Simple Summary
The optimal management of non-metastatic hepatocellular carcinoma (HCC) remains debated. The association between HCC and cirrhosis influences prognosis and therapeutic choices between curative and palliative treatments. The goal of our retrospective study was to evaluate the cost-effectiveness of the extended use of ablation for the treatment of HCC with cirrhosis in an expert ablation center when compared to the non-extended use of ablation in equivalent tertiary care centers. In a propensity-score matched cohort of 532 patients with naïve HCC, the extended use of ablation led to better compliance with the Barcelona Clinic Liver Classification (BCLC) guidelines (80% vs. 67%) and was more effective and less expensive than the non-extended use of ablation strategy, particularly at an earlier stage of the disease. The shift from curative to palliative treatments was noted in a considerable percentage of patients; therefore, this needs to be redefined as the wide choice of ablation techniques and technical advances in imaging guidance increase the curative options available to treat a maximum of patients with HCC.
Abstract
Background: To evaluate the cost-effectiveness of the extended use of ablation for the treatment of hepatocellular carcinoma (HCC) with cirrhosis in an expert ablation center when compared to the non-extended use of ablation in equivalent tertiary care centers. Methods: Consecutive cirrhotic patients with non-metastatic HCC, no prior treatment, and referred to three tertiary care centers between 2012 and 2016 were retrospectively identified. The Bondy group, including all of the patients treated at Jean Verdier Hospital, where the extended use of ablation is routinely performed, was compared to the standard of care (SOC) group, including all of the patients treated at the Beaujon and Mondor Hospitals, using propensity score matching. A cost-effectiveness analysis was carried out from the perspective of French health insurance using a Markov model on a lifetime horizon. Results: 532 patients were matched. The Bondy group led to incremental discounted lifetime effects of 0.8 life-years gained (LYG) (95% confidence interval: 0.4, 1.3) and a decrease in lifetime costs of EUR 7288 (USD 8016) (95% confidence interval: EUR 5730 [USD 6303], EUR 10,620 [USD 11,682]) per patient, compared with the SOC group, resulting in a dominant mean incremental cost-effectiveness ratio (ICER). A compliance with the Barcelona Clinic Liver Classification (BCLC) guidelines for earlier stage contributed to the greater part of the ICER. Conclusion: The extended use of ablation in cirrhotic patients with HCC was more effective and less expensive than the non-extended use of the ablation strategy.
1. Introduction
The optimal management of non-metastatic hepatocellular carcinoma (HCC) remains debated. The association between HCC and cirrhosis influences prognosis and therapeutic choices between surgical and nonsurgical treatments [1,2]. While liver transplantation offers the best survival outcomes in highly selected patients [3], it is limited by the shortage of organs and tumor progression while the patient is on the waiting list [4]. Hepatic resection has demonstrated comparable results following upfront liver transplantation in small solitary HCC with compensated cirrhosis [5]. Unfortunately, at diagnosis, a majority of patients are not candidates for surgical treatment because of contraindications, mostly represented by (even slightly) impaired liver function, portal hypertension, or the presence of comorbidities [6]. These limitations have been highlighted by the prospective follow-up of European compensated cirrhotic patients included in HCC surveillance programs [7,8]. According to the Barcelona Clinic Liver Classification (BCLC), percutaneous ablation is proposed as the first-line option for unresectable early-stage HCC with up to three nodules smaller than 3 cm not amenable to liver transplantation [9]. However, the BCLC decisional algorithm does not address the numerous technical issues that can limit the feasibility of ablation in patients bearing early and even very early stages of HCC. Thus, in retrospective real-life studies, radiofrequency ablation procedures (RFA) have been denied in up to 30% of cases, with a negative impact on survival rates because of technical issues or a high-risk location of the tumor [10], especially in early-stage HCC patients who are a theoretically good candidate for ablation but receive, according to the migration stage strategy, suboptimal palliative endovascular treatment, mainly trans-arterial chemoembolization (TACE) [11,12]. On the opposite side of the BCLC algorithm, it has been advocated that ablation could improve the outcomes of a subset of patients with intermediate and even advanced stages usually referred for TACE, TARE, or systemic treatments [13,14,15,16]. Whether to reduce resorting to the migration stage strategy for the treatment of early stages or to treat more advanced stages of HCC by ablation, the use of expert techniques and technologies such as imaging fusion, artificial pleural effusion or ascites, microwave, multi-bipolar RFA, or irreversible electroporation (IRE) are mandatory [17,18,19,20].
For several years, all of these means have been routinely used at the Jean Verdier University Hospital (Bondy, France) to extend the use of percutaneous ablation for the treatment of a subset of HCC patients commonly treated with endoarterial treatments either by applying a migration stage strategy or in accordance with the BCLC recommendations for more advanced stages (Figure 1) [19,20]. The main goal of this study was to evaluate the cost-effectiveness of the extended use of percutaneous ablation for the treatment of HCC with cirrhosis in an expert center employing cutting-edge ablation techniques compared to the non-extended use of ablation in equivalent tertiary care centers.
Figure 1.
Protocol for the management of hepatocellular carcinoma in cirrhotic patients applied at Jean Verdier Hospital University (Bondy group) in first-line setting. Ablation techniques used at Jean Verdier Hospital are monopolar radiofrequency, multi bipolar radiofrequency, microwave, intra-arterial ethanol injection and irreversible electroporation [15,16]. Large ablation with multi bipolar radiofrequency is performed up to 8 cm [17]. After one of the initial treatments, consecutive therapies could be managed by curative options (salvage transplantation, resection, or ablation) or palliative options (TACE, TARE, and Sorafenib). Vp1-2: presence of a tumor thrombus distal up to the second-order branches of the portal vein. Vp3-4: presence of a tumor thrombus in the first-order branches of the portal vein or in the main trunk of the portal vein. At Jean Verdier Hospital, HCC with Vp1-2 portal invasion, if possible, is treated by ablation using either multi bipolar radiofrequency or irreversible electroporation or intraarterial ethanol injection [16,18,19]. HCC, Hepatocellular carcinoma; PS, performance status; HR, hepatic resection; TACE, trans-arterial chemoembolization; TARE, trans-arterial radioembolization; BSC, best supportive care; N+, nodal metastasis; M+, extrahepatic metastasis.
2. Results
2.1. Study Population
Between 1 January 2012 and 1 February 2016, 832 HCC patients received curative or palliative modalities as first-line treatment in all three centers. Of these, three were excluded because of decompensated cirrhosis and hepatocholangiocarcinoma. Two hundred and seventy-two patients were treated at Jean Verdier University Hospital and 557 patients at Beaujon and Henri Mondor Hospitals (Figure 2). After propensity score matching, the final cohort comprised 532 patients. The two groups had similar baseline characteristics and BCLC stages (Table 1). Cirrhosis was present in all of the patients.
