Molecular Characterization of Cancer Associated Fibroblasts in Prostate Cancer
Abstract
:Simple Summary
Abstract
1. Introduction
2. Materials and Methods
2.1. Cell Culture
2.2. Immunfluorescence Staining
2.3. Comparative Genomic Hybridization
2.4. Microarray Analyis
2.5. Reverse Transcription and Real-Time PCR
2.6. Ingenuity Pathway Analysis® (IPA)
2.7. Statistical Analysis
3. Results
3.1. Characterization of Fibroblasts
3.2. Global Expression Profiling of Cancer Associated Fibroblasts and Normal Associated Fibroblasts
3.3. Validation of the Microarray Results and Expression of CAF Related Genes in PCAF and Benign Prostate Tissues
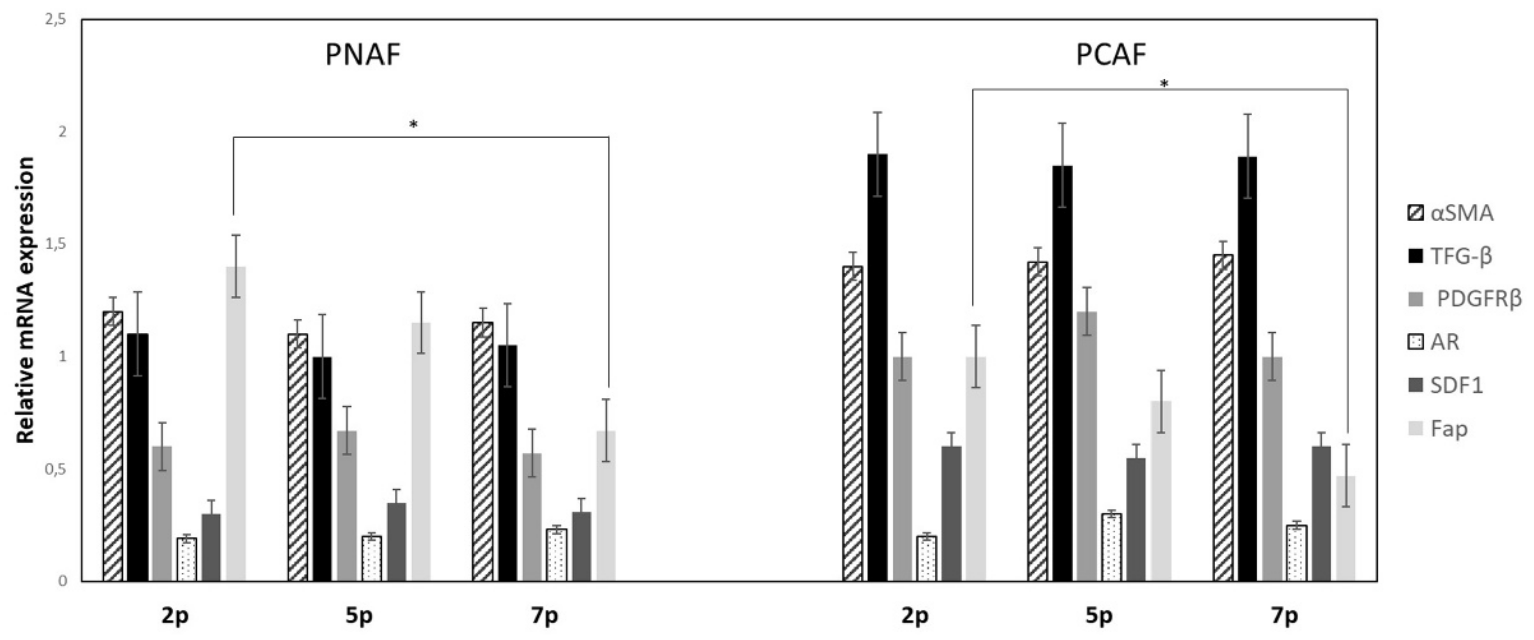
3.4. Stability of the Activated Stromal Phenotype during Cell Culturing
4. Discussion
5. Conclusions
Supplementary Materials
Author Contributions
Funding
Institutional Review Board Statement
Informed Consent Statement
Data Availability Statement
Conflicts of Interest
References
- Franco, O.E.; Hayward, S.W. Targeting the tumor stroma as a novel therapeutic approach for prostate cancer. Adv. Pharmacol. 2012, 65, 267–313. [Google Scholar] [PubMed]
- Bonollo, F.; Thalmann, G.N.; Kruithof-de Julio, M.; Karkampouna, S. The Role of Cancer-Associated Fibroblasts in Prostate Cancer Tumorigenesis. Cancers 2020, 12, 1887. [Google Scholar] [CrossRef] [PubMed]
- Dakhova, O.; Ozen, M.; Creighton, C.J.; Li, R.; Ayala, G.; Rowley, D.; Ittmann, M. Global gene expression analysis of reactive stroma in prostate cancer. Clin. Cancer Res. 2009, 15, 3979–3989. [Google Scholar] [CrossRef] [PubMed] [Green Version]
- Shahini, A.; Vydiam, K.; Choudhury, D.; Rajabian, N.; Nguyen, T.; Lei, P.; Andreadis, S.T. Efficient and high yield isolation of myoblasts from skeletal muscle. Stem. Cell Res. 2018, 30, 122–129. [Google Scholar] [CrossRef]
- Barron, D.A.; Rowley, D.R. The reactive stroma microenvironment and prostate cancer progression. Endocr. Relat. Cancer 2012, 19, R187–R204. [Google Scholar] [CrossRef] [Green Version]
- Reinertsen, T.; Halgunset, J.; Viset, T.; Flatberg, A.; Haugsmoen, L.L.; Skogseth, H. Gene expressional changes in prostate fibroblasts from cancerous tissue. APMIS 2012, 120, 558–571. [Google Scholar] [CrossRef]
- Niu, Y.N.; Xia, S.J. Stroma-epithelium crosstalk in prostate cancer. Asian J. Androl. 2009, 11, 28–35. [Google Scholar] [CrossRef] [Green Version]
