Effect of Tertiary Lymphoid Structures on Prognosis of Patients with Hepatocellular Carcinoma and Preliminary Exploration of Its Formation Mechanism
Abstract
Simple Summary
Abstract
1. Introduction
2. Material and Methods
2.1. Patients
2.2. Real-Time Quantitative Fluorescence PCR
2.3. Haematoxylin-Eosin (HE) Staining
2.4. Immunofluorescence (IF) and Immunohistochemistry (IHC) Staining
2.5. Downloading and Screening Data
2.6. Screening of TLS-Related Molecules
2.7. Enrichment Analysis
2.8. Half-Maximal Inhibitory Concentration (IC50) Values
2.9. Survival Analysis
2.10. Statistical Analysis
3. Results
3.1. Intratumoural TLS
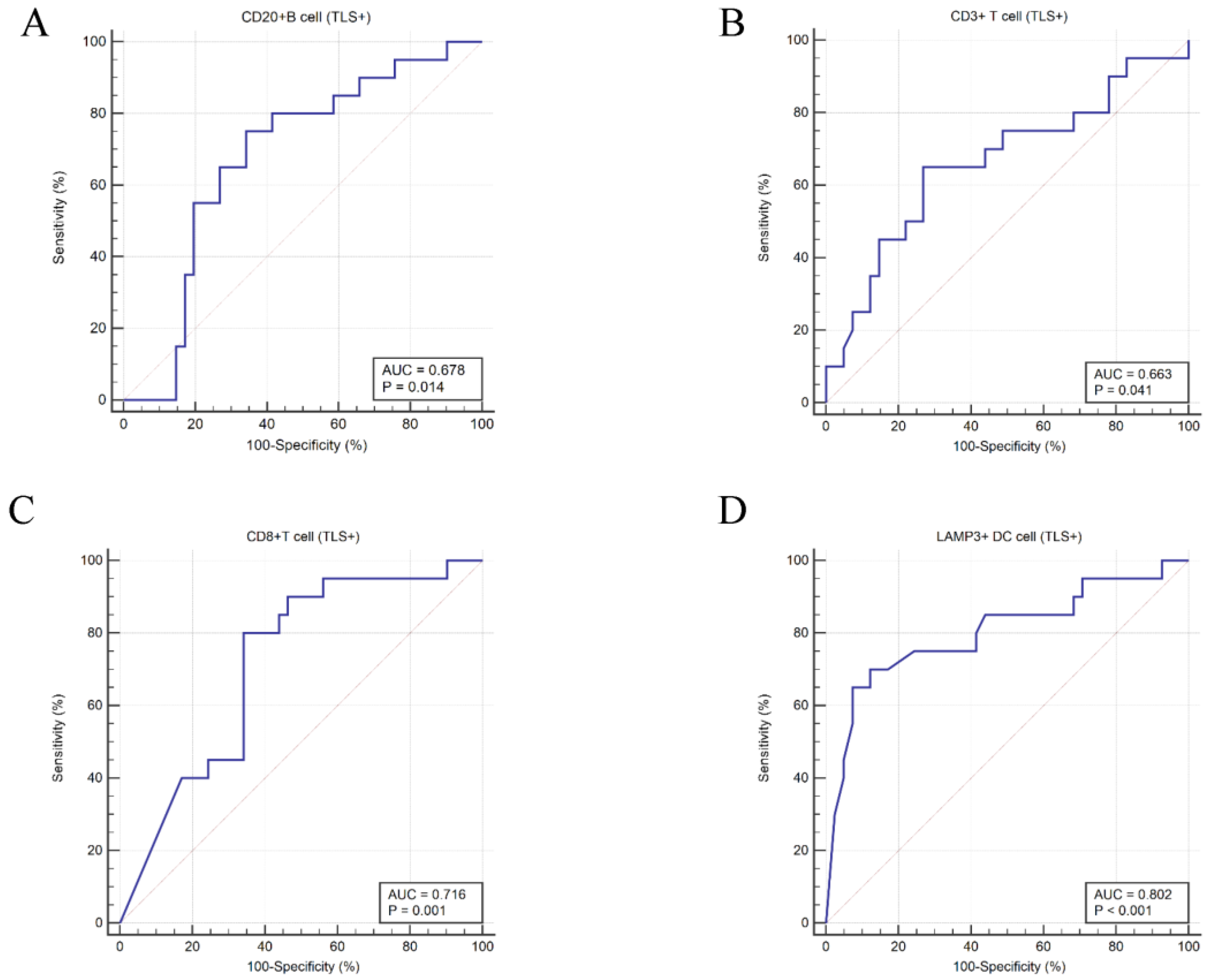
3.2. TILs of Intra-TLS
3.3. Molecular Mechanisms by Which TLSs Regulate the Response to Immunotherapy
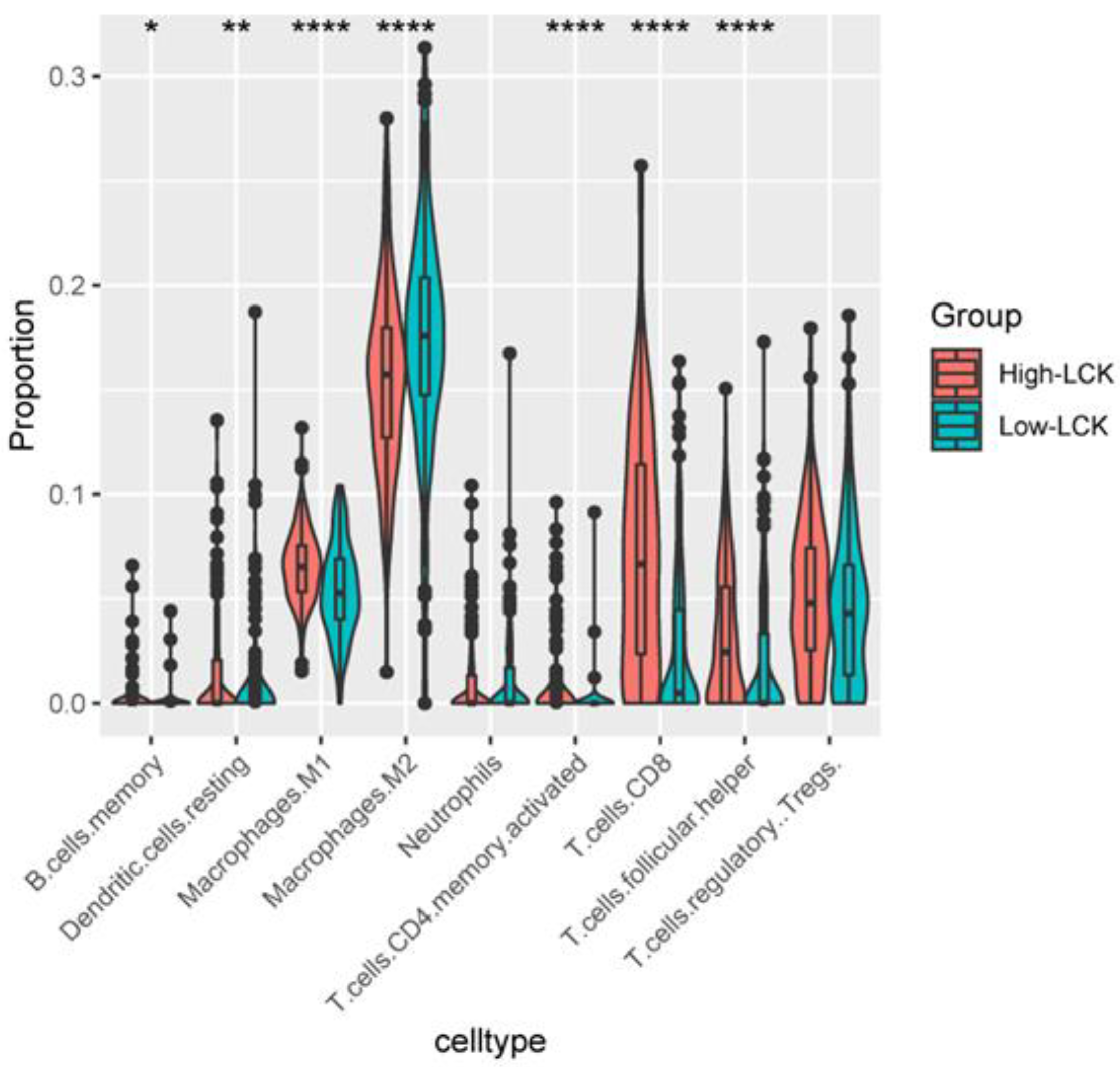
3.3.1. TLS-Related Molecule Expression
3.3.2. Immunotherapy
3.3.3. Enrichment Analysis
3.3.4. IC50 Scores
4. Discussion
5. Conclusions
Supplementary Materials
Author Contributions
Funding
Institutional Review Board Statement
Informed Consent Statement
Data Availability Statement
Acknowledgments
Conflicts of Interest
References
- Sung, H.; Ferlay, J.; Siegel, R.; Laversanne, M.; Soerjomataram, I.; Jemal, A.; Bray, F. Global Cancer Statistics 2020: GLOBOCAN Estimates of Incidence and Mortality Worldwide for 36 Cancers in 185 Countries. CA A Cancer J. Clin. 2021, 71, 209–249. [Google Scholar] [CrossRef]
- Chen, W.; Zheng, R.; Baade, P.D.; Zhang, S.; Zeng, H.; Bray, F.; Jemal, A.; Yu, X.Q.; He, J. Cancer statistics in China, 2015. CA Cancer J. Clin. 2016, 66, 115–132. [Google Scholar] [CrossRef] [PubMed]
- Koulouris, A.; Tsagkaris, C.; Spyrou, V.; Pappa, E.; Troullinou, A.; Nikolaou, M. Hepatocellular Carcinoma: An Overview of the Changing Landscape of Treatment Options. J. Hepatocell. Carcinoma 2021, 8, 387–401. [Google Scholar] [CrossRef] [PubMed]
- Xu, J.; Wan, Z.; Tang, M.; Lin, Z.; Jiang, S.; Ji, L.; Gorshkov, K.; Mao, Q.; Xia, S.; Cen, D.; et al. N-methyladenosine-modified CircRNA-SORE sustains sorafenib resistance in hepatocellular carcinoma by regulating β-catenin signaling. Mol. Cancer 2020, 19, 163. [Google Scholar] [CrossRef]
- Wang, L.; Wang, F. Clinical immunology and immunotherapy for hepatocellular carcinoma: Current progress and challenges. Hepatol. Int. 2019, 13, 521–533. [Google Scholar] [CrossRef] [PubMed]
- Shigeta, K.; Datta, M.; Hato, T.; Kitahara, S.; Chen, I.; Matsui, A.; Kikuchi, H.; Mamessier, E.; Aoki, S.; Ramjiawan, R.; et al. Dual Programmed Death Receptor-1 and Vascular Endothelial Growth Factor Receptor-2 Blockade Promotes Vascular Normalization and Enhances Antitumor Immune Responses in Hepatocellular Carcinoma. Hepatology 2020, 71, 1247–1261. [Google Scholar] [CrossRef] [PubMed]
- Llovet, J.; De Baere, T.; Kulik, L.; Haber, P.; Greten, T.; Meyer, T.; Lencioni, R. Locoregional therapies in the era of molecular and immune treatments for hepatocellular carcinoma. Nat. Rev. Gastroenterol. Hepatol. 2021, 18, 293–313. [Google Scholar] [CrossRef] [PubMed]