Figure 2.
Consort diagram of study flow and the selection of patients for inclusion. The two groups were matched based on a 1:1 propensity score using an optimal matching program. HCC, Hepatocellular carcinoma; TACE, trans-arterial chemoembolization; TARE, trans-arterial radioembolization.
Table 1.
Baseline characteristics of the unmatched and matched cohort and treatment groups.
2.2. Allocation of First-Line Treatments
The distribution of the first-line treatments between the two groups differed significantly (Figure 3), with more curative treatments being delivered in the Bondy group (71% vs. 37%; p < 0.001). In the Bondy group, 188 patients (71%) underwent percutaneous ablation, one patient (<1%) a resection, 47 patients (18%) TACE, and 30 (11%) received Sorafenib as first-line therapy. There were 21 (8%) and 11 (4%) ablated patients classified as being at the intermediate and advanced stages. For the very early/early, intermediate, and advanced stages, there were 156 (90%), 31 (56%), and 25 (66%), respectively, first-line treatments adherent to BCLC guidelines (overall adherence: 80%). In the SOC group, 35 patients (13%) were treated with hepatic resection, 64 patients (24%) by percutaneous ablation, 128 patients (48%) by TACE, and 39 (15%) by Sorafenib. For the very early/early, intermediate, and advanced stages, there were 92 (56%), 50 (86%), and 35 (81%), respectively, first-line treatments adherent to BCLC guidelines (overall adherence: 67% vs. 80%, p = 0.004). Overall, the palliative treatment stage migration accounted for 21 patients (8%) vs. 76 patients (29%) in the Bondy and SOC group (p < 0.001), respectively.

Figure 3.
First-line treatment by BCLC stage in the matched (A) Bondy and (B) SOC group.
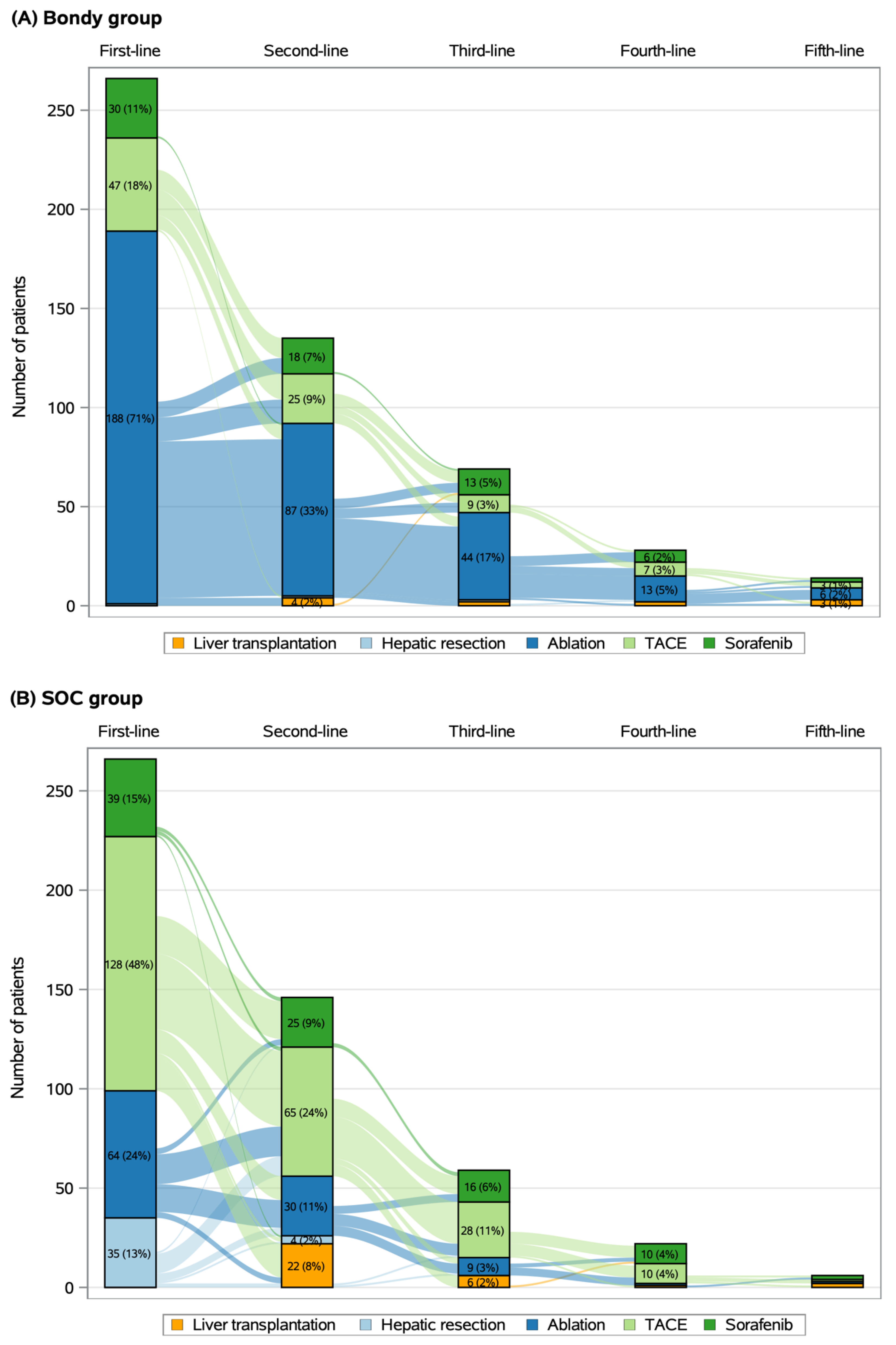
2.3. Therapeutic Trajectories after First-Line Treatments
The number of patients treated with curative modalities after first-line treatments was greater in the Bondy group vs. the SOC group (59% vs. 27%, p < 0.001), regardless of the curative or palliative first-line treatment (Figure 4). Among the 188 patients (71%) who were given ablation in the Bondy group, ablation was the most common consecutive strategy, and 133 patients (71%) received one or more consecutive ablation therapies. Whereas among the 99 patients (37%) who were treated by either first-line hepatic resection or ablation in the SOC group, TACE was the most frequent consecutive procedure and 32 patients (32%) received one on more TACE. When TACE was performed as first-line treatment, even for earlier stage HCC, the number of patients receiving consecutive curative treatment was low in both groups. Among the 49 patients treated with first-line TACE in the Bondy group, 15 patients were finally treated with ablation (31%). Among the 128 patients treated with first-line TACE in the SOC group, nine patients were finally treated by hepatic resection (7%), 18 by ablation (14%), and 19 by liver transplantation (15%). Overall, 42 patients (8%) underwent liver transplantation, including 12 (5%) in the Bondy group (12 after first-line ablation) and 30 (11%) in the SOC group (19 after first-line TACE, four after first-line ablation, and seven after first-line hepatic resection). Eighty-one percent of liver transplants were for earlier stage HCC in both groups.
