Proposal of a T3 Subclassification for Colon Carcinoma
Abstract
Simple Summary
Abstract
1. Introduction
2. Materials and Methods
2.1. Inclusion and Exclusion Criteria of the Study
2.2. Description of the pT3 Subdivision
2.3. Tumor Documentation
2.4. Surgical Procedure, Adjuvant Treatment, and Follow-Up
2.5. Statistical Analysis
3. Results
3.1. Patient Characteristics
3.2. Locoregional Recurrences
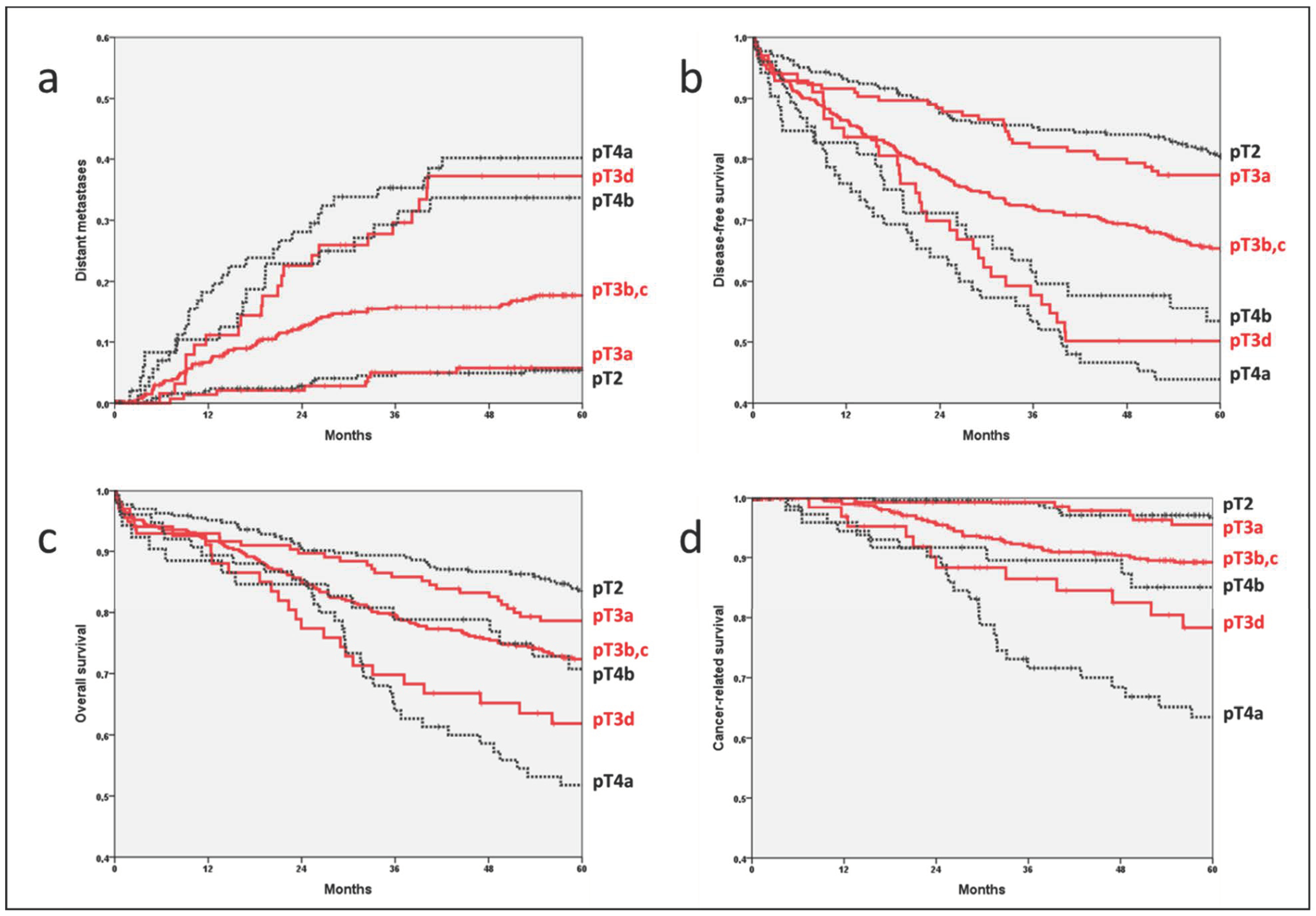
3.3. Distant Metastases
3.4. Disease-Free Survival
3.5. Overall Survival
3.6. Cancer-Related Survival
3.7. Cox Regression Analysis
3.8. Adjuvant Chemotherapy
4. Discussion
5. Conclusions
Supplementary Materials
Author Contributions
Funding
Institutional Review Board Statement
Informed Consent Statement
Data Availability Statement
Conflicts of Interest
References
- AJCC (American Joint Commitee of Cancer). Cancer Staging Manual, 8th ed.; Amin, M.B., Edge, S.B., Greene, F.L., Compton, C.C., Gershenwald, J.E., Brookland, R.K., Meyer, L., Gress, D.M., Byrd, D.R., Winchester, D.P., Eds.; Springer: New York, NY, USA, 2017. [Google Scholar]
- UICC (International Union of Cancer). TNM Classification of Malignant Tumours, 8th ed.; Brierley, J.D., Gospodarowicz, M.K., Wittekind, C., Eds.; Wiley Blackwell: Oxford, UK, 2017. [Google Scholar]
- Merkel, S.; Mansmann, U.; Siassi, M.; Papadopoulos, T.; Hohenberger, W.; Hermanek, P. The prognostic inhomogeneity in pT3 rectal carcinomas. Int. J. Colorectal. Dis. 2001, 16, 298–304. [Google Scholar] [CrossRef] [PubMed]
- Merkel, S.; Weber, K.; Schellerer, V.; Gohl, J.; Fietkau, R.; Agaimy, A.; Hohenberger, W.; Hermanek, P. Prognostic subdivision of ypT3 rectal tumours according to extension beyond the muscularis propria. Br. J. Surg. 2014, 101, 566–572. [Google Scholar] [CrossRef] [PubMed]
- UICC (International Union of Cancer). TNM Supplement. A Commentary on Uniform Use, 2nd ed.; Wittekind, C., Henson, D.E., Hutter, R.V.P., Sobin, L.H., Eds.; Wiley & Sons: New York, NY, USA, 2001. [Google Scholar]
- UICC (International Union of Cancer). TNM Supplement. A Commentary on Uniform Use, 3rd ed.; Wittekind, C., Henson, D.E., Hutter, R.V.P., Sobin, L.H., Eds.; Wiley & Sons: New York, NY, USA, 2003. [Google Scholar]
- UICC (International Union of Cancer). TNM Supplement. A Commentary on Uniform Use, 4th ed.; Wittekind, C., Henson, D.E., Hutter, R.V.P., Sobin, L.H., Eds.; Wiley-Blackwell: New York, NY, USA, 2012. [Google Scholar]