- Hao, X.; Sun, G.; Zhang, Y.; Kong, X.; Rong, D.; Song, J.; Tang, W.; Wang, X. Targeting Immune Cells in the Tumor Microenvironment of HCC: New Opportunities and Challenges. Front. Cell Dev. Biol. 2021, 9, 775462. [Google Scholar] [CrossRef] [PubMed]
- Wan, P.; Ryan, A.; Seymour, L. Beyond cancer cells: Targeting the tumor microenvironment with gene therapy and armed oncolytic virus. Mol. Ther. J. Am. Soc. Gene Ther. 2021, 29, 1668–1682. [Google Scholar] [CrossRef] [PubMed]
- Helmink, B.; Reddy, S.; Gao, J.; Zhang, S.; Basar, R.; Thakur, R.; Yizhak, K.; Sade-Feldman, M.; Blando, J.; Han, G.; et al. B cells and tertiary lymphoid structures promote immunotherapy response. Nature 2020, 577, 549–555. [Google Scholar] [CrossRef]
- Tang, J.; Ramis-Cabrer, D.; Curull, V.; Wang, X.; Mateu-Jiménez, M.; Pijuan, L.; Duran, X.; Qin, L.; Rodríguez-Fuster, A.; Aguiló, R.; et al. B Cells and Tertiary Lymphoid Structures Influence Survival in Lung Cancer Patients with Resectable Tumors. Cancers 2020, 12, 2644. [Google Scholar] [CrossRef] [PubMed]
- Yamaguchi, K.; Ito, M.; Ohmura, H.; Hanamura, F.; Nakano, M.; Tsuchihashi, K.; Nagai, S.; Ariyama, H.; Kusaba, H.; Yamamoto, H.; et al. Helper T cell-dominant tertiary lymphoid structures are associated with disease relapse of advanced colorectal cancer. Oncoimmunology 2020, 9, 1724763. [Google Scholar] [CrossRef] [PubMed]
- Calderaro, J.; Petitprez, F.; Becht, E.; Laurent, A.; Hirsch, T.; Rousseau, B.; Luciani, A.; Amaddeo, G.; Derman, J.; Charpy, C.; et al. Intra-tumoral tertiary lymphoid structures are associated with a low risk of early recurrence of hepatocellular carcinoma. J. Hepatol. 2019, 70, 58–65. [Google Scholar] [CrossRef] [PubMed]
- Tavares, R.; Turer, E.; Liu, C.; Advincula, R.; Scapini, P.; Rhee, L.; Barrera, J.; Lowell, C.; Utz, P.; Malynn, B.; et al. The ubiquitin modifying enzyme A20 restricts B cell survival and prevents autoimmunity. Immunity 2010, 33, 181–191. [Google Scholar] [CrossRef] [PubMed]
- Li, H.; Wang, J.; Liu, H.; Lan, T.; Xu, L.; Wang, G.; Yuan, K.; Wu, H. Existence of intratumoral tertiary lymphoid structures is associated with immune cells infiltration and predicts better prognosis in early-stage hepatocellular carcinoma. Aging 2020, 12, 3451–3472. [Google Scholar] [CrossRef]
- He, W.; Zhang, D.; Liu, H.; Chen, T.; Xie, J.; Peng, L.; Zheng, X.; Xu, B.; Li, Q.; Jiang, J. The High Level of Tertiary Lymphoid Structure Is Correlated With Superior Survival in Patients With Advanced Gastric Cancer. Front. Oncol. 2020, 10, 980. [Google Scholar] [CrossRef] [PubMed]
- Sakimura, C.; Tanaka, H.; Okuno, T.; Hiramatsu, S.; Muguruma, K.; Hirakawa, K.; Wanibuchi, H.; Ohira, M. B cells in tertiary lymphoid structures are associated with favorable prognosis in gastric cancer. J. Surg. Res. 2017, 215, 74–82. [Google Scholar] [CrossRef]
- Ahmed, A.; Halama, N. Tertiary Lymphoid Structures in Colorectal Cancer Liver Metastases: Association with Immunological and Clinical Parameters and Chemotherapy Response. Anticancer Res. 2020, 40, 6367–6373. [Google Scholar] [CrossRef]