- Richardson, A.M.; Woodson, K.; Wang, Y.; Rodriguez-Canales, J.; Erickson, H.S.; Tangrea, M.A.; Novakovic, K.; Gonzalez, S.; Velasco, A.; Kawasaki, E.S.; et al. Global expression analysis of prostate cancer-associated stroma and epithelia. Diagn. Mol. Pathol. 2007, 16, 189–197. [Google Scholar] [CrossRef]
- Zhao, H.; Ramos, C.F.; Brooks, J.D.; Peehl, D.M. Distinctive gene expression of prostatic stromal cells cultured from diseased versus normal tissues. J. Cell Physiol. 2007, 210, 111–121. [Google Scholar] [CrossRef] [Green Version]
- Orr, B.; Riddick, A.C.; Stewart, G.D.; Anderson, R.A.; Franco, O.E.; Hayward, S.W.; Thomson, A.A. Identification of stromally expressed molecules in the prostate by tag-profiling of cancer-associated fibroblasts, normal fibroblasts and fetal prostate. Oncogene 2012, 31, 1130–1142. [Google Scholar] [CrossRef] [Green Version]
- Chen, X.; Song, E. Turning foes to friends: Targeting cancer-associated fibroblasts. Nat. Rev. Drug Discov. 2019, 18, 99–115. [Google Scholar] [CrossRef] [PubMed]
- Costa, A.; Kieffer, Y.; Scholer-Dahirel, A.; Pelon, F.; Bourachot, B.; Cardon, M.; Sirven, P.; Magagna, I.; Fuhrmann, L.; Bernard, C.; et al. Fibroblast heterogeneity and immunosuppressive environment in human breast cancer. Cancer Cell. 2018, 33, 463–479.e10. [Google Scholar] [CrossRef] [PubMed] [Green Version]
- Kieffer, Y.; Hocine, H.R.; Gentric, G.; Pelon, F.; Bernard, C.; Bourachot, B.; Lameiras, S.; Albergante, L.; Bonneau, C.; Guyard, A.; et al. Single-cell analysis reveals fibroblast clusters linked to immunotherapy resistance in cancer. Cancer Discov. 2020, 10, 1330–1351. [Google Scholar] [CrossRef] [PubMed]
- Zheng, S.; Zou, Y.; Tang, Y.; Yang, A.; Liang, J.-Y.; Wu, L.; Tian, W.; Xiao, W.; Xie, X.; Yang, L.; et al. Landscape of cancer-associated fibroblasts identifies the secreted biglycan as a protumor and immunosuppressive factor in triple-negative breast cancer. OncoImmunology 2022, 11, 1. [Google Scholar] [CrossRef]
- Vickman, R.E.; Broman, M.M.; Lanman, N.A.; Franco, O.A.; Sudyanti, P.A.G.; Ni, Y.; Helfand, B.T.; Petkewicz, J.; Paterakos, M.C.; Crawford, S.E.; et al. Contributions of carcinoma-associated fibroblasts to the prostate cancer microenvironment. Curr. Opin. Endocr. Metab. Res. 2020, 10, 1–6. [Google Scholar] [CrossRef]
- Sahai, E.; Astsaturov, I.; Cukierman, E.; DeNardo, D.G.; Egeblad, M.; Evans, R.M.; Fearon, D.; Greten, F.R.; Hingorani, S.R.; Hunter, T. A framework for advancing our understanding of cancer-associated fibroblasts. Nat. Rev. Cancer 2020, 20, 174–186. [Google Scholar] [CrossRef] [Green Version]