- UICC (International Union of Cancer). TNM Supplement. A Commentary on Uniform Use, 5th ed.; Wittekind, C.H., Brierley, J., Lee, A., van Eycken, E., Eds.; Wiley Blackwell: New York, NY, USA, 2019. [Google Scholar]
- Hohenberger, W.; Weber, K.; Matzel, K.; Papadopoulos, T.; Merkel, S. Standardized surgery for colonic cancer: Complete mesocolic excision and central ligation--technical notes and outcome. Colorectal Dis. 2009, 11, 354–364. [Google Scholar] [CrossRef] [PubMed]
- Merkel, S.; Weber, K.; Matzel, K.E.; Agaimy, A.; Gohl, J.; Hohenberger, W. Prognosis of patients with colonic carcinoma before, during and after implementation of complete mesocolic excision. Br. J. Surg. 2016, 103, 1220–1229. [Google Scholar] [CrossRef] [PubMed]
- Schmiegel, W.; Buchberger, B.; Follmann, M.; Graeven, U.; Heinemann, V.; Langer, T.; Nothacker, M.; Porschen, R.; Rodel, C.; Rosch, T.; et al. S3-Leitlinie—Kolorektales Karzinom. Z. Gastroenterol. 2017, 55, 1344–1498. [Google Scholar] [CrossRef] [PubMed]
- Greenwood, M. The Errors of Sampling of the Survivorship Table Reports on Public Health and Medical Subjects; Her Majesty’s Stationery Office: London, UK, 1926; Volume 33. [Google Scholar]
- Panarelli, N.C.; Hammer, S.T.G.; Lin, J.; Gopal, P.; Nalbantoglu, I.; Zhao, L.; Cheng, J.; Gersten, A.J.; McHugh, J.B.; Parkash, V.; et al. Reproducibility of AJCC Criteria for Classifying Deeply Invasive Colon Cancers Is Suboptimal for Consistent Cancer Staging. Am. J. Surg. Pathol. 2020, 44, 1381–1388. [Google Scholar] [CrossRef] [PubMed]
- Merkel, S.; Wein, A.; Gunther, K.; Papadopoulos, T.; Hohenberger, W.; Hermanek, P. High-risk groups of patients with Stage II colon carcinoma. Cancer 2001, 92, 1435–1443. [Google Scholar] [CrossRef] [PubMed]
- Burdy, G.; Panis, Y.; Alves, A.; Nemeth, J.; Lavergne-Slove, A.; Valleur, P. Identifying patients with T3-T4 node-negative colon cancer at high risk of recurrence. Dis. Colon Rectum. 2001, 44, 1682–1688. [Google Scholar] [CrossRef] [PubMed]
- Swanson, R.S.; Compton, C.C.; Stewart, A.K.; Bland, K.I. The prognosis of T3N0 colon cancer is dependent on the number of lymph nodes examined. Ann. Surg. Oncol. 2003, 10, 65–71. [Google Scholar] [CrossRef] [PubMed]