- Maoz, A.; Dennis, M.; Greenson, J. The Crohn’s-Like Lymphoid Reaction to Colorectal Cancer-Tertiary Lymphoid Structures With Immunologic and Potentially Therapeutic Relevance in Colorectal Cancer. Front. Immunol. 2019, 10, 1884. [Google Scholar] [CrossRef]
- Gunderson, A.J.; Rajamanickam, V.; Bui, C.; Bernard, B.; Pucilowska, J.; Ballesteros-Merino, C.; Schmidt, M.; McCarty, K.; Philips, M.; Piening, B.; et al. Germinal center reactions in tertiary lymphoid structures associate with neoantigen burden, humoral immunity and long-term survivorship in pancreatic cancer. Oncoimmunology 2021, 10, 1900635. [Google Scholar] [CrossRef] [PubMed]
- Zhou, L.; Xu, B.; Liu, Y.; Wang, Z. Tertiary lymphoid structure signatures are associated with survival and immunotherapy response in muscle-invasive bladder cancer. Oncoimmunology 2021, 10, 1915574. [Google Scholar] [CrossRef] [PubMed]
- Noël, G.; Langouo Fontsa, M.; Garaud, S.; De Silva, P.; de Wind, A.; Van den Eynden, G.; Salgado, R.; Boisson, A.; Locy, H.; Thomas, N.; et al. Functional Th1-oriented T follicular helper cells that infiltrate human breast cancer promote effective adaptive immunity. J. Clin. Investig. 2021, 131, e139905. [Google Scholar] [CrossRef] [PubMed]
- Ruffin, A.; Cillo, A.; Tabib, T.; Liu, A.; Onkar, S.; Kunning, S.; Lampenfeld, C.; Atiya, H.; Abecassis, I.; Kürten, C.; et al. B cell signatures and tertiary lymphoid structures contribute to outcome in head and neck squamous cell carcinoma. Nat. Commun. 2021, 12, 3349. [Google Scholar] [CrossRef] [PubMed]
- Cabrita, R.; Lauss, M.; Sanna, A.; Donia, M.; Skaarup Larsen, M.; Mitra, S.; Johansson, I.; Phung, B.; Harbst, K.; Vallon-Christersson, J.; et al. Tertiary lymphoid structures improve immunotherapy and survival in melanoma. Nature 2020, 577, 561–565. [Google Scholar] [CrossRef]
- Sautès-Fridman, C.; Petitprez, F.; Calderaro, J.; Fridman, W. Tertiary lymphoid structures in the era of cancer immunotherapy. Nat. Rev. Cancer 2019, 19, 307–325. [Google Scholar] [CrossRef]
- Finkin, S.; Yuan, D.; Stein, I.; Taniguchi, K.; Weber, A.; Unger, K.; Browning, J.; Goossens, N.; Nakagawa, S.; Gunasekaran, G.; et al. Ectopic lymphoid structures function as microniches for tumor progenitor cells in hepatocellular carcinoma. Nat. Immunol. 2015, 16, 1235–1244. [Google Scholar] [CrossRef]
- Munoz-Erazo, L.; Rhodes, J.; Marion, V.; Kemp, R. Tertiary lymphoid structures in cancer—Considerations for patient prognosis. Cell. Mol. Immunol. 2020, 17, 570–575. [Google Scholar] [CrossRef]
- Tokunaga, R.; Nakagawa, S.; Sakamoto, Y.; Nakamura, K.; Naseem, M.; Izumi, D.; Kosumi, K.; Taki, K.; Higashi, T.; Miyata, T.; et al. 12-Chemokine signature, a predictor of tumor recurrence in colorectal cancer. Int. J. Cancer 2020, 147, 532–541. [Google Scholar] [CrossRef]
- Pimenta, E.; Barnes, B. Role of Tertiary Lymphoid Structures (TLS) in Anti-Tumor Immunity: Potential Tumor-Induced Cytokines/Chemokines that Regulate TLS Formation in Epithelial-Derived Cancers. Cancers 2014, 6, 969–997. [Google Scholar] [CrossRef]