- Laha, D.; Grant, R.; Mishra, P.; Nilubol, N. The Role of Tumor Necrosis Factor in Manipulating the Immunological Response of Tumor Microenvironment. Front. Immunol. 2021, 12, 656908. [Google Scholar] [CrossRef]
- Chakravarthy, A.; Khan, L.; Bensler, N.P. TGF-β-associated extracellular matrix genes link cancer-associated fibroblasts to immune evasion and immunotherapy failure. Nat. Commun. 2018, 9, 4692. [Google Scholar] [CrossRef]
- Calon, A.; Lonardo, E.; Berenguer-Llergo, A.; Espinet, E.; Hernando-Momblona, X.; Iglesias, M.; Sevillano, M.; Palomo-Ponce, S.; Tauriello, D.V.; Byrom, D.; et al. Stromal gene expression defines poor-prognosis subtypes in colorectal cancer. Nat. Genet. 2015, 47, 320–329. [Google Scholar] [CrossRef] [Green Version]
- Kojima, Y.; Acar, A.; Eaton, E.N.; Mellody, K.T.; Scheel, C.; Ben-Porath, I.; Onder, T.T.; Wang, Z.C.; Richardson, A.L.; Weinberg, R.A.; et al. Autocrine tgf-beta and stromal cell-derived factor-1 (SDF-1) signaling drives the evolution of tumor-promoting mammary stromal myofibroblasts. Proc. Natl. Acad. Sci. USA 2010, 107, 20009–20014. [Google Scholar] [CrossRef] [Green Version]
- Yu, Y.; Xiao, C.H.; Tan, L.D.; Wang, Q.S.; Li, X.Q.; Feng, Y.M. Cancer-associated fibroblasts induce epithelial-mesenchymal transition of breast cancer cells through paracrine TGF-β signalling. Br. J. Cancer 2014, 110, 724–732. [Google Scholar] [CrossRef] [PubMed] [Green Version]
- Blanco-Gómez, A.; Hontecillas-Prieto, L.; Corchado-Cobos, R.; García-Sancha, N.; Salvador, N.; Castellanos-Martín, A.; Sáez-Freire, M.D.M.; Mendiburu-Eliçabe, M.; Alonso-López, D.; De Las Rivas, J.; et al. Stromal SNAI2 Is Required for ERBB2 Breast Cancer Progression. Cancer Res. 2020, 80, 5216–5230. [Google Scholar] [CrossRef] [PubMed]
- Matsumura, Y.; Ito, Y.; Mezawa, Y.; Sulidan, K.; Daigo, Y.; Hiraga, T.; Mogushi, K.; Wali, N.; Suzuki, H.; Itoh, T.; et al. Stromal fibroblasts induce metastatic tumor cell clusters via epithelial-mesenchymal plasticity. Life Sci. Alliance 2019, 2, e201900425. [Google Scholar] [CrossRef] [PubMed]
- Mezawa, Y.; Daigo, Y.; Takano, A.; Miyagi, Y.; Yokose, T.; Yamashita, T.; Morimoto, C.; Hino, O.; Orimo, A. CD26 expression is attenuated by TGF-β and SDF-1 autocrine signaling on stromal myofibroblasts in human breast cancers. Cancer Med. 2019, 8, 3936–3948. [Google Scholar] [CrossRef] [PubMed]
- Liu, C.; Wang, S.; Zhu, S. MAP3K1-targeting therapeutic artificial miRNA suppresses the growth and invasion of breast cancer in vivo and in vitro. SpringerPlus 2016, 5, 11. [Google Scholar] [CrossRef] [PubMed] [Green Version]