Figure 4.
Therapeutic trajectories after first-line treatment in the matched (A) Bondy and (B) SOC group. The flows between bars are proportional to the number of patients at each step.
2.4. Overall Survival Analysis
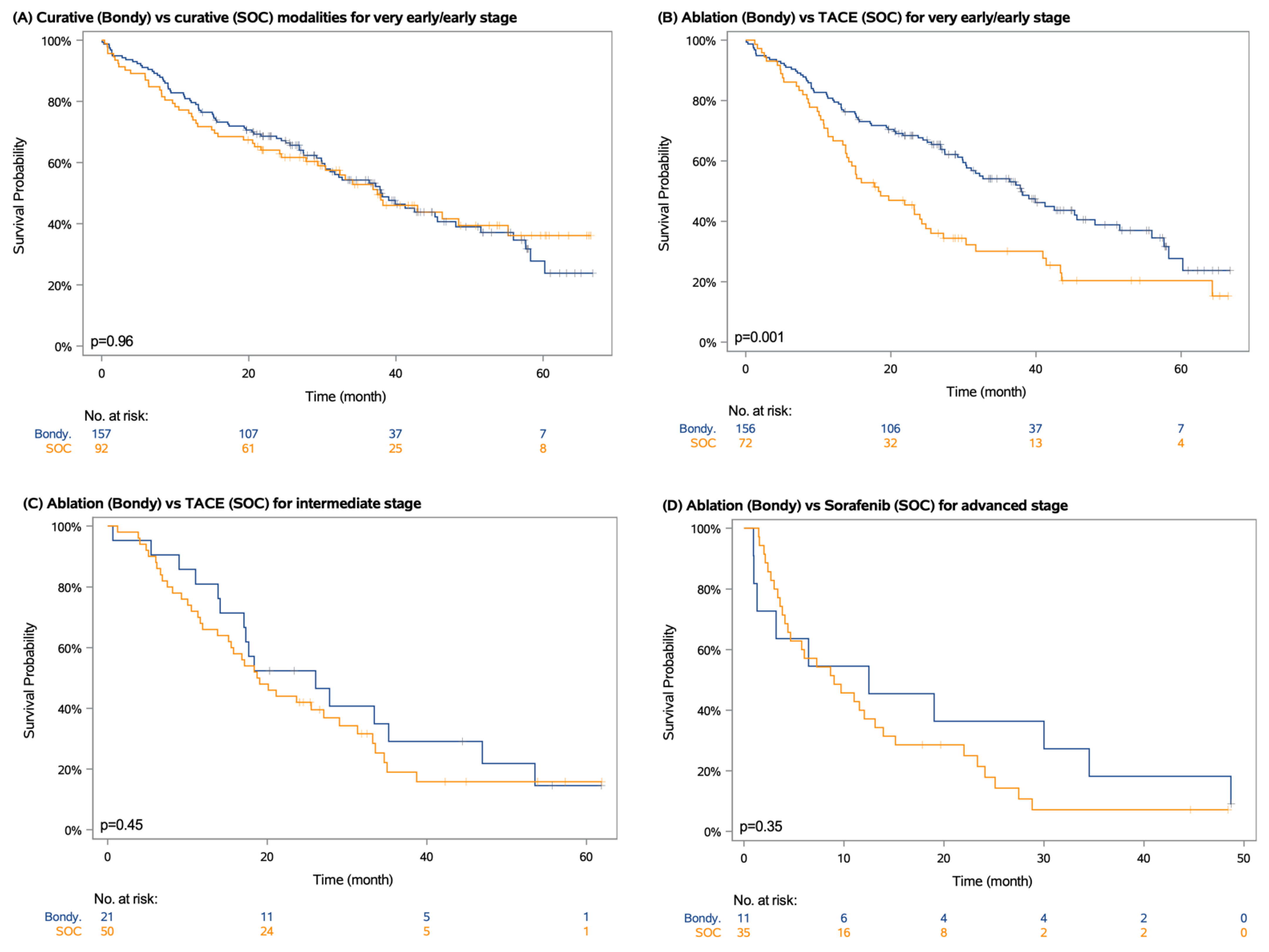
The median follow-up was 47 months (IQR 34-62). In the Bondy group, the median overall survival was 35 months (IQR 14-58), 12 months (IQR 6-20), and 4 months (IQR 1-6) with ablation, TACE, and Sorafenib, respectively. In the SOC group, the median overall survival was 55 months (IQR 8-not estimable), 37 months (IQR 13-not estimable), 18 months (IQR 10-35), and 9 months (IQR 4-22) with hepatic resection, ablation, TACE, and Sorafenib, respectively (Supplementary Materials). Among the very early and early HCC patients, first-line curative treatments (hepatic resection and ablation) did not display any statistically significant difference in terms of OS between the two groups (median OS 38 vs. 37 months in the Bondy and SOC groups, respectively; p = 0.96). However, in very early and early HCC patients, the overall survival was significantly shorter among those receiving first-line TACE in the SOC group than in patients receiving ablation in the Bondy group (median OS 18 vs. 38 months; p = 0.001). In the patients with intermediate and advanced HCC, there was a trend towards better overall survival among those undergoing ablation techniques than receiving TACE (median OS 26 vs. 19 months; p = 0.45) or Sorafenib (median OS 13 vs. 9 months; p = 0.35) (Figure 5).
Figure 5.
Kapan–Meier survival estimates by BCLC stage and first-line treatment. (A) very early/early HCC treated with by first-line curative options, (B) very early/early HCC treated with first-line ablation in the Bondy group versus first-line TACE in the standard of care group, (C) intermediate Child A HCC treated with first-line ablation in the Bondy group versus first-line TACE in the SOC group and (D) advanced HCC treated with first-line ablation in the Bondy group versus Sorafenib in the SOC group.
2.5. Cost Effectiveness Analysis
The model estimated the average lifetime costs per patient as being EUR 18,205 (USD 20,026) and EUR 25,493 (USD 28,043) in the Bondy and SOC groups, respectively. Extrapolated survival reached 12.0 years in the Bondy group and 11.2 years in the SOC group (Table 2). The Bondy group led to incremental discounted lifetime effects of 0.8 LYG (95% confidence interval: 0.4, 1.3) and a decrease in lifetime cost by EUR 7288 (USD 8017) (95% confidence interval: EUR 5730 [USD 6303], EUR 10,620 [USD 11,682]) per patient, compared with the SOC group, resulting in a dominant mean incremental cost-effectiveness ratio. Compliance with the BCLC guidelines for very early and early-stage disease contributed to the greater part of the ICER (Figure 6). Among the patients with early-stage HCC treated by ablation (Bondy group) vs. TACE (SOC group), the Bondy group resulted in a lifetime gain of 5.8 LYGs per patient (95% confidence interval: 5.2, 6.5) and a decrease in cost by EUR 8778 (USD 9656) (95% confidence interval: EUR 5422 [USD 5964], EUR 12,804 [USD 14,084]). The deterministic sensitivity analysis found that the overall results were most sensitive to the probability of success of ablation in the Bondy group, i.e., the ability of the technique to provide actual curative treatment. Monte Carlo simulations found that the Bondy group strategy was dominant in 96.2% of the simulations. With a restricted 5-year horizon, the Bondy group strategy also dominated the SOC group (The results for all sensitivity analyses are presented in the Supplementary Materials).