- D’Andrilli, A.; Natoli, G.; Scarpino, S.; Rendina, E. Stage I non-small cell lung cancer: The presence of the lymphocyte-specific protein tyrosin kinase in the tumour infiltrate is associated with a better long-term prognosis. Interact. Cardiovasc. Thorac. Surg. 2012, 15, 148–151. [Google Scholar] [CrossRef]
- Wu, J.; Li, G.; Li, L.; Li, D.; Dong, Z.; Jiang, P. Asparagine enhances LCK signalling to potentiate CD8 T-cell activation and anti-tumour responses. Nat. Cell Biol. 2021, 23, 75–86. [Google Scholar] [CrossRef] [PubMed]
- Park, D.; Park, I.; Lee, D.; Choi, Y.; Lee, H.; Yun, Y. The adaptor protein Lad associates with the G protein beta subunit and mediates chemokine-dependent T-cell migration. Blood 2007, 109, 5122–5128. [Google Scholar] [CrossRef] [PubMed]
- Liew, K.; Yu, G.; Wei Pua, L.; Wong, L.; Tham, S.; Hii, L.; Lim, W.; OuYong, B.; Looi, C.; Mai, C.; et al. Parallel genome-wide RNAi screens identify lymphocyte-specific protein tyrosine kinase (LCK) as a targetable vulnerability of cell proliferation and chemoresistance in nasopharyngeal carcinoma. Cancer Lett. 2021, 504, 81–90. [Google Scholar] [CrossRef]
- Li, Z.; Lei, Z.; Xia, Y.; Li, J.; Wang, K.; Zhang, H.; Wan, X.; Yang, T.; Zhou, W.; Wu, M.; et al. Association of Preoperative Antiviral Treatment With Incidences of Microvascular Invasion and Early Tumor Recurrence in Hepatitis B Virus-Related Hepatocellular Carcinoma. JAMA Surg. 2018, 153, e182721. [Google Scholar] [CrossRef] [PubMed]
- Peña-Asensio, J.; Calvo, H.; Torralba, M.; Miquel, J.; Sanz-de-Villalobos, E.; Larrubia, J. Anti-PD-1/PD-L1 Based Combination Immunotherapy to Boost Antigen-Specific CD8 T Cell Response in Hepatocellular Carcinoma. Cancers 2021, 13, 1922. [Google Scholar] [CrossRef] [PubMed]
- Yarchoan, M.; Xing, D.; Luan, L.; Xu, H.; Sharma, R.; Popovic, A.; Pawlik, T.; Kim, A.; Zhu, Q.; Jaffee, E.; et al. Characterization of the Immune Microenvironment in Hepatocellular Carcinoma. Clin. Cancer Res. Off. J. Am. Assoc. Cancer Res. 2017, 23, 7333–7339. [Google Scholar] [CrossRef]
- Zhang, T.; Zhang, L.; Xu, Y.; Lu, X.; Zhao, H.; Yang, H.; Sang, X. Neoadjuvant therapy and immunotherapy strategies for hepatocellular carcinoma. Am. J. Cancer Res. 2020, 10, 1658–1667. [Google Scholar]
- Yang, Y.; Wang, C.; Sun, H.; Jiang, Z.; Zhang, Y.; Pan, Z. Apatinib prevents natural killer cell dysfunction to enhance the efficacy of anti-PD-1 immunotherapy in hepatocellular carcinoma. Cancer Gene Ther. 2021, 28, 89–97. [Google Scholar] [CrossRef]
- Wong, P.; Wei, W.; Smithy, J.; Acs, B.; Toki, M.; Blenman, K.; Zelterman, D.; Kluger, H.; Rimm, D. Multiplex Quantitative Analysis of Tumor-Infiltrating Lymphocytes and Immunotherapy Outcome in Metastatic Melanoma. Clin. Cancer Res. Off. J. Am. Assoc. Cancer Res. 2019, 25, 2442–2449. [Google Scholar] [CrossRef] [PubMed]
- Wang, S.; Liu, W.; Ly, D.; Xu, H.; Qu, L.; Zhang, L. Tumor-infiltrating B cells: Their role and application in anti-tumor immunity in lung cancer. Cell. Mol. Immunol. 2019, 16, 6–18. [Google Scholar] [CrossRef]
- Stoycheva, D.; Simsek, H.; Weber, W.; Hauser, A.; Klotzsch, E. External cues to drive B cell function towards immunotherapy. Acta Biomater. 2021, 133, 222–230. [Google Scholar] [CrossRef] [PubMed]
