Adjuvant Hormonotherapy and Cardiovascular Risk in Post-Menopausal Women with Breast Cancer: A Large Population-Based Cohort Study
Abstract
Simple Summary
Abstract
1. Introduction
2. Materials and Methods
2.1. Data Source and Target Population
2.2. Exposure Definition
2.3. Outcome Ascertainment
2.4. Additional Measurements
2.5. Data Analyses
3. Results
3.1. Study Cohort
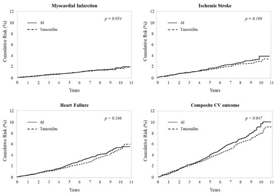
3.2. Composite CV Outcome
3.3. Myocardial Infarction
3.4. Ischemic Stroke
3.5. Heart Failure
3.6. Heart Failure According with CV Risk Factors
4. Discussion
5. Conclusions
Supplementary Materials
Author Contributions
Funding
Institutional Review Board Statement
Informed Consent Statement
Data Availability Statement
Conflicts of Interest
References
- Early Breast Cancer Trialists’ Collaborative Group (EBCTCG). Effects of chemotherapy and hormonal therapy for early breast cancer on recurrence and 15-year survival: An overview of the randomised trials. Lancet 2005, 365, 1687–1717. [Google Scholar] [CrossRef]
- Dowsett, M.; Cuzick, J.; Ingle, J.; Coates, A.; Forbes, J.; Bliss, J.; Buyse, M.; Baum, M.; Buzdar, A.; Colleoni, M.; et al. Meta-analysis of breast cancer outcomes in adjuvant trials of aromatase inhibitors versus tamoxifen. J. Clin. Oncol. 2010, 28, 509–518. [Google Scholar] [CrossRef]
- Early Breast Cancer Trialists’ Collaborative Group (EBCTCG). Aromatase inhibitors versus tamoxifen in early breast cancer: Patient-level meta-analysis of the randomised trials. Lancet 2015, 386, 1341–1352. [Google Scholar] [CrossRef]
- Foglietta, J.; Inno, A.; de Iuliis, F.; Sini, V.; Duranti, S.; Turazza, M.; Tarantini, L.; Gori, S. Cardiotoxicity of Aromatase Inhibitors in Breast Cancer Patients. Clin. Breast Cancer 2017, 17, 11–17. [Google Scholar] [CrossRef] [PubMed]
- Amir, E.; Seruga, B.; Niraula, S.; Carlsson, L.; Ocaña, A. Toxicity of adjuvant endocrine therapy in postmenopausal breast cancer patients: A systematic review and meta-analysis. J. Natl. Cancer Inst. 2011, 103, 1299–1309. [Google Scholar] [CrossRef]
- Khosrow-Khavar, F.; Filion, K.B.; Al-Qurashi, S.; Torabi, N.; Bouganim, N.; Suissa, S.; Azoulay, L. Cardiotoxicity of aromatase inhibitors and tamoxifen in postmenopausal women with breast cancer: A systematic review and meta-analysis of randomized controlled trials. Ann. Oncol. 2017, 28, 487–496. [Google Scholar] [CrossRef]
- Abdel-Qadir, H.; Amir, E.; Fischer, H.D.; Fu, L.; Austin, P.C.; Harvey, P.J.; Rochon, P.A.; Lee, D.S.; Anderson, G.M. The risk of myocardial infarction with aromatase inhibitors relative to tamoxifen in post-menopausal women with early stage breast cancer. Eur. J. Cancer 2016, 68, 11–21. [Google Scholar] [CrossRef] [PubMed]
- Khosrow-Khavar, F.; Filion, K.B.; Bouganim, N.; Suissa, S.; Azoulay, L. Aromatase Inhibitors and the Risk of Cardiovascular Outcomes in Women with Breast Cancer: A Population-Based Cohort Study. Circulation 2020, 141, 549–559. [Google Scholar] [CrossRef]