- Traughber, C.A.; Opoku, E.; Brubaker, G.; Major, J.; Lu, H.; Lorkowski, S.W.; Neumann, C.; Hardaway, A.; Chung, Y.M.; Gulshan, K.; et al. Uptake of high-density lipoprotein by scavenger receptor class B type 1 is associated with prostate cancer proliferation and tumor progression in mice. J. Biol. Chem. 2020, 295, 8252–8261. [Google Scholar] [CrossRef] [PubMed]
- Li, C.; Ma, Y.; Fei, F.; Zheng, M.; Li, Z.; Zhao, Q.; Du, J.; Liu, K.; Lu, R.; Zhang, S. Critical role and its underlying molecular events of the plasminogen receptor, S100A10 in malignant tumor and non-tumor diseases. J. Cancer 2020, 11, 826–836. [Google Scholar] [CrossRef] [Green Version]
- Phipps, K.D.; Surette, A.P.; O’Connell, P.A.; Waisman, D.M. Plasminogen receptor S100A10 is essential for the migration of tumor-promoting macrophages into tumor sites. Cancer Res. 2011, 71, 6676–6683. [Google Scholar] [CrossRef] [Green Version]
- Zhang, G.; Liu, Y.; Yang, J.; Wang, H.; Xing, Z. Inhibition of circ_0081234 reduces prostate cancer tumor growth and metastasis via miR-1/MAP3K1 axis. J. Gene Med. 2021, 2021, e3376. [Google Scholar] [CrossRef]
- Bacolod, M.D.; Barany, F. A Unified Transcriptional, Pharmacogenomic, and Gene Dependency Approach to Decipher the Biology, Diagnostic Markers, and Therapeutic Targets Associated with Prostate Cancer Metastasis. Cancers 2020, 13, 5158. [Google Scholar] [CrossRef]
- Gordon, J.A.; Noble, J.W.; Midha, A.; Derakhshan, F.; Wang, G.; Adomat, H.H.; Tomlinson Guns, E.S.; Lin, Y.Y.; Ren, S.; Collins, C.C.; et al. Upregulation of Scavenger Receptor B1 Is Required for Steroidogenic and Nonsteroidogenic Cholesterol Metabolism in Prostate Cancer. Cancer Res. 2019, 79, 3320–3331. [Google Scholar] [CrossRef] [PubMed] [Green Version]
- Noye, T.M.; Lokman, N.A.; Oehler, M.K.; Ricciardelli, C. S100A10 and Cancer Hallmarks: Structure, Functions, and its Emerging Role in Ovarian Cancer. Int. J. Mol. Sci. 2018, 19, 4122. [Google Scholar] [CrossRef] [PubMed] [Green Version]
- Chetcuti, A.; Margan, S.H.; Russell, P.; Mann, S.; Millar, D.S.; Clark, S.J.; Rogers, J.; Handelsman, D.J.; Dong, Q. Loss of annexin II heavy and light chains in prostate cancer and its precursors. Cancer Res. 2001, 61, 6331–6334. [Google Scholar] [PubMed]
- Nurmik, M.; Ullmann, P.; Rodriguez, F.; Haan, S.; Letellier, E. In search of definitions: Cancer-associated fibroblasts and their markers. Int. J. Cancer 2020, 146, 895–905. [Google Scholar] [CrossRef] [Green Version]