- Salem, D.; Chelvanambi, M.; Storkus, W.; Fecek, R. Cutaneous Melanoma: Mutational Status and Potential Links to Tertiary Lymphoid Structure Formation. Front. Immunol. 2021, 12, 629519. [Google Scholar] [CrossRef] [PubMed]
- Dieu-Nosjean, M. Tumor-Associated Tertiary Lymphoid Structures: A Cancer Biomarker and a Target for Next-generation Immunotherapy. Adv. Exp. Med. Biol. 2021, 1329, 51–68. [Google Scholar] [CrossRef] [PubMed]
- Jin, Y.; Lin, Q.; Fei, H.; Xue, L.; Li, L.; Xi, Q.; Jiang, H. Bioinformatics Analysis of Potential Therapeutic Targets and Prognostic Biomarkers amid CXC Chemokines in Ovarian Carcinoma Microenvironment. J. Oncol. 2021, 2021, 8859554. [Google Scholar] [CrossRef] [PubMed]
- Schaeuble, K.; Hauser, M.; Singer, E.; Groettrup, M.; Legler, D. Cross-talk between TCR and CCR7 signaling sets a temporal threshold for enhanced T lymphocyte migration. J. Immunol. 2011, 187, 5645–5652. [Google Scholar] [CrossRef] [PubMed]
- Sun, X.; Chen, Q.; Zhang, L.; Chen, J.; Zhang, X. Exploration of prognostic biomarkers and therapeutic targets in the microenvironment of bladder cancer based on CXC chemokines. Math. Biosci. Eng. MBE 2021, 18, 6262–6287. [Google Scholar] [CrossRef]
- Duan, Z.; Gao, J.; Zhang, L.; Liang, H.; Huang, X.; Xu, Q.; Zhang, Y.; Shen, T.; Lu, F. Phenotype and function of CXCR5+CD45RA-CD4+ T cells were altered in HBV-related hepatocellular carcinoma and elevated serum CXCL13 predicted better prognosis. Oncotarget 2015, 6, 44239–44253. [Google Scholar] [CrossRef]
- Tokunaga, R.; Naseem, M.; Lo, J.; Battaglin, F.; Soni, S.; Puccini, A.; Berger, M.; Zhang, W.; Baba, H.; Lenz, H. B cell and B cell-related pathways for novel cancer treatments. Cancer Treat. Rev. 2019, 73, 10–19. [Google Scholar] [CrossRef]
- Zhu, Q.; Pan, Q.; Zhong, A.; Hu, H.; Zhao, J.; Tang, Y.; Hu, W.; Li, M.; Weng, D.; Chen, M.; et al. Annexin A3 upregulates the infiltrated neutrophil-lymphocyte ratio to remodel the immune microenvironment in hepatocellular carcinoma. Int. Immunopharmacol. 2020, 89, 107139. [Google Scholar] [CrossRef]
- Xu, X.; Ye, L.; Zhang, Q.; Shen, H.; Li, S.; Zhang, X.; Ye, M.; Liang, T. Group-2 Innate Lymphoid Cells Promote Hepatocellular Carcinoma Progression via CXCL2-Neutrophil Induced Immunosuppression. Hepatology 2021, 74, 2526–2543. [Google Scholar] [CrossRef]
- Teijeira, A.; Garasa, S.; Ochoa, M.C.; Villalba, M.; Olivera, I.; Cirella, A.; Eguren-Santamaria, I.; Berraondo, P.; Schalper, K.A.; de Andrea, C.E.; et al. IL8, Neutrophils, and NETs in a Collusion against Cancer Immunity and Immunotherapy. Clin. Cancer Res. Off. J. Am. Assoc. Cancer Res. 2021, 27, 2383–2393. [Google Scholar] [CrossRef] [PubMed]
- Wu, W.; Wang, Q.; Han, D.; Li, J.; Nie, Y.; Guo, D.; Yang, L.; Tao, K.; Zhang, X.; Dou, K. Prognostic value of preoperative inflammatory markers in patients with hepatocellular carcinoma who underwent curative resection. Cancer Cell Int. 2021, 21, 500. [Google Scholar] [CrossRef] [PubMed]