- Klingbiel, D.; Saridaki, Z.; Roth, A.D.; Bosman, F.T.; Delorenzi, M.; Tejpar, S. Prognosis of stage II and III colon cancer treated with adjuvant 5-fluorouracil or FOLFIRI in relation to microsatellite status: Results of the PETACC-3 trial. Ann. Oncol. 2015, 26, 126–132. [Google Scholar] [CrossRef] [PubMed]
- Wong, E.M.; Lai, B.M.; Fung, V.K.; Cheung, H.Y.; Ng, W.T.; Law, A.L.; Lai, A.Y.; Khoo, J.L. Limitation of radiological T3 subclassification of rectal cancer due to paucity of mesorectal fat in Chinese patients. Hong Kong Med. J. 2014, 20, 366–370. [Google Scholar] [CrossRef] [PubMed]
- Allen, S.D.; Gada, V.; Blunt, D.M. Variation of mesorectal volume with abdominal fat volume in patients with rectal carcinoma: Assessment with MRI. Br. J. Radiol. 2007, 80, 242–247. [Google Scholar] [CrossRef] [PubMed]



| n | (%) | ||
|---|---|---|---|
| Age median (range) (years) | 69 (21–99) | ||
| Sex | Male | 602 | 57.5 |
| Female | 445 | 42.5 | |
| ASA * | ASA I–II | 730 | 70.9 |
| ASA III–IV | 300 | 28.7 | |
| Tumor site | Right colon | 511 | 48.8 |
| Left colon | 536 | 51.2 | |
| Emergencies | Elective surgery | 931 | 88.9 |
| Emergency presentation | 116 | 11.1 | |
| Surgical procedure | Colon standard resection | 787 | 75.2 |
| Colon extended resection | 260 | 24.8 | |
| Multivisceral resection | No | 928 | 88.6 |
| Yes | 119 | 11.4 | |
| Adjuvant treatment | No | 790 | 75.5 |
| Yes | 257 | 24.5 | |
| pT category | pT2 (muscularis propria) | 265 | 25.3 |
| pT3a (≤1 mm) | 155 | 14.8 | |
| pT3b,c (>1–15 mm) | 433 | 41.4 | |
| pT3d (>15 mm) | 67 | 6.4 | |
| pT4a (serosa) | 75 | 7.2 | |
| pT4b (other organs) | 52 | 5.0 | |
| pN category | pN0 | 674 | 64.4 |
| pN1 | 261 | 24.9 | |
| pN2 | 112 | 10.7 | |
| Grading | G1,2 | 699 | 66.8 |
| G3,4 | 348 | 33.2 | |
| Lymphatic invasion | L0 | 737 | 70.5 |
| L1 | 309 | 29.5 | |
| Venous invasion | V0 | 1012 | 96.7 |
| V1 | 34 | 3.3 |
| pT2 | p | pT3a (≤1 mm) | p | pT3b,c (>1–15 mm) | p | pT3d (>15 mm) | p | pT4a | p | pT4b | poverall | |
|---|---|---|---|---|---|---|---|---|---|---|---|---|
| n | 265 | 155 | 433 | 67 | 75 | 52 | ||||||
| n (%) | n (%) | n (%) | n (%) | n (%) | n (%) | |||||||
| Right colon | 131 (49.4) | 79 (51.0) | 211 (48.7) | 28 (42) | 38 (51) | 24 (46) | ||||||
| Left colon | 134 (50.6) | 0.564 | 76 (49.0) | 0.632 | 222 (51.3) | 0.290 | 39 (58) | 0.290 | 37 (49) | 0.617 | 28 (54) | 0.862 |