Table 2.
Baseline results of cost-effectiveness analyses by first-line treatment. These results were weighted by the probabilities of each first-line treatment in the Bondy and standard of care groups and used to calculate the final ICER.
Figure 6.
Scatter plot of the probabilistic sensitivity analysis from the matched cohort. The main analysis (Bondy group vs. SOC group) is depicted in orange. Subgroup analyses by BCLC stage are also presented. In the main analysis, 96.2% of the 1000 simulations were in the lower right quadrant (dominant strategy).
3. Discussion
The extended use of percutaneous ablation beyond common feasibility issues (ultrasonography tumor invisibility, at-risk location, large ablation, thrombocytopenia, etc.) within the very early and early stages commonly leads to the application of migration-stage strategies and selected intermediate and advanced stages for the treatment of HCC with cirrhosis led to lower healthcare costs and more life-years gained on a lifetime horizon, for a high proportion of the iterations (96.2%), compared to the non-extended use of ablation strategy. Patients with early-stage disease accounted for the majority of patients in the cohort. The larger proportion of earlier-stage HCC in this cohort may reflect the cost-effectiveness of the screening of the at-risk cirrhotic population, allowing for the application of curative treatments [21]. As a result of the extended use of ablation, the proportion of patients triaged to first-line curative therapies was high in the Bondy group (71%), whereas the treatment allocation in the highly specialized centers of the SOC group revealed an over-use of palliative approaches mainly with TACE (37%). For earlier stages, palliative treatment stage migration accounted for 44% of the patients in the SOC group, representing the most common procedure delivered in the SOC group. These figures seem representative of the patterns of HCC management worldwide since the global HCC BRIDGE study on 18,000 patients found that, across all BCLC stages, TACE was the most frequent first-line HCC treatment in North America, Europe, South Korea, and China [22]. As with the findings of other studies [23,24,25], the overall survival was shorter in early-stage patients treated with suboptimal palliative TACE rather than curative modalities in accordance with the migration stage strategy principle. For cirrhotic patients with frequent surgical contraindications, the ablation strategy appeared to be a credible approach to keep earlier stage HCC in a curative intent with curative techniques. The extended use of ablation, therefore, led to an 80% adherence to BCLC therapeutic management guidelines across all stages and even reached 90% for earlier-stage HCC. Compliance with BCLC guidelines for very early and early-stage disease contributed to the greater part of the ICER with the highest decrease in costs (EUR 8778 [USD 9656]) and the highest increase in lifetime gain per patient (5.8 LYG) and was shown to be robust in the sensitivity analysis (Figure 6). Broadened access to ablation for earlier stage HCC, which appeared to be the cheapest treatment, reduced not only the number of palliative first-line procedures but also enabled better overall survival with fewer expenditures for consecutive treatments with palliative modalities.
The first-line treatment appeared crucial in the management’s trajectory of the patient. For earlier stage HCC treated with first-line TACE, the number of consecutive treatments with ablation, hepatic resection, or liver transplantation only occurred in a very limited number of patients in the SOC group. This finding suggests that such a “wait and see” strategy confers a high risk of therapeutic limitation as most patients will not successfully access liver transplantation. Indeed, these patients are considered at baseline in an “intention-to-transplant” context, which usually recommends TACE as first-line therapy. Given the high proportion of dropouts, such patients should instead be treated by ablation using advanced techniques if necessary to ensure first-line curative management, while liver transplantation could be considered as a salvage option in the event of recurrence [26].
Promoting access to expert skills or centers specialized in ablation techniques might improve prognosis in a large subset of HCC patients, who might otherwise suffer from insufficient application of curative procedures, and reduce the treatment and follow-up costs for the Health Insurance. The Bondy strategy was made possible by technical advances in equipment and the organization of referral networks designed to advise physicians on the feasibility of ablation in a timely manner, thus enabling the optimal management for patients from all parts of the region and reducing inequality regarding their access to curative options [27].
This study had some weaknesses. One limitation concerns its retrospective design, as this could lead to selection bias without randomization. However, we simulated randomization by performing propensity score matching on a large range of separate confounding factors. Furthermore, the cutting-edge technologies used by these tertiary centers might not be available worldwide (e.g., CBCT virtual target display or IRE), which could hinder the extrapolation of the findings [28]. The role of TARE is still under investigation and does not yet form part of the armamentarium for HCC management with PVTT according to the BCLC classification, although it has proved to produce clinically meaningful response rates and prolonged duration of response in patients with solitary unresectable HCC up to 8 cm [29]. The official social health insurance tariffs applied for ablation procedures in France may underestimate the cost of expensive procedures such as complex multi-bipolar radiofrequency or irreversible electroporation. Although the costs of treatments for liver diseases in France are lower than those in the US [30], the respective proportions between treatment options are generally preserved, which suggests that the monetary benefit might be higher for US payers. The net health benefit would be proportional to the current uptake of percutaneous ablation in the country.
4. Materials and Methods
4.1. Patient Selection
Consecutive cases of HCC, with no prior HCC treatment, diagnosed between 1st January 2012 and 1st February 2016 at the three centers were included. These expert centers treat one-sixth of all in-patients for HCC in France (13,701 incidence of HCC which received a curative or palliative treatment during the 2009–2012 period in mainland France) [30]. They maintain a prospective database of HCC patients (Ark-Dos) and hold weekly HCC multidisciplinary boards attended by hepatologists, oncologists, interventional radiologists, hepatobiliary specialists, and liver transplant surgeons. Only patients with cirrhosis (defined by typical clinical and radiological criteria with or without histological criteria) at the time of the HCC diagnosis were included in the present analyses. The diagnosis of HCC was based on either histological findings or AASLD imaging criteria [31,32]. Portal hypertension was based on gastroesophageal varices, splenomegaly with a platelet count lower than 100,000/mL, ascites, or hepatic venous pressure gradients above 10 mmHg when available. Patient follow-up was recorded until death or the last available clinical information. Patients with extra-hepatic metastases, histological evidence of cholangiocarcinoma, and decompensated cirrhosis classified as Child C were excluded. All of the patients treated at Jean Verdier Hospital, where the extended use of percutaneous ablation is routinely performed, were included in the Bondy group. The so-called “extended use of percutaneous ablation” for the Bondy groups refers to its leading strategy consisting of maximizing the usage ablation in HCC patients within well-admitted indications of the very early and early stages of BCLC by reducing as much as possible the technical contraindications which commonly lead to the application of migration stage principles (i.e., small tumor in dangerous locations or poorly visible using classic guidance imaging means); and in a subset of more advanced stages commonly referred to TACE or systemic treatment (Figure 1). This strategy has been enabled by the continuous efforts of the group for over more than twenty years of involvement in the management of HCC in order to assimilate several advanced techniques and technologies for ablations and imaging guidance into routine practice [13,14,15,16,27,33,34,35,36,37,38,39]. All of the patients treated at Beaujon and Henri Mondor Hospitals were included in the Standard of Care (SOC) group. Because this study was based on an analysis of existing administrative and clinical data, the requirement to obtain informed patient consent was waived by the Institutional Review Board.
