcriptase Expression through Myc and GC-Rich Sp1 Binding Sites. J. Virol. 2001, 75, 5559–5566. [Google Scholar] [CrossRef]
- McBride, O.W.; Merry, D.; Givol, D. The gene for human p53 cellular tumor antigen is located on chromosome 17 short arm (17p13). Proc. Natl. Acad. Sci. USA 1986, 83, 130–134. [Google Scholar] [CrossRef] [PubMed]
- Soussi, T. The p53 Tumor Suppressor Gene: From Molecular Biology to Clinical Investigation. Ann. N. Y. Acad. Sci. 2006, 910, 121–139. [Google Scholar] [CrossRef] [PubMed]
- Zhang, W.; Yu, Y. The Important Molecular Markers on Chromosome 17 and Their Clinical Impact in Breast Cancer. Int. J. Mol. Sci. 2011, 12, 5672–5683. [Google Scholar] [CrossRef] [PubMed]
- Cocco, E.; Lopez, S.; Santin, A.D.; Scaltriti, M. Prevalence and role of HER2 mutations in cancer. Pharmacol. Ther. 2019, 199, 188–196. [Google Scholar] [CrossRef]
- Boot, A.; Liu, M.; Stantial, N.; Shah, V.; Yu, W.; Nitiss, K.C.; Nitiss, J.L.; Jinks-Robertson, S.; Rozen, S.G. Recurrent mutations in topoisomerase IIα cause a previously undescribed mutator phenotype in human cancers. Proc. Natl. Acad. Sci. USA 2022, 119, e2114024119. [Google Scholar] [CrossRef]
- Rossi, G.; Redaelli, V.; Contiero, P.; Fabiano, S.; Tagliabue, G.; Perego, P.; Benussi, L.; Bruni, A.C.; Filippini, G.; Farinotti, M.; et al. Tau Mutations Serve as a Novel Risk Factor for Cancer. Cancer Res. 2018, 78, 3731–3739. [Google Scholar] [CrossRef]
- Newsham, I.F. The Long and Short of Chromosome 11 in Breast Cancer. Am. J. Pathol. 1998, 153, 5–9. [Google Scholar] [CrossRef][Green Version]
- Karnik, P.; Paris, M.; Williams, B.R.G.; Casey, G.; Crowe, J.; Chen, P. Two distinct tumor suppressor loci within chromosome 11p15 implicated in breast cancer progression and metastasis. Hum. Mol. Genet. 1998, 7, 895–903. [Google Scholar] [CrossRef][Green Version]
- Orsetti, B.; Nugoli, M.; Cervera, N.; Lasorsa, L.; Chuchana, P.; Rouge, C.; Ursule, L.; Nguyen, C.; Bibeau, F.; Rodriguez, C.; et al. Genetic profiling of chromosome 1 in breast cancer: Mapping of regions of gains and losses and identification of candidate genes on 1q. Br. J. Cancer 2006, 95, 1439–1447. [Google Scholar] [CrossRef]
- Struski, S.; Doco-Fenzy, M.; Cornillet-Lefebvre, P. Compilation of published comparative genomic hybridization studies. Cancer Genet. Cytogenet. 2002, 135, 63–90. [Google Scholar] [CrossRef]
- Teixeira, M.R.; Pandis, N.; Heim, S. Cytogenetic clues to breast carcinogenesis. Genes Chromosom. Cancer 2001, 33, 1–16. [Google Scholar] [CrossRef] [PubMed]
- Riva, G.; Albano, C.; Gugliesi, F.; Pasquero, S.; Pacheco, S.F.C.; Pecorari, G.; Landolfo, S.; Biolatti, M.; Dell’Oste, V. HPV Meets APOBEC: New Players in Head and Neck Cancer. Int. J. Mol. Sci. 2021, 22, 1402. [Google Scholar] [CrossRef] [PubMed]
- Cannataro, V.L.; Gaffney, S.G.; Sasaki, T.; Issaeva, N.; Grewal, N.; Grandis, J.R.; Yarbrough, W.G.; Burtness, B.; Anderson, K.S.; Townsend, J.P. APOBEC-induced mutations and their cancer effect size in Head and Neck Squamous Cell Carcinoma. Oncogene 2019, 38, 3475–3487. [Google Scholar] [CrossRef] [PubMed]