| pN0 | 202 (76.2) | 106 (68.4) | 273 (63.0) | 29 (43) | 34 (45) | 30 (58) | ||||||
| pN1 | 54 (20.4) | 38 (24.5) | 110 (25.4) | 19 (28) | 21 (28) | 19 (37) | ||||||
| pN2 | 9 (3.4) | 0.175 | 11 (7.1) | 0.257 | 50 (11.5) | <0.001 | 19 (28) | 0.965 | 20 (27) | 0.011 | 3 (6) | <0.001 |
| G1,2 | 204 (77.0) | 115 (74.2) | 275 (63.5) | 40 (60) | 39 (52) | 26 (50) | ||||||
| G3,4 | 61 (23.0) | 0.592 | 40 (25.8) | 0.016 | 158 (36.5) | 0.548 | 27 (40) | 0.356 | 36 (48) | 0.825 | 26 (50) | <0.001 |
| L0 | 225 (85.2) | 129 (83.2) | 285 (65.8) | 30 (45) | 35 (47) | 33 (64) | ||||||
| L1 | 39 (14.8) | 0.653 | 26 (16.8) | <0.001 | 148 (34.2) | 0.001 | 37 (55) | 0.821 | 40 (53) | 0.062 | 19 (37) | <0.001 |
| V0 | 262 (99.2) | 153 (98.7) | 419 (96.8) | 60 (90) | 69 (92) | 49 (94) | ||||||
| V1 | 2 (0.8) | 0.587 | 2 (1.3) | 0.202 | 14 (3.2) | 0.006 | 7 (10) | 0.614 | 6 (8) | 0.630 | 3 (6) | <0.001 |
| pT2 | p | pT3a (≤1 mm) | p | pT3b,c (>1–15 mm) | p | pT3d (>15 mm) | p | pT4a (Serosa) | p | pT4b (Other Organs) | |
|---|---|---|---|---|---|---|---|---|---|---|---|
| (a) Distant metastases | |||||||||||
| Any pN | n = 265 | n = 155 | n = 433 | n = 67 | n = 75 | n = 52 | |||||
| 5-year rate | 5.3% | 0.993 | 5.7% | 0.002 | 17.7% | 0.001 | 37.2% | 0.579 | 42.1% | 0.403 | 33.7% |
| (95% CI) | (2.6–8.0) | (1.8–9.6) | (14.0–21.4) | (24.7–49.7) | (30.3–53.9) | (20.2–47.2) | |||||
| pN0 | n = 202 | n = 106 | n = 273 | n = 29 | n = 34 | n = 30 | |||||
| 5-year rate | 3.8% | 0.936 | 4.1% | 0.011 | 13.0% | 0.951 | 12.1% | 0.263 | 25.3% | 0.212 | 14.7% |
| (95% CI) | (1.1–6.5) | (0.2–8.0) | (8.9–17.1) | (0–25.0) | (10.0–40.6) | (1.4–28.0) | |||||
| pN1,2 | n = 63 | 49 | 160 | n = 38 | n = 41 | n = 22 | |||||
| 5-year rate | 10.1% | 0.803 | 9.2% | 0.069 | 26.1% | 0.001 | 56.2% | 0.855 | 53.2% | 0.623 | 59.9% |
| (95% CI) | (2.5–17.7) | (0.6–17.8) | (18.8–33.4) | (39.1–73.3) | (37.1–69.3) | (38.3–81.5) | |||||
| (b) Disease-free survival | |||||||||||
| Any pN | n = 265 | n = 155 | n = 433 | n = 67 | n = 75 | n = 52 | |||||
| 5-year rate | 80.5% | 0.844 | 77.4% | 0.015 | 65.4% | 0.033 | 50.1% | 0.296 | 43.9% | 0.177 | 53.4% |
| (95% CI) | (75.6–85.4) | (70.7–84.1) | (60.9–69.9) | (37.9–62.3) | (32.7–55.1) | (39.7–67.1) | |||||