- Broggi, G.; Lo Giudice, A.; Di Mauro, M.; Pricoco, E.; Piombino, E.; Ferro, M.; Caltabiano, R.; Morgia, G.; Russo, G.I. Insulin signaling, androgen receptor and PSMA immunohistochemical analysis by semi-automated tissue microarray in prostate cancer with diabetes (DIAMOND study). Transl. Res. 2021, 238, 25–35. [Google Scholar] [CrossRef]
- Broggi, G.; Lo Giudice, A.; Di Mauro, M.; Asmundo, M.G.; Pricoco, E.; Piombino, E.; Caltabiano, R.; Morgia, G.; Russo, G.I. SRSF-1 and microvessel density immunohistochemical analysis by semi-automated tissue microarray in prostate cancer patients with diabetes (DIAMOND study). Prostate 2021, 81, 882–892. [Google Scholar] [CrossRef]
- Alqahtani, S.; Wei, C.; Zhang, Y.; Szewczyk-Bieda, M.; Wilson, J.; Huang, Z.; Nabi, G. Prediction of prostate cancer Gleason score upgrading from biopsy to radical prostatectomy using pre-biopsy multiparametric MRI PIRADS scoring system. Sci. Rep. 2020, 10, 7722. [Google Scholar] [CrossRef]






| Case | Age | G1 | G2 | G Sum | T | CGH Results | |
|---|---|---|---|---|---|---|---|
| PCAF and PNAF patients (matched samples) | |||||||
| H01752-09 | 47 | 3 | 3 | 6 | pT2c | 46, XY Normal | |
| H03971-09 | 67 | 4 | 3 | 7 | pT2c | 46, XY Norma | |
| H08222-08 | 51 | 3 | 3 | 6 | pT2a | 46, XY Normal | |
| H14467-08 | 59 | 3 | 3 | 6 | pT2c | 46, XY Normal | |
| H19483-08 | 67 | 4 | 4 | 8 | pT3b | 46, XY Normal | |
| H22539-11 | 53 | 4 | 5 | 9 | pT3b | 46, XY Normal | |
| H22674-08 | 62 | 4 | 3 | 7 | pT2c | 46, XY Normal | |
| H22787-11 | 48 | 3 | 4 | 7 | pT2c | 46, XY Normal | |
| PCAF patients | |||||||
| H00524-06 | 73 | 4 | 3 | 7 | pT3b | 46, XY Normal | |
| H01050-06 | 63 | 3 | 4 | 7 | pT2c | 46, XY Normal | |
| H01915-09 | 65 | 4 | 3 | 7 | pT3b | 46, XY Normal | |
| H03806-11 | 55 | 3 | 3 | 6 | pT2c | 46, XY Normal | |
| H04149-05 | 74 | 3 | 4 | 7 | pT3 | 46, XY Normal | |
| H06123-11 | 53 | 3 | 3 | 6 | pT2a | 46, XY Normal | |
| H06530-11 | 59 | 3 | 4 | 7 | pT3b | 46, XY Normal | |
| H06968-09 | 60 | 4 | 3 | 7 | pT3b | 46, XY Normal | |
| H06976-08 | 67 | 4 | 3 | 7 | pT3a | 46, XY Normal | |
| H07029-11 | 57 | 3 | 4 | 7 | pT3a | 46, XY Normal | |
| H07113-09 | 72 | 4 | 3 | 7 | pT3a | 46, XY Normal | |
| H07147-11 | 41 | 3 | 4 | 7 | pT2c | 46, XY Normal | |
| H10729-05 | 63 | 3 | 4 | 7 | pT3a | 46, XY Normal | |
| H11947-08 | 66 | 4 | 3 | 7 | pT3b | 46, XY Normal | |
| H14912-09 | 61 | 3 | 4 | 7 | pT3a | 46, XY Normal | |
| H14987-09 | 57 | 3 | 4 | 7 | pT2c | 46, XY Normal | |
| H15991-05 | 70 | 2 | 3 | 5 | pT2a | 46, XY Normal | |