4.2. Outcome
Overall survival was defined as the interval between initiation of the first treatment and the patient’s death or most recent follow-up visit.
4.3. Model Structure
A Markov-based model was developed to extrapolate the short and long-term results. The model described the management of cirrhotic patients with non-metastatic HCC (the Markov structure, underlying assumptions, and calibration are presented in the Supplementary Materials). Four Markov models were therefore built to describe care pathways and outcomes of resection, ablation, TACE, and Sorafenib. After one of the four initial treatments, consecutive therapies could be managed by curative options (salvage transplantation, resection, or ablation) or palliative options (TACE, TARE, and Sorafenib). Multimodal therapies were also considered in the model structure (i.e., ablation with TACE). HCC patients awaiting liver transplantation and treated with a bridge or down-staging therapies prior to liver transplantation were also included. TARE and Sorafenib were grouped together. Deaths from both hepatic and non-hepatic causes were the absorbing state. Health states were common to both groups, and the probabilities of a transition between health states were derived from the Bondy and SOC groups [40]. Patient-level data were used to fit overall survival curves [41]. Survival functions (i.e., Weibull, exponential, and Gompertz) were tested, and the best fit was determined using the lower Bayesian Information Criterion. An exponential distribution was therefore employed. The cycle duration was three months to capture sufficient clinical events. The model was run on a life-time horizon (20 years).
4.4. Health Costs
All of the nationally-based direct medical costs of liver resection, percutaneous ablation, liver transplantation, intra-arterial embolization, and Sorafenib treatments were estimated from the perspective of French Health Insurance and were similar in both groups [42]. The data associated with inpatient care were extracted from the discharge summaries using diagnosis-related groups (DRGs) and valued from the national DRG cost study. Pre-operative and follow-up examinations were obtained from the claims databases (Supplementary Materials). The costs of Sorafenib and other medications were obtained from the list prices (red book). The costs were valued in euros, with U.S. dollars (USD) in parentheses (EUR 1 = USD 1.10; 27 May 2020). Outcomes and costs were both discounted at 3% annually to reflect time preference (Table 3).
Table 3.
Input parameters values, distribution, and boundaries for probabilistic sensitivity analyses.
4.5. Cost-Effectiveness Analysis
The economic evaluation estimated costs and life-years gained in the Bondy and SOC groups using the Markov model and calculated an Incremental Cost-Effectiveness Ratio (ICER) in Euros per year of life gained. A one-way deterministic analysis was performed to assess the impact of the following variables: transition probabilities, start age, discount rate, and costs. Probabilistic sensitivity analyses using 1000 Monte Carlo simulations were performed to obtain mean incremental costs and effects with confidence intervals and to evaluate the uncertainty in building cost-effectiveness planes. Gamma distribution was used for cost variables and beta and lognormal distributions for efficacy variables (Supplementary Materials). This report was written in accordance with CHEERS guidelines [43].
4.6. Statistical Analysis
The continuous variables were analyzed using the Mann–Whitney and Student tests according to the normality of distributions. Categorical variables were subject to the χ2 test or Fisher’s exact test. In order to compare patients with similar clinical characteristics and prognostic factors in both groups, a one-to-one nearest neighbor propensity score matching procedure with no replacement using an optimal algorithm [44] was performed on the following parameters: age, gender, co-morbidity index, cause of cirrhosis, Child–Pugh score, portal hypertension, alpha-foetoprotein (AFP) level, vascular invasion, number of nodules, size of the largest nodule, and bilobar involvement (Supplementary Materials). A multiple imputation inference method was developed to deal with the missing values [45]. Deaths from any causes were used to calculate the overall survival (OS). The Kaplan–Meier product-limit method was used to plot time to overall survival outcomes, and the comparisons between the curves were performed with the log-rank test. All of the analyzes were conducted using the SAS software application (version 9.4: SAS Institute, Cary, NC, USA). A p-value of less than 0.05 was considered to be statistically significant. One thousand Monte Carlo simulations were performed using @Risk Copyright © 2020 Palisade Corporation.
Nationally-based direct medical costs of HCC treatment from French Insurance and for a 3-month cycle were used to define the health state cost mode (fixed value). TACE, trans-arterial chemoembolization.
5. Conclusions
This large multicenter study indicates that it is more effective and less expensive to offer cirrhotic patients with HCC an extended use of ablation treatments than a non-extended use of ablation strategy, particularly at the earlier stages of the disease. The shift from curative to palliative treatments was noted in a considerable percentage of patients mainly according to the migration stage principle, which, therefore, needs to be redefined as the wide choice of ablation techniques and technical advances in imaging guidance increase the curative options available to treat a maximum of patients with HCC.
Supplementary Materials
The following supporting information can be downloaded at: https://www.mdpi.com/article/10.3390/cancers14112634/s1, Figure S1: Simplified state transition model illustrating the progression of the disease and possible interventions; Figure S2: Markov model of cirrhotic patient with HCC treated by hepatic resection in first-line strategy; Figure S3: Markov model of cirrhotic patient with HCC treated by ablation in first-line strategy; Figure S4: Markov model of cirrhotic patient with HCC treated by TACE in first-line strategy; Figure S5: Markov model of cirrhotic patient with HCC treated by Sorafenib in first-line strategy; Figure S6: Model calibration by first-line treatments in the (A) Bondy and the (B) SOC group; Figure S7: Balance assessment on the covariates after propensity score matching; Figure S8: Results of the deterministic univariate analysis; Table S1: Transition probabilities of cirrhotic patient with HCC treated by hepatic resection in first-line strategy; Table S2: Transition probabilities of cirrhotic patient with HCC treated by ablation in first-line strategy; Table S3: Transition probabilities of cirrhotic patient with HCC treated by TACE in first-line strategy; Table S4: Transition probabilities of cirrhotic patient with HCC treated by Sorafenib in first-line strategy; Table S5: Characteristics of variables including in the model used for propensity score; Table S6: Costs of in-patient HCC treatment from PMSI; Table S7: Costs of pre-operative examinations; Table S8: Direct medical costs of out-patient HCC treatment; Table S9: Costs of follow-up surveillance after curative or palliative treatment; Table S10: Costs of in-patient follow-up (care after liver transplantation, palliative care) from PMSI; Table S11: Direct medical costs of HCC management from French Insurance; Table S12: Results of the cost-effectiveness analyses, by first-line treatment on a 5-year horizon.