- Li, Y.; PCAWG Structural Variation Working Group; Roberts, N.D.; Wala, J.A.; Shapira, O.; Schumacher, S.E.; Kumar, K.; Khurana, E.; Waszak, S.; Korbel, J.O.; et al. Patterns of somatic structural variation in human cancer genomes. Nature 2020, 578, 112–121. [Google Scholar] [CrossRef] [PubMed]
- Cosenza, M.R.; Rodriguez-Martin, B.; Korbel, J.O. Structural Variation in Cancer: Role, Prevalence, and Mechanisms. Annu. Rev. Genom. Hum. Genet. 2022, 23, 123–152. [Google Scholar] [CrossRef] [PubMed]
- Wang, W.-J.; Li, L.-Y.; Cui, J.-W. Chromosome structural variation in tumorigenesis: Mechanisms of formation and carcinogenesis. Epigenetics Chromatin 2020, 13, 1–17. [Google Scholar] [CrossRef]
- Barzel, A.; Kupiec, M. Finding a match: How do homologous sequences get together for recombination? Nat. Rev. Genet. 2008, 9, 27–37. [Google Scholar] [CrossRef]
- Shao, X.; Lv, N.; Liao, J.; Long, J.; Xue, R.; Ai, N.; Xu, D.; Fan, X. Copy number variation is highly correlated with differential gene expression: A pan-cancer study. BMC Med. Genet. 2019, 20, 1–14. [Google Scholar] [CrossRef]
- Bonnell, E.; Pasquier, E.; Wellinger, R.J. Telomere Replication: Solving Multiple End Replication Problems. Front. Cell Dev. Biol. 2021, 9, 668171. [Google Scholar] [CrossRef]







Publisher’s Note: MDPI stays neutral with regard to jurisdictional claims in published maps and institutional affiliations. |
© 2022 by the authors. Licensee MDPI, Basel, Switzerland. This article is an open access article distributed under the terms and conditions of the Creative Commons Attribution (CC BY) license (https://creativecommons.org/licenses/by/4.0/).
Share and Cite
Uzelac, M.; Barakchi, A.; Beldona, V.; John, D.; Chakladar, J.; Li, W.T.; Ongkeko, W.M. Effects of Human Papilloma Virus E6/E7 Oncoproteins on Genomic Structure in Head and Neck Squamous Cell Carcinoma. Cancers 2022, 14, 6190. https://doi.org/10.3390/cancers14246190
Uzelac M, Barakchi A, Beldona V, John D, Chakladar J, Li WT, Ongkeko WM. Effects of Human Papilloma Virus E6/E7 Oncoproteins on Genomic Structure in Head and Neck Squamous Cell Carcinoma. Cancers. 2022; 14(24):6190. https://doi.org/10.3390/cancers14246190
Chicago/Turabian StyleUzelac, Matthew, Armon Barakchi, Varsha Beldona, Daniel John, Jaideep Chakladar, Wei Tse Li, and Weg M. Ongkeko. 2022. "Effects of Human Papilloma Virus E6/E7 Oncoproteins on Genomic Structure in Head and Neck Squamous Cell Carcinoma" Cancers 14, no. 24: 6190. https://doi.org/10.3390/cancers14246190
APA StyleUzelac, M., Barakchi, A., Beldona, V., John, D., Chakladar, J., Li, W. T., & Ongkeko, W. M. (2022). Effects of Human Papilloma Virus E6/E7 Oncoproteins on Genomic Structure in Head and Neck Squamous Cell Carcinoma. Cancers, 14(24), 6190. https://doi.org/10.3390/cancers14246190