| PNAF patients | |||||||
| H02281-09 | 68 | 4 | 3 | 7 | pT3a | 46, XY Normal | |
| H02840-05 | 63 | 3 | 4 | 7 | pT2a | 46, XY Normal | |
| H03382-09 | 61 | 4 | 4 | 8 | pT2a | 46, XY Normal | |
| H03503-09 | 72 | 3 | 4 | 7 | pT2c | 46, XY Normal | |
| H07329-08 | 48 | 3 | 4 | 7 | pT2b | 46, XY Normal | |
| H10343-07 | 68 | 3 | 3 | 6 | pT2c | 46, XY Normal | |
| H11061-05 | 70 | 3 | 4 | 7 | pT3a | 46, XY Normal | |
| H19602-05 | 60 | 3 | 4 | 7 | pT2c | 46, XY Normal | |
| H19647-08 | 64 | 5 | 4 | 9 | pT3b | 46, XY Normal | |
| H21352-05 | 72 | 3 | 4 | 7 | pT2c | 46, XY Normal | |
| H24024-08 | 56 | 4 | 3 | 7 | pT3a | 46, XY Normal | |
| H07102-05 | 69 | 3 | 4 | 7 | pT2c | 46, XY Normal | |
| BPHF patients | |||||||
| H06323-08 | 68 | N.A. | N.A. | N.A. | N.A. | 46, XY Normal | |
| H08269-08 | 75 | N.A. | N.A. | N.A. | N.A. | 46, XY Normal | |
| H03124-08 | 74 | N.A. | N.A. | N.A. | N.A. | 46, XY Normal | |
| H14588-08 | 76 | N.A. | N.A. | N.A. | N.A. | 46, XY Normal | |
| H01753-09 | 77 | N.A. | N.A. | N.A. | N.A. | 46, XY Normal | |
| H03991-09 | 62 | N.A. | N.A. | N.A. | N.A. | 46, XY Normal | |
| H00485-13 | 64 | N.A. | N.A. | N.A. | N.A. | 46, XY Normal | |
| H00425-13 | 76 | N.A. | N.A. | N.A. | N.A. | 46, XY Normal | |
| H06884-13 | 80 | N.A. | N.A. | N.A. | N.A. | 46, XY Normal | |
| H08417-13 | 66 | N.A. | N.A. | N.A. | N.A. | 46, XY Normal | |
| H11630-13 | 63 | N.A. | N.A. | N.A. | N.A. | 46, XY Normal | |
| H23201-13 | 70 | N.A. | N.A. | N.A. | N.A. | 46, XY Normal | |
| Fold Change | Symbol | Entrez Gene Name | Type(s) | Cell Compartment |
|---|---|---|---|---|
| 1.597 | CLHC1 | clathrin heavy chain linker domain containing 1 | other | Other |
| 2.100 | CLK4 | CDC-like kinase 4 | kinase | Nucleus |
| 1.496 | FLJ44124 | uncharacterized LOC641737 | other | Other |
| 1.462 | HIATL2 | Hippocampus abundant transcript-like 2 | other | Other |
| 1.460 | KIAA1598 | KIAA1598 | other | Plasma Membrane |
| 1.459 | LOC401098 | uncharacterized LOC401098 | other | Other |
| 1.556 | LRRC37BP1 | leucine rich repeat containing 37B pseudogene 1 | other | Other |
| 1.456 | MAGT1 | magnesium transporter 1 | enzyme | Plasma Membrane |
| 1.816 | MAP3K1 | mitogen-activated protein kinase kinase kinase 1, E3 ubiquitin protein ligase | kinase | Cytoplasm |
| 1.237 | NBPF10 (includes others) | neuroblastoma breakpoint family, member 15 | other | Other |
| 1.510 | PHLDB2 | pleckstrin homology-like domain, family B, member 2 | other | Cytoplasm |
| 1.719 | RNY3 | RNA, Ro-associated Y3 | other | Other |