- Haque, R.; Shi, J.; Schottinger, J.E.; Chung, J.; Avila, C.; Amundsen, B.; Xu, X.; Barac, A.; Chlebowski, R.T. Cardiovascular Disease After Aromatase Inhibitor Use. JAMA Oncol. 2016, 2, 1590–1597. [Google Scholar] [CrossRef]
- Ligibel, J.A.; James O’Malley, A.; Fisher, M.; Daniel, G.W.; Winer, E.P.; Keating, N.L. Risk of myocardial infarction, stroke, and fracture in a cohort of community-based breast cancer patients. Breast Cancer Res. Treat. 2012, 131, 589–597. [Google Scholar] [CrossRef] [PubMed]
- Kamaraju, S.; Shi, Y.; Smith, E.; Nattinger, A.B.; Laud, P.; Neuner, J. Are aromatase inhibitors associated with higher myocardial infarction risk in breast cancer patients? A Medicare population-based study. Clin. Cardiol. 2019, 42, 93–100. [Google Scholar] [CrossRef] [PubMed]
- Franchi, M.; Garau, D.; Kirchmayer, U.; Di Martino, M.; Romero, M.; De Carlo, I.; Scondotto, S.; Corrao, G. Effectiveness and Costs Associated to Adding Cetuximab or Bevacizumab to Chemotherapy as Initial Treatment in Metastatic Colorectal Cancer: Results from the Observational FABIO Project. Cancers 2020, 12, 839. [Google Scholar] [CrossRef]
- Austin, P.C. Using the Standardized Difference to Compare the Prevalence of a Binary Variable between Two Groups in Observational Research. Commun. Stat. Simul. Comput. 2009, 38, 1228–1234. [Google Scholar] [CrossRef]
- Estève, J.; Benhamou, E.; Raymond, L. Statistical methods in cancer research. Volume IV. Descriptive epidemiology. IARC Sci. Publ. 1994, 128, 1–302. [Google Scholar]
- Haukoos, J.S.; Lewis, R.J. The propensity score. JAMA 2015, 314, 1637–1638. [Google Scholar] [CrossRef]
- Robins, J.M.; Finkelstein, D.M. Correcting for noncompliance and dependent censoring in an AIDS Clinical Trial with inverse probability of censoring weighted (IPCW) log-rank tests. Biometrics 2000, 56, 779–788. [Google Scholar] [CrossRef]
- Xiao, Y.; Moodie, E.M.; Abrahamowicz, M. Comparison of Approaches to Weight Truncation for Marginal Structural Cox Models. Epidemiol. Methods 2013, 2, 1–20. [Google Scholar] [CrossRef]
- Firth, J.M.; Yang, H.Y.; Francis, A.J.; Islam, N.; MacLeod, K.T. The Effect of Estrogen on Intracellular Ca2+ and Na+ Regulation in Heart Failure. Basic Transl. Sci. 2020, 5, 901–912. [Google Scholar] [CrossRef]
- Haines, C.D.; Harvey, P.A.; Leinwand, L.A. Estrogens mediate cardiac hypertrophy in a stimulus dependent manner. Endocrinology 2012, 153, 4480–4490. [Google Scholar] [CrossRef] [PubMed]
- Dworatzek, E.; Baczko, I.; Kararigas, G. Effects of aging on cardiac extracellular matrix in men and women. Proteom. Clin. Appl. 2016, 10, 84–91. [Google Scholar] [CrossRef] [PubMed]
- Sabbatini, A.R.; Kararigas, G. Menopause-Related Estrogen Decrease and the Pathogenesis of HFpEF: JACC Review Topic of the Week. J. Am. Coll. Cardiol. 2020, 75, 1074–1082. [Google Scholar] [CrossRef]