| pN0 | n = 202 | n = 106 | n = 273 | n = 29 | n = 34 | n = 30 | |||||
| 5-year rate | 79.9% | 0.161 | 80.2% | 0.012 | 68.7% | 0.619 | 71.7% | 0.226 | 58.8% | 0.157 | 73.3% |
| (95% CI) | (74.4–85.4) | (72.6–87.8) | (63.2–74.2) | (55.0–88.4) | (42.3–75.3) | (57.4–89.2) | |||||
| pN1,2 | n = 63 | 49 | 160 | n = 38 | n = 41 | n = 22 | |||||
| 5-year rate | 82.3% | 0.054 | 71.4% | 0.508 | 59.9% | 0.007 | 34.2% | 0.667 | 31.7% | 0.805 | 26.0% |
| (95% CI) | (72.9–91.7) | (58.7–84.1) | (52.3–67.5) | (19.1–49.3) | (17.4–46.0) | (7.2–44.8) | |||||
| pT2 | p | pT3a (≤1 mm) | p | pT3b,c (>1–15 mm) | p | pT3d (>15 mm) | p | pT4a (Serosa) | p | pT4b (Other Organs) | |
|---|---|---|---|---|---|---|---|---|---|---|---|
| (a) Overall survival | |||||||||||
| Any pN | n = 265 | n = 155 | n = 433 | n = 67 | n = 75 | n = 52 | |||||
| 5-year rate | 83.5% | 0.634 | 78.6% | 0.119 | 72.4% | 0.249 | 61.9% | 0.108 | 51.8% | 0.068 | 70.7% |
| (95% CI) | (79.0–88.0) | (72.1–85.1) | (68.1–76.7) | (50.1–73.7) | (40.4–63.2) | (58.2–83.2) | |||||
| pN0 | n = 202 | n = 106 | n = 273 | n = 29 | n = 34 | n = 30 | |||||
| 5-year rate | 82.4% | 0.300 | 81.1% | 0.058 | 74.6% | 0.162 | 78.8% | 0.058 | 70.5% | 0.182 | 83.3% |
| (95% CI) | (77.1–87.7) | (73.7–88.5) | (69.5–79.7) | (63.7–93.9) | (55.2–85.8) | (70.0–96.6) | |||||
| pN1,2 | n = 63 | 49 | 160 | n = 38 | n = 41 | n = 22 | |||||
| 5-year rate | 87.1% | 0.006 | 73.5% | 0.988 | 68.6% | 0.011 | 48.9% | 0.480 | 36.6% | 0.459 | 53.6% |
| (95% CI) | (79.0–95.3) | (61.2–85.8) | (61.3–75.9) | (32.6–65.2) | (21.9–51.3) | (32.4–74.8) | |||||
| (b) Cancer-related survival | |||||||||||
| Any pN | n = 265 | n = 155 | n = 433 | n = 67 | n = 75 | n = 52 | |||||
| 5-year rate | 96.6% | 0.300 | 95.5% | 0.025 | 89.2% | 0.039 | 78.3% | 0.049 | 63.5% | 0.042 | 85.1% |
| (95% CI) | (94.2–99.0) | (92.0–99.0) | (86.1–92.3) | (67.3–89.3) | (51.9–75.1) | (74.9–95.3) | |||||
| pN0 | n = 202 | n = 106 | n = 273 | n = 29 | n = 34 | n = 30 | |||||
| 5-year rate | 97.7% | 0.541 | 96.7% | 0.071 | 92,9 | 0.087 | 100% | 0.006 | 84.0% | 0.071 | 96.2% |
| (95% CI) | (95.5–99.9) | (93.0–100) | (89.6–96.2) | (71.1–96.9) | (88.8–100) | ||||||
| pN1,2 | n = 63 | 49 | 160 | n = 38 | n = 41 | n = 22 | |||||
| 5-year rate | 93.2% | 0.565 | 92.8% | 0.217 | 82.8 | 0.004 | 61.8% | 0.287 | 46.5% | 0.428 | 69.6% |