- Masucci, M.T.; Minopoli, M.; Carriero, M.V. Tumor Associated Neutrophils. Their Role in Tumorigenesis, Metastasis, Prognosis and Therapy. Front. Oncol. 2019, 9, 1146. [Google Scholar] [CrossRef] [PubMed]
- Guimaraes-Bastos, D.; Frony, A.C.; Barja-Fidalgo, C.; Moraes, J.A. Melanoma-derived extracellular vesicles skew neutrophils into a pro-tumor phenotype. J. Leukoc. Biol. 2022, 111, 585–596. [Google Scholar] [CrossRef] [PubMed]
- Zhang, Y.; Guoqiang, L.; Sun, M.; Lu, X. Targeting and exploitation of tumor-associated neutrophils to enhance immunotherapy and drug delivery for cancer treatment. Cancer Biol. Med. 2020, 17, 32–43. [Google Scholar] [CrossRef] [PubMed]
- Fridlender, Z.G.; Sun, J.; Kim, S.; Kapoor, V.; Cheng, G.; Ling, L.; Worthen, G.S.; Albelda, S.M. Polarization of tumor-associated neutrophil phenotype by TGF-beta: “N1” versus “N2” TAN. Cancer Cell 2009, 16, 183–194. [Google Scholar] [CrossRef] [PubMed]
- Mishalian, I.; Bayuh, R.; Levy, L.; Zolotarov, L.; Michaeli, J.; Fridlender, Z.G. Tumor-associated neutrophils (TAN) develop pro-tumorigenic properties during tumor progression. Cancer Immunol. Immunother. CII 2013, 62, 1745–1756. [Google Scholar] [CrossRef] [PubMed]
- Lauss, M.; Donia, M.; Svane, I.; Jönsson, G. B cells and tertiary lymphoid structures: Friends or foes in cancer immunotherapy? Clin. Cancer Res. Off. J. Am. Assoc. Cancer Res. 2022, 28, 1751–1758. [Google Scholar] [CrossRef] [PubMed]
- Liu, G.; Li, X.; Zhang, Y. Prognostic role of PD-L1 for HCC patients after potentially curative resection: A meta-analysis. Cancer Cell Int. 2019, 19, 22. [Google Scholar] [CrossRef]
- Pakish, J.B.; Zhang, Q.; Chen, Z.; Liang, H.; Chisholm, G.B.; Yuan, Y.; Mok, S.C.; Broaddus, R.R.; Lu, K.H.; Yates, M.S. Immune Microenvironment in Microsatellite-Instable Endometrial Cancers: Hereditary or Sporadic Origin Matters. Clin. Cancer Res. Off. J. Am. Assoc. Cancer Res. 2017, 23, 4473–4481. [Google Scholar] [CrossRef]
- Liu, S.; Yu, G.; Liu, L.; Zou, X.; Zhou, L.; Hu, E.; Song, Y. Identification of Prognostic Stromal-Immune Score-Based Genes in Hepatocellular Carcinoma Microenvironment. Front. Genet. 2021, 12, 625236. [Google Scholar] [CrossRef] [PubMed]
- Wang, J.; Han, K.; Zhang, C.; Chen, X.; Li, Y.; Zhu, L.; Luo, T. Identification and validation of ferroptosis-associated gene-based on immune score as prognosis markers for hepatocellular carcinoma patients. J. Gastrointest. Oncol. 2021, 12, 2345–2360. [Google Scholar] [CrossRef] [PubMed]
- Zuazo, M.; Arasanz, H.; Fernández-Hinojal, G.; García-Granda, M.; Gato, M.; Bocanegra, A.; Martínez, M.; Hernández, B.; Teijeira, L.; Morilla, I.; et al. Functional systemic CD4 immunity is required for clinical responses to PD-L1/PD-1 blockade therapy. EMBO Mol. Med. 2019, 11, e10293. [Google Scholar] [CrossRef]
- Sugiura, D.; Shimizu, K.; Maruhashi, T.; Okazaki, I.; Okazaki, T. T-cell-intrinsic and -extrinsic regulation of PD-1 function. Int. Immunol. 2021, 33, 693–698. [Google Scholar] [CrossRef]
- Feng, S.; Cheng, X.; Zhang, L.; Lu, X.; Chaudhary, S.; Teng, R.; Frederickson, C.; Champion, M.; Zhao, R.; Cheng, L.; et al. Myeloid-derived suppressor cells inhibit T cell activation through nitrating LCK in mouse cancers. Proc. Natl. Acad. Sci. USA 2018, 115, 10094–10099. [Google Scholar] [CrossRef] [PubMed]