Author Contributions
Guarantors of integrity of entire study, T.R., J.B., P.N., I.D.-Z., O.S. (Olivier Seror); study concepts/study design or data acquisition or data analysis/interpretation, T.R., J.B., P.N., I.D.-Z., O.S. (Olivier Seror), V.V., M.B., A.L. (Alain Luciani), H.K., S.M., V.T., A.L. (Alexis Laurent), O.S. (Olivier Soubrane), G.A., H.R., J.-C.N.; manuscript drafting or manuscript revision for important intellectual content, T.R., J.B., P.N., I.D.-Z., O.S. (Olivier Seror), V.V., M.B., A.L. (Alain Luciani), H.K., S.M., V.T., A.L. (Alexis Laurent), O.S. (Olivier Soubrane), G.A., H.R., J.-C.N.; manuscript final version approval, T.R., J.B., P.N., I.D.-Z., O.S. (Olivier Seror), V.V., M.B., A.L. (Alain Luciani), H.K., S.M., V.T., A.L. (Alexis Laurent), O.S. (Olivier Soubrane), G.A., H.R., J.-C.N.; agrees to ensure any questions related to the work are appropriately resolved, T.R., J.B., P.N., I.D.-Z., O.S. (Olivier Seror), V.V., M.B., A.L. (Alain Luciani), H.K., S.M., V.T., A.L. (Alexis Laurent), O.S. (Olivier Soubrane), G.A., H.R., J.-C.N.; literature research, T.R., P.N., I.D.-Z., O.S. (Olivier Seror); clinical studies, T.R., P.N., I.D.-Z., O.S. (Olivier Seror); statistical analysis, T.R., P.N., I.D.-Z., O.S. (Olivier Seror); and manuscript editing, T.R., P.N., I.D.-Z., O.S. (Olivier Seror). All authors have read and agreed to the published version of the manuscript.
Funding
This work was supported by the French Radiology Society (Grant Research 2017, N° 20170712).
Institutional Review Board Statement
The study was conducted according to the guidelines of the Declaration of Helsinki, and approved by the Institutional Review Board (or Ethics Committee) of Jean Verdier Hospital (JVR-1019-300 on 15 April 2017).
Informed Consent Statement
The study complied with the principles of the declaration of Helsinki. Because this study was based on an analysis of existing administrative and clinical data, the requirement to obtain informed patient consent was waived by the Institutional Review Board.
Data Availability Statement
The data presented in this study are available on request from the corresponding author.
Conflicts of Interest
These authors disclose the following: Olivier Seror received personal fees and nonfinancial support from Bayer, Ipsen and General Electric as a consultant. Pierre Nahon received honoraria from AbbVie, Bayer, Bristol-Myers Squibb, and Gilead; consults for AbbVie and Bristol-Myers Squibb. Isabelle Durand-Zaleski received honoraria from AbbVie, Bayer, Bristol-Myers Squibb, MSD, Takeda, Medtronic and Boston scientific. The remaining authors disclose no conflict.
References
- Llovet, J.M.; Brú, C.; Bruix, J. Prognosis of Hepatocellular Carcinoma: The BCLC staging classification. Semin. Liver Dis. 1999, 19, 329–338. [Google Scholar] [CrossRef] [PubMed]
- Schwartz, M.; Roayaie, S.; Konstadoulakis, M. Strategies for the management of hepatocellular carcinoma. Nat. Clin. Pr. Oncol. 2007, 4, 424–432. [Google Scholar] [CrossRef] [PubMed]
- Mazzaferro, V.; Regalia, E.; Doci, R.; Andreola, S.; Pulvirenti, A.; Bozzetti, F.; Montalto, F.; Ammatuna, M.; Morabito, A.; Gennari, L. Liver transplantation for the treatment of small hepatocellular carcinomas in patients with cirrhosis. N. Engl. J. Med. 1996, 334, 693–699. [Google Scholar] [CrossRef] [PubMed]
- Yao, F.Y.; Bass, N.M.; Nikolai, B.; Merriman, R.; Davern, T.J.; Kerlan, R.; Ascher, N.L.; Roberts, J.P. A follow-up analysis of the pattern and predictors of dropout from the waiting list for liver transplantation in patients with hepatocellular carcinoma: Implications for the current organ allocation policy. Liver Transpl. 2003, 9, 684–692. [Google Scholar] [CrossRef] [PubMed]
- Cherqui, D.; Laurent, A.; Mocellin, N.; Tayar, C.; Luciani, A.; Van Nhieu, J.T.; Decaens, T.; Hurtova, M.; Memeo, R.; Mallat, A.; et al. Liver resection for transplantable hepatocellular carcinoma: Long-term survival and role of secondary liver transplantation. Ann. Surg. 2009, 250, 738–746. [Google Scholar] [CrossRef]
- Varela, M.; Sala, M.; Llovet, J.M.; Bruix, J. Treatment of hepatocellular carcinoma: Is there an optimal strategy? Cancer Treat. Rev. 2003, 29, 99–104. [Google Scholar] [CrossRef]
- Nahon, P.; Layese, R.; Bourcier, V.; Cagnot, C.; Marcellin, P.; Guyader, D.; Pol, S.; Larrey, D.; De Lédinghen, V.; Ouzan, D.; et al. Incidence of hepatocellular carcinoma after direct antiviral therapy for HCV in patients with cirrhosis included in surveillance programs. Gastroenterology 2018, 155, 1436–1450.e6. [Google Scholar] [CrossRef] [Green Version]
- Ganne-Carrié, N.; Chaffaut, C.; Bourcier, V.; Archambeaud, I.; Perarnau, J.-M.; Oberti, F.; Roulot, D.; Moreno, C.; Louvet, A.; Dao, T.; et al. Estimate of hepatocellular carcinoma incidence in patients with alcoholic cirrhosis. J. Hepatol. 2018, 69, 1274–1283. [Google Scholar] [CrossRef]
- Forner, A.; Reig, M.E.; de Lope, C.R.; Bruix, J. Current strategy for staging and treatment: The BCLC update and future prospects. Semin. Liver Dis. 2010, 30, 61–74. [Google Scholar] [CrossRef]
- Leoni, S.; Piscaglia, F.; Serio, I.; Terzi, E.; Pettinari, I.; Croci, L.; Marinelli, S.; Benevento, F.; Golfieri, R.; Bolondi, L. Adherence to AASLD guidelines for the treatment of hepatocellular carcinoma in clinical practice: Experience of the Bologna liver oncology group. Dig. Liver Dis. 2014, 46, 549–555. [Google Scholar] [CrossRef]