| (95% CI) | (86.7–99.7) | (85.0–100) | (76.5–89.1) | (44.4–79.2) | (28.5–64.5) | (49.2–90.0) | |||||
| Univariate Analysis | Multivariate Analysis | |||||||
|---|---|---|---|---|---|---|---|---|
| n | Hazard Ratio | 95% CI | p | Hazard Ratio | 95% CI | p | ||
| Sex | Male | 602 | 1.0 | |||||
| Female | 445 | 0.8 | 0.6–1.1 | 0.126 | ||||
| ASA* | ASA I-II | 730 | 1.0 | |||||
| ASA III-IV | 300 | 1.3 | 0.9–1.8 | 0.148 | ||||
| Tumor site | Right colon | 511 | 1.0 | |||||
| Left colon | 536 | 1.3 | 1.0–1.8 | 0.082 | ||||
| Emergencies | Elective surgery | 931 | 1.0 | 1.0 | ||||
| Emergency presentation | 116 | 2.5 | 1.7–3.6 | <0.001 | 1.8 | 1.2–2.7 | 0.003 | |
| Surgical procedure | Colon standard resection | 787 | 1.0 | |||||
| Colon extended resection | 260 | 1.2 | 0.9–1.7 | 0.308 | ||||
| pT category | pT2 (muscularis propria) | 265 | 0.4 | 0.2–0.6 | <0.001 | 0.5 | 0.3–0.8 | 0.004 |
| pT3a (≤1 mm) | 155 | 0.4 | 0.2–0.7 | 0.002 | 0.4 | 0.2–0.8 | 0.007 | |
| pT3b,c (>1–15 mm) | 433 | 1.0 | 1.0 | |||||
| pT3d (>15 mm) | 67 | 2.2 | 1.4–3.6 | 0.001 | 1.6 | 1.0–2.5 | 0.074 | |
| pT4a (serosa) | 75 | 2.6 | 1.7–3.9 | <0.001 | 2.1 | 1.4–3.2 | 0.001 | |
| pT4b (other organs) | 52 | 2.0 | 1.1–3.4 | 0.015 | 2.0 | 1.1–3.4 | 0.017 | |
| pN category | pN0 | 674 | 1.0 | 1.0 | ||||
| pN1 | 261 | 2.3 | 1.6–3.3 | <0.001 | 2.0 | 1.4–2.9 | <0.001 | |
| pN2 | 112 | 5.2 | 3.6–7.6 | <0.001 | 3.4 | 2.2–5.3 | <0.001 | |
| Grading | G1,2 | 699 | 1.0 | 1.0 | ||||
| G3,4 | 348 | 1.4 | 1.0–1.9 | 0.031 | 1.0 | 0.7–1.3 | 0.831 | |
| Lymphatic invasion | No | 737 | 1.0 | 1.0 | ||||
| Yes | 309 | 2.7 | 2.0–3.7 | <0.001 | 1.3 | 0.9–1.8 | 0.197 | |
| Venous invasion | No | 1012 | 1.0 | 1.0 | ||||
| Yes | 34 | 2.3 | 1.3–4.3 | 0.007 | 1.2 | 0.7–2.3 | 0.513 | |
| Univariate Analysis | Multivariate Analysis Adjusted for Age | |||||||
|---|---|---|---|---|---|---|---|---|
| n | Hazard Ratio | 95% CI | p | Hazard Ratio | 95% CI | p | ||
| Sex | Male | 602 | 1.0 | |||||
| Female | 445 | 0.9 | 0.7–1.0 | 0.072 | ||||
| ASA* | ASA I-II | 730 | 1.0 | 1.0 | ||||
| ASA III-IV | 300 | 2.4 | 2.0–2.9 | <0.001 | 1.7 | 1.4–2.0 | <0.001 | |
| Tumor site | Right colon | 511 | 1.0 | |||||
| Left colon | 536 | 0.9 | 0.8–1.1 | 0.265 | ||||
| Emergencies | Elective surgery | 931 | 1.0 | 1.0 | ||||
| Emergency presentation | 116 | 2.2 | 1.7–2.7 | <0.001 | 1.5 | 1.2–1.9 | 0.002 | |