- Ren, Z.; Zhang, A.; Sun, Z.; Liang, Y.; Ye, J.; Qiao, J.; Li, B.; Fu, Y. Selective delivery of low-affinity IL-2 to PD-1+ T cells rejuvenates antitumor immunity with reduced toxicity. J. Clin. Investig. 2022, 132, e153604. [Google Scholar] [CrossRef] [PubMed]
- Fang, D.; Tang, Q.; Kong, Y.; Wang, Q.; Gu, J.; Fang, X.; Zou, P.; Rong, T.; Wang, J.; Yang, D.; et al. MDM2 inhibitor APG-115 synergizes with PD-1 blockade through enhancing antitumor immunity in the tumor microenvironment. J. Immunother. Cancer 2019, 7, 327. [Google Scholar] [CrossRef]
- Xiao, Y.; Chen, J.; Zhou, H.; Zeng, X.; Ruan, Z.; Pu, Z.; Jiang, X.; Matsui, A.; Zhu, L.; Amoozgar, Z.; et al. Combining p53 mRNA nanotherapy with immune checkpoint blockade reprograms the immune microenvironment for effective cancer therapy. Nat. Commun. 2022, 13, 758. [Google Scholar] [CrossRef]
- Llovet, J.; Castet, F.; Heikenwalder, M.; Maini, M.; Mazzaferro, V.; Pinato, D.; Pikarsky, E.; Zhu, A.; Finn, R. Immunotherapies for hepatocellular carcinoma. Nat. Rev. Clin. Oncol. 2021, 19, 151–172. [Google Scholar] [CrossRef]












| Gene | Forward (5′-3′) | Reverse (5′-3′) | Accession Numbers |
|---|---|---|---|
| LCK | CACGAAGGTGGCGGTGAAGA | GAAGGGGTCTTGAGAAAATCCA | 009P2021112200886 009P2021112200890 |
| CCL2 | GCTCATAGCAGCCACCTCATTC | CCGCCAAAATAACCGATGTGATAC | 009P2021082300911 009P2021082300925 |
| CCL3 | ATCATGAAGGTCTCCACCAC | TCTCAGGCATTCAGTTCCAG | 009P2021082300912 009P2021082300926 |
| CCL4 | TGCTAGTAGCTGCCTTCTGC | TTCACTGGGATCAGCACAGAC | 009P2021082300927 009P2021082300913 |
| CCL5 | CCAGCAGTCGTCTTTGTCAC | CTCTGGGTTGGCACACACTT | 009P2021082300914 009P2021082300928 |
| CCL8 | TGGAGAGCTACACAAGAATCACC | TGGTCC AGATGCTTCATGGAA | 009P2021082300915 009P2021082300929 |
| CCL18 | CTCTGCTGCCTCGTCTATACCT | CTTGGTTAGGAGGATGACACCT | 009P2021082300916 009P2021082300930 |
| CCL19 | CTGCCTGTCTGTGACCCAGCGCCCC | ACTTCTTCAGTCTTCGGATGATGCG | 009P2021082300917 009P2021082300931 |
| CCL21 | CCTTATCCTGGTTCTGGCCT | CAGCCTAAGCTTGGTTCCTG | 009P2021082300918 009P2021082300932 |
| CXCL9 | ATGAGGATGAAAGTGGTGATTGG | GGTGTTGGTGTTGAATAGAAAGC | 009P2021082300919 009P2021082300933 |
| CXCL10 | ATGAGGATGAAAGTGGTGATTGG | GGTGTTGGTGTTGAATAGAAAGC | 009P2021082300920 009P2021082300934 |
| CXCL11 | GACGCTGTCTTTGCATAGGC | GGATTTAGGCATCGTTGTCCTTT | 009P2021082300921 009P2021082300935 |
| CXCL13 | GCTTGAGGTGTAGATGTGTCC | CCCACGGGGCAAGATTTGAA | 009P2021082300922 009P2021082300936 |
| PD-L1 | TGGCATTTGCTGAACGCATTT | TGCAGCCAGGTCTAATTGTTTT | 009P2021080500650 009P2021080500651 |
| PD-1 | CCAGCCCCTGAAGGAGGA | GCCCATTCCGCTAGGAAAGA | 009P2021081000727 009P2021081000728 |
| CTLA4 | GCCCTGCACTCTCCTGTTTTT | GGTTGCCGCACAGACTTCA | 009P2021080900751 009P2021080900752 |
| β-actin | CTCCATCCTGGCCTCGCTGT | GCTGTCACCTTCACCGTTCC | 009P2021051700660 009P2021051700661 |
| Variable | Univariate Analysis | Multivariate Analysis | ||
|---|---|---|---|---|
| HR (95% CI) | p Value | HR (95% CI) | p Value | |