| 2.308 | TXLNGY | taxilin gamma pseudogene, Y-linked | other | Other |
| 1.499 | ZNF700 | zinc finger protein 700 | other | Extracellular Space |
| 1.565 | SCARB1 | scavenger receptor class B, member 1 | transporter | Plasma Membrane |
| 1.620 | SMCR5 | Smith-Magenis syndrome chromosome region, candidate 5 | other | Other |
| −1.589 | S100A10 | S100 calcium binding protein A10 | other | Cytoplasm |
| −1.853 | S100A16 | S100 calcium binding protein A16 | other | Nucleus |
| −1.633 | ANXA2P3 | annexin A2 pseudogene 3 | other | Other |
| −1.541 | SNAPC2 | small nuclear RNA activating complex, polypeptide 2, 45kDa | transcription regulator | Nucleus |
| −1.620 | SPRED2 | sprouty-related, EVH1 domain containing 2 | cytokine | Extracellular Space |
Publisher’s Note: MDPI stays neutral with regard to jurisdictional claims in published maps and institutional affiliations. |
© 2022 by the authors. Licensee MDPI, Basel, Switzerland. This article is an open access article distributed under the terms and conditions of the Creative Commons Attribution (CC BY) license (https://creativecommons.org/licenses/by/4.0/).
Share and Cite
Vitale, G.; Caraglia, M.; Jung, V.; Kamradt, J.; Gentilini, D.; Di Martino, M.T.; Dicitore, A.; Abate, M.; Tagliaferri, P.; Itro, A.; et al. Molecular Characterization of Cancer Associated Fibroblasts in Prostate Cancer. Cancers 2022, 14, 2943. https://doi.org/10.3390/cancers14122943
Vitale G, Caraglia M, Jung V, Kamradt J, Gentilini D, Di Martino MT, Dicitore A, Abate M, Tagliaferri P, Itro A, et al. Molecular Characterization of Cancer Associated Fibroblasts in Prostate Cancer. Cancers. 2022; 14(12):2943. https://doi.org/10.3390/cancers14122943
Chicago/Turabian StyleVitale, Giovanni, Michele Caraglia, Volker Jung, Jörn Kamradt, Davide Gentilini, Maria Teresa Di Martino, Alessandra Dicitore, Marianna Abate, Pierosandro Tagliaferri, Annalisa Itro, and et al. 2022. "Molecular Characterization of Cancer Associated Fibroblasts in Prostate Cancer" Cancers 14, no. 12: 2943. https://doi.org/10.3390/cancers14122943
APA StyleVitale, G., Caraglia, M., Jung, V., Kamradt, J., Gentilini, D., Di Martino, M. T., Dicitore, A., Abate, M., Tagliaferri, P., Itro, A., Ferro, M., Balsamo, R., De Sio, M., Facchini, G., Persani, L., Schmitt, K., Saar, M., Stöckle, M., Unteregger, G., & Zappavigna, S. (2022). Molecular Characterization of Cancer Associated Fibroblasts in Prostate Cancer. Cancers, 14(12), 2943. https://doi.org/10.3390/cancers14122943