- Kikuchi, L.; Chagas, A.L.; Alencar, R.S.S.M.; Tani, C.; Diniz, M.A.; D’Albuquerque, L.A.C.; Carrilho, F.J. Adherence to BCLC recommendations for the treatment of hepatocellular carcinoma: Impact on survival according to stage. Clinics 2017, 72, 454–460. [Google Scholar] [CrossRef]
- Reig, M.; Forner, A.; Rimola, J.; Ferrer-Fàbrega, J.; Burrel, M.; Garcia-Criado, Á.; Kelley, R.K.; Galle, P.R.; Mazzaferro, V.; Salem, R.; et al. BCLC strategy for prognosis prediction and treatment recommendation: The 2022 update. J. Hepatol. 2022, 76, 681–693. [Google Scholar] [CrossRef]
- Sutter, O.; Calvo, J.; N’Kontchou, G.; Nault, J.-C.; Ourabia, R.; Nahon, P.; Ganne-Carrié, N.; Bourcier, V.; Zentar, N.; Bouhafs, F.; et al. Safety and efficacy of irreversible electroporation for the treatment of hepatocellular carcinoma not amenable to thermal ablation techniques: A retrospective single-center case series. Radiology 2017, 284, 877–886. [Google Scholar] [CrossRef]
- N’Kontchou, G.; Nault, J.-C.; Sutter, O.; Bourcier, V.; Coderc, E.; Grando, V.; Nahon, P.; Ganne-Carrié, N.; Diallo, A.; Sellier, N.; et al. Multibipolar radiofrequency ablation for the treatment of mass-forming and infiltrative hepatocellular carcinomas > 5 Cm: Long-term results. Liver Cancer 2019, 8, 172–185. [Google Scholar] [CrossRef]
- Seror, O.; N’Kontchou, G.; Haddar, D.; Dordea, M.; Ajavon, Y.; Ganne, N.; Trinchet, J.C.; Beaugrand, M.; Sellier, N. Large infiltrative hepatocellular carcinomas: Treatment with percutaneous intraarterial ethanol injection alone or in combination with conventional percutaneous ethanol injection. Radiology 2005, 234, 299–309. [Google Scholar] [CrossRef]
- Blaise, L.; Pereira, H.; Vilgrain, V.; Sutter, O.; Gigante, E.; Walter, A.; Ganne-Carrié, N.; Nahon, P.; Bouattour, M.; Dioguardi Burgio, M.; et al. Percutaneous ablation for locally advanced hepatocellular carcinoma with tumor portal invasion. Clin. Res. Hepatol. Gastroenterol. 2021, 45, 101731. [Google Scholar] [CrossRef]
- Song, K.D.; Lee, M.W.; Rhim, H.; Kang, T.W.; Cha, D.I.; Sinn, D.H.; Lim, H.K. Percutaneous US/MRI fusion-guided radiofrequency ablation for recurrent subcentimeter hepatocellular carcinoma: Technical feasibility and therapeutic outcomes. Radiology 2018, 288, 878–886. [Google Scholar] [CrossRef]
- Kondo, Y.; Yoshida, H.; Shiina, S.; Tateishi, R.; Teratani, T.; Omata, M. Artificial ascites technique for percutaneous radiofrequency ablation of liver cancer adjacent to the gastrointestinal tract. Br. J. Surg. 2006, 93, 1277–1282. [Google Scholar] [CrossRef]
- Nault, J.-C.; Sutter, O.; Nahon, P.; Ganne-Carrié, N.; Séror, O. Percutaneous treatment of hepatocellular carcinoma: State of the art and innovations. J. Hepatol. 2018, 68, 783–797. [Google Scholar] [CrossRef] [Green Version]
- Nahon, P.; Vibert, E.; Nault, J.-C.; Ganne-Carrié, N.; Ziol, M.; Seror, O. Optimizing curative management of hepatocellular carcinoma. Liver Int. 2020, 40, 109–115. [Google Scholar] [CrossRef] [Green Version]
- Cadier, B.; Bulsei, J.; Nahon, P.; Seror, O.; Laurent, A.; Rosa, I.; Layese, R.; Costentin, C.; Cagnot, C.; Durand-Zaleski, I.; et al. Early detection and curative treatment of hepatocellular carcinoma: A cost-effectiveness analysis in France and in the United States. Hepatology 2017, 65, 1237–1248. [Google Scholar] [CrossRef] [PubMed] [Green Version]
- Park, J.-W.; Chen, M.; Colombo, M.; Roberts, L.R.; Schwartz, M.; Chen, P.-J.; Kudo, M.; Johnson, P.; Wagner, S.; Orsini, L.S.; et al. Global patterns of hepatocellular carcinoma management from diagnosis to death: The BRIDGE study. Liver Int. 2015, 35, 2155–2166. [Google Scholar] [CrossRef] [PubMed] [Green Version]
- Roberts, S.K.; Gazzola, A.; Lubel, J.; Gow, P.; Bell, S.; Nicoll, A.; Dev, A.; Fink, M.A.; Sood, S.; Knight, V.; et al. Treatment choice for early-stage hepatocellular carcinoma in real-world practice: Impact of treatment stage migration to transarterial chemoembolization and treatment response on survival. Scand. J. Gastroenterol. 2018, 53, 1368–1375. [Google Scholar] [CrossRef]
- Ho, E.Y.; Cozen, M.L.; Shen, H.; Lerrigo, R.; Trimble, E.; Ryan, J.C.; Corvera, C.U.; Monto, A.; HOVAS Group. Expanded use of aggressive therapies improves survival in early and intermediate hepatocellular carcinoma. HPB 2014, 16, 758–767. [Google Scholar] [CrossRef] [PubMed] [Green Version]
- Mohnike, K.; Steffen, I.G.; Seidensticker, M.; Hass, P.; Damm, R.; Peters, N.; Seidensticker, R.; Schütte, K.; Arend, J.; Bornschein, J.; et al. Radioablation by image-guided (HDR) brachytherapy and transarterial chemoembolization in hepatocellular carcinoma: A randomized phase II trial. Cardiovasc. Intervent. Radiol. 2019, 42, 239–249. [Google Scholar] [CrossRef] [PubMed]
- N’Kontchou, G.; Aout, M.; Laurent, A.; Nahon, P.; Ganne-Carrié, N.; Grando, V.; Baghad, I.; Roulot, D.; Trinchet, J.C.; Sellier, N.; et al. Survival after radiofrequency ablation and salvage transplantation in patients with hepatocellular carcinoma and child-pugh A cirrhosis. J. Hepatol. 2012, 56, 160–166. [Google Scholar] [CrossRef] [PubMed]