| Sex (male vs. female) | 1.258 (0.621–2.547) | 0.524 | ||
| Age (>60 vs. ≤60) | 1.005 (0.587–1.720) | 0.987 | ||
| TLSs (positive vs. negative) | 0.545 (0.321–0.926) | 0.025 | 0.504 (0.291–0.875) | 0.015 |
| ALT, µ/L (>50 vs. ≤50) | 1.038 (0.627–1.720) | 0.885 | ||
| AST, µ/L (>40 vs. ≤40) | 1.974 (1.206–3.232) | 0.007 | 1.874 (1.125–3.122) | 0.016 |
| HBsAg (positive vs. negative) | 1.437 (0.802–2.577) | 0.223 | ||
| TBil, µmol/L (>20.5 vs. ≤20.5) | 1.033 (0.604–1.786) | 0.905 | ||
| AFP, ng/mL (>400 vs. ≤400) | 1.504 (0.913–2.478) | 0.109 | ||
| Liver cirrhosis (Yes vs. No) | 1.179 (0.713–1.952) | 0.521 | ||
| Lymph, 10E9/L (>1.1 vs. ≤1.1) | 0.535 (0.319–0.899) | 0.018 | 0.521 (0.299–0.909) | 0.022 |
| ALP, µ/L (>125 vs. ≤125) | 2.879 (1.741–4.760) | <0.0001 | ||
| ALB, g/L (>40 vs. ≤40) | 0.345 (0.207–0.576) | <0.0001 | 0.382 (0.225–0.649) | <0.0001 |
| Tumour number (multiple vs. single) | 1.743 (0.927–3.278) | 0.085 | ||
| Tumour diameter, cm (>5 vs. ≤5) | 2.369 (1.435–3.911) | 0.001 | ||
| Tumour capsule (Yes vs. No) | 0.442 (0.270–0.724) | 0.001 | 0.333 (0.198–0.562) | <0.0001 |
| Cell differentiation (healthy vs. poor/moderate) | 0.623 (0.349–1.112) | 0.109 | ||
| Portal vein invasion (Yes vs. No) | 1.889 (0.857–4.165) | 0.115 | ||
| Cancer emboli (Yes vs. No) | 1.810 (1.065–3.075) | 0.028 | ||
| Child grade (B/C vs. A) | 4.608 (1.664–12.760) | 0.003 | 4.266 (1.465–12.421) | 0.008 |
| AJCC Stage (III + IV vs. I + II) | 2.384 (1.435–3.962) | 0.001 | ||
| BCLC Stage (B + C vs. 0 + A) | 2.123 (1.289–3.495) | 0.003 | 2.466 (1.458–4.170) | 0.001 |
Publisher’s Note: MDPI stays neutral with regard to jurisdictional claims in published maps and institutional affiliations. |
© 2022 by the authors. Licensee MDPI, Basel, Switzerland. This article is an open access article distributed under the terms and conditions of the Creative Commons Attribution (CC BY) license (https://creativecommons.org/licenses/by/4.0/).
Share and Cite
Li, J.; Nie, Y.; Jia, W.; Wu, W.; Song, W.; Li, Y. Effect of Tertiary Lymphoid Structures on Prognosis of Patients with Hepatocellular Carcinoma and Preliminary Exploration of Its Formation Mechanism. Cancers 2022, 14, 5157. https://doi.org/10.3390/cancers14205157
Li J, Nie Y, Jia W, Wu W, Song W, Li Y. Effect of Tertiary Lymphoid Structures on Prognosis of Patients with Hepatocellular Carcinoma and Preliminary Exploration of Its Formation Mechanism. Cancers. 2022; 14(20):5157. https://doi.org/10.3390/cancers14205157
Chicago/Turabian StyleLi, Jianhui, Ye Nie, Weili Jia, Wenlong Wu, Wenjie Song, and Yongxiang Li. 2022. "Effect of Tertiary Lymphoid Structures on Prognosis of Patients with Hepatocellular Carcinoma and Preliminary Exploration of Its Formation Mechanism" Cancers 14, no. 20: 5157. https://doi.org/10.3390/cancers14205157
APA StyleLi, J., Nie, Y., Jia, W., Wu, W., Song, W., & Li, Y. (2022). Effect of Tertiary Lymphoid Structures on Prognosis of Patients with Hepatocellular Carcinoma and Preliminary Exploration of Its Formation Mechanism. Cancers, 14(20), 5157. https://doi.org/10.3390/cancers14205157