| Surgical procedure | Colon standard resection | 787 | 1.0 | |||||
| Colon extended resection | 260 | 1.0 | 0.9–1.3 | 0.649 | ||||
| pT category | pT2 (muscularis propria) | 265 | 0.7 | 0.6–0.9 | 0.007 | 0.8 | 0.7–1.0 | 0.096 |
| pT3a (≤1 mm) | 155 | 0.7 | 0.5–0.9 | 0.015 | 0.7 | 0.5–1.0 | 0.024 | |
| pT3b,c (>1–15 mm) | 433 | 1.0 | 1.0 | |||||
| pT3d (>15 mm) | 67 | 1.5 | 1.1–2.1 | 0.020 | 1.2 | 0.9–1.7 | 0.281 | |
| pT4a (serosa) | 75 | 1.8 | 1.4–2.4 | <0.001 | 1.4 | 1.1–2.0 | 0.018 | |
| pT4b (other organs) | 52 | 1.4 | 0.9–1.9 | 0.095 | 1.2 | 0.8–1.7 | 0.365 | |
| pN category | pN0 | 674 | 1.0 | 1.0 | ||||
| pN1 | 261 | 1.1 | 0.9–1.4 | 0.175 | 1.1 | 0.9–1.4 | 0.255 | |
| pN2 | 112 | 2.1 | 1.6–2.7 | <0.001 | 1.6 | 1.2–2.2 | 0.001 | |
| Grading | G1,2 | 699 | 1.0 | |||||
| G3,4 | 348 | 1.1 | 0.9–1.3 | 0.208 | ||||
| Lymphatic invasion | No | 737 | 1.0 | 1.0 | ||||
| Yes | 309 | 1.5 | 1.3–1.8 | <0.001 | 1.2 | 1.0–1.5 | 0.051 | |
| Venous invasion | No | 1012 | 1.0 | 1.0 | ||||
| Yes | 34 | 1.7 | 1.2–2.6 | 0.008 | 1.3 | 0.8–2.0 | 0.251 | |
Publisher’s Note: MDPI stays neutral with regard to jurisdictional claims in published maps and institutional affiliations. |
© 2022 by the authors. Licensee MDPI, Basel, Switzerland. This article is an open access article distributed under the terms and conditions of the Creative Commons Attribution (CC BY) license (https://creativecommons.org/licenses/by/4.0/).
Share and Cite
Merkel, S.; Brunner, M.; Geppert, C.-I.; Grützmann, R.; Weber, K.; Agaimy, A. Proposal of a T3 Subclassification for Colon Carcinoma. Cancers 2022, 14, 6186. https://doi.org/10.3390/cancers14246186
Merkel S, Brunner M, Geppert C-I, Grützmann R, Weber K, Agaimy A. Proposal of a T3 Subclassification for Colon Carcinoma. Cancers. 2022; 14(24):6186. https://doi.org/10.3390/cancers14246186
Chicago/Turabian StyleMerkel, Susanne, Maximilian Brunner, Carol-Immanuel Geppert, Robert Grützmann, Klaus Weber, and Abbas Agaimy. 2022. "Proposal of a T3 Subclassification for Colon Carcinoma" Cancers 14, no. 24: 6186. https://doi.org/10.3390/cancers14246186
APA StyleMerkel, S., Brunner, M., Geppert, C.-I., Grützmann, R., Weber, K., & Agaimy, A. (2022). Proposal of a T3 Subclassification for Colon Carcinoma. Cancers, 14(24), 6186. https://doi.org/10.3390/cancers14246186