- Sutter, O.; Fihri, A.; Ourabia-Belkacem, R.; Sellier, N.; Diallo, A.; Seror, O. Real-time 3D virtual target fluoroscopic display for challenging hepatocellular carcinoma ablations using cone beam CT. Technol. Cancer Res. Treat. 2018, 17, 1533033818789634. [Google Scholar] [CrossRef]
- Kim, K.M.; Sinn, D.H.; Jung, S.-H.; Gwak, G.-Y.; Paik, Y.-H.; Choi, M.S.; Lee, J.H.; Koh, K.C.; Paik, S.W. The recommended treatment algorithms of the BCLC and HKLC staging systems: Does following these always improve survival rates for HCC patients? Liver Int. 2016, 36, 1490–1497. [Google Scholar] [CrossRef]
- Salem, R.; Johnson, G.E.; Kim, E.; Riaz, A.; Bishay, V.; Boucher, E.; Fowers, K.; Lewandowski, R.; Padia, S.A. Yttrium-90 radioembolization for the treatment of solitary, unresectable HCC: The LEGACY study. Hepatology 2021, 74, 2342–2352. [Google Scholar] [CrossRef]
- Goutté, N.; Sogni, P.; Bendersky, N.; Barbare, J.C.; Falissard, B.; Farges, O. Geographical variations in incidence, management and survival of hepatocellular carcinoma in a western country. J. Hepatol. 2017, 66, 537–544. [Google Scholar] [CrossRef] [Green Version]
- Bruix, J.; Sherman, M. Management of hepatocellular carcinoma: An update. Hepatology 2011, 53, 1020–1022. [Google Scholar] [CrossRef]
- European association for the study of the liver; european organisation for research and treatment of cancer EASL-EORTC clinical practice guidelines: Management of hepatocellular carcinoma. J. Hepatol. 2012, 56, 908–943. [CrossRef] [Green Version]
- Petit, A.; Hocquelet, A.; N’kontchou, G.; Varin, E.; Sellier, N.; Seror, O.; Sutter, O. No-touch multi-bipolar radiofrequency ablation for the treatment of subcapsular hepatocellular carcinoma ≤ 5 Cm not puncturable via the non-tumorous liver parenchyma. Cardiovasc Intervent. Radiol. 2020, 43, 273–283. [Google Scholar] [CrossRef] [PubMed]
- Loriaud, A.; Denys, A.; Seror, O.; Vietti Violi, N.; Digklia, A.; Duran, R.; Trillaud, H.; Hocquelet, A. Hepatocellular carcinoma abutting large vessels: Comparison of four percutaneous ablation systems. Int. J. Hyperth. 2018, 34, 1171–1178. [Google Scholar] [CrossRef]
- Hocquelet, A.; Aubé, C.; Rode, A.; Cartier, V.; Sutter, O.; Manichon, A.F.; Boursier, J.; N’kontchou, G.; Merle, P.; Blanc, J.-F.; et al. Comparison of no-touch multi-Bipolar vs. monopolar radiofrequency ablation for small HCC. J. Hepatol. 2017, 66, 67–74. [Google Scholar] [CrossRef]
- Seror, O.; N’Kontchou, G.; Nault, J.-C.; Rabahi, Y.; Nahon, P.; Ganne-Carrié, N.; Grando, V.; Zentar, N.; Beaugrand, M.; Trinchet, J.-C.; et al. Hepatocellular carcinoma within Milan criteria: No-touch multibipolar radiofrequency ablation for treatment-long-term results. Radiology 2016, 280, 611–621. [Google Scholar] [CrossRef]
- Nault, J.-C.; Nkontchou, G.; Nahon, P.; Grando, V.; Bourcier, V.; Barge, S.; Ziol, M.; Sellier, N.; Ganne-Carrie, N.; Seror, O. Percutaneous treatment of localized infiltrative hepatocellular carcinoma developing on cirrhosis. Ann. Surg. Oncol. 2016, 23, 1906–1915. [Google Scholar] [CrossRef] [PubMed]
- Seror, O.; N’Kontchou, G.; Ibraheem, M.; Ajavon, Y.; Barrucand, C.; Ganne, N.; Coderc, E.; Trinchet, J.C.; Beaugrand, M.; Sellier, N. Large (>or = 5.0-Cm) HCCs: Multipolar RF ablation with three internally cooled bipolar electrodes—Initial experience in 26 patients. Radiology 2008, 248, 288–296. [Google Scholar] [CrossRef]
- Seror, O.; Haddar, D.; N’Kontchou, G.; Ajavon, Y.; Trinchet, J.-C.; Beaugrand, M.; Sellier, N. Radiofrequency ablation for the treatment of liver tumors in the caudate lobe. J. Vasc. Interv. Radiol. 2005, 16, 981–990. [Google Scholar] [CrossRef]
- Sonnenberg, F.A.; Beck, J.R. Markov Models in Medical Decision Making: A practical guide. Med. Decis. Mak. 1993, 13, 322–338. [Google Scholar] [CrossRef]
- Welton, N.J.; Ades, A.E. Estimation of Markov chain transition probabilities and rates from fully and partially observed data: Uncertainty propagation, evidence synthesis, and model calibration. Med. Decis. Mak. 2005, 25, 633–645. [Google Scholar] [CrossRef] [PubMed]
- ATIH: Agence technique de l’information Sur l’hospitalisation. Available online: https://www.atih.sante.fr/ (accessed on 15 May 2021).
- Husereau, D.; Drummond, M.; Petrou, S.; Carswell, C.; Moher, D.; Greenberg, D.; Augustovski, F.; Briggs, A.H.; Mauskopf, J.; Loder, E.; et al. Consolidated health economic evaluation reporting standards (CHEERS) statement. BMJ 2013, 346, f1049. [Google Scholar] [CrossRef] [PubMed] [Green Version]
- Murphy, B.; Fraeman, K. A General SAS® Macro to Implement Optimal N:1 Propensity Score Matching within a Maximum Radius. Available online: https://support.sas.com/resources/papers/proceedings17/0812-2017.pdf (accessed on 13 July 2021).
- Sterne, J.A.C.; White, I.R.; Carlin, J.B.; Spratt, M.; Royston, P.; Kenward, M.G.; Wood, A.M.; Carpenter, J.R. Multiple imputation for missing data in epidemiological and clinical research: Potential and pitfalls. BMJ 2009, 338, b2393. [Google Scholar] [CrossRef] [PubMed]
Publisher’s Note: MDPI stays neutral with regard to jurisdictional claims in published maps and institutional affiliations. |
© 2022 by the authors. Licensee MDPI, Basel, Switzerland. This article is an open access article distributed under the terms and conditions of the Creative Commons Attribution (CC BY) license (https://creativecommons.org/licenses/by/4.0/).