- Grey, A.B.; Stapleton, J.P.; Evans, M.C.; Reid, I.R. The effect of the anti-estrogen tamoxifen on cardiovascular risk factors in normal postmenopausal women. J. Clin. Endocrinol. Metab. 1995, 80, 3191–3195. [Google Scholar] [PubMed]
- Love, R.R.; Wiebe, D.A.; Feyzi, J.M.; Newcomb, P.A.; Chappell, R.J. Effects of tamoxifen on cardiovascular risk factors in postmenopausal women after 5 years of treatment. J. Natl. Cancer Inst. 1994, 86, 1534–1539. [Google Scholar] [CrossRef] [PubMed]
- Luo, T.; Kim, J.K. The Role of Estrogen and Estrogen Receptors on Cardiomyocytes: An Overview. Can. J. Cardiol. 2016, 32, 1017–1025. [Google Scholar] [CrossRef] [PubMed]
- Jacobse, J.N.; Schaapveld, M.; Boekel, N.B.; Hooning, M.J.; Jager, A.; Baaijens, M.H.A.; Hauptmann, M.; Russell, N.S.; Rutgers, E.J.T.; Aleman, B.M.P.; et al. Risk of heart failure after systemic treatment for early breast cancer: Results of a cohort study. Breast Cancer Res. Treat. 2021, 185, 205–214. [Google Scholar] [CrossRef]
- Hamood, R.; Hamood, H.; Merhasin, I.; Keinan-Boker, L. Diabetes after Hormone Therapy in Breast Cancer Survivors: A Case-Cohort Study. J. Clin. Oncol. 2018, 36, 2061–2069. [Google Scholar] [CrossRef]
- Gibb, F.W.; Dixon, J.M.; Clarke, C.; Homer, N.Z.; Faqehi, A.M.M.; Andrew, R.; Walker, B.R. Higher Insulin Resistance and Adiposity in Postmenopausal Women With Breast Cancer Treated With Aromatase Inhibitors. J. Clin. Endocrinol. Metab. 2019, 104, 3670–3678. [Google Scholar] [CrossRef] [PubMed]
- Copeland, K.T.; Checkoway, H.; McMichael, A.J.; Holbrook, R.H. Bias due to misclassification in the estimation of relative risk. Am. J. Epidemiol. 1977, 105, 488–495. [Google Scholar] [CrossRef]
- Lagakos, S.W. General right censoring and its impact on the analysis of survival data. Biometrics 1979, 35, 139–156. [Google Scholar] [CrossRef]
- Cozzolino, F.; Montedori, A.; Abraha, I.; Eusebi, P.; Grisci, C.; Heymann, A.J.; Lombardo, G.; Mengoni, A.; Orso, M.; Ambrosio, G. A diagnostic accuracy study validating cardiovascular ICD-9-CM codes in healthcare administrative databases. The Umbria Data-Value Project. PLoS ONE 2019, 14, e0218919. [Google Scholar] [CrossRef]



| Characteristic | Original Cohort | Propensity Score Matched Cohort | Weighted Cohort ¥ | ||||||
|---|---|---|---|---|---|---|---|---|---|
| AI 26,009 | T 7937 | SD | AI 7881 | T 7881 | SD | AI | T | SD | |
| Age, y | |||||||||
| 50–60 | 21.4 | 44.2 | 0.50 | 44.3 | 44.3 | 0.00 | 24.0 | 32.1 | 0.18 |
| 60–70 | 36.4 | 24.4 | 0.26 | 24.4 | 24.4 | 0.00 | 37.2 | 24.2 | 0.28 |
| ≥70 | 42.2 | 31.4 | 0.23 | 31.3 | 31.3 | 0.00 | 38.8 | 43.8 | 0.10 |
| Drug use | |||||||||
| Statins | 21.8 | 14.9 | 0.18 | 13.4 | 15.0 | 0.05 | 20.5 | 19.5 | 0.03 |
| Anticoagulants | 3.7 | 1.3 | 0.15 | 1.4 | 1.3 | 0.01 | 3.2 | 2.2 | 0.06 |
| Antidepressants | 16.2 | 15.3 | 0.02 | 16.4 | 15.3 | 0.03 | 16.1 | 16.8 | 0.02 |
| Antidiabetic | 9.9 | 6.0 | 0.14 | 5.5 | 5.9 | 0.02 | 9.2 | 8.4 | 0.03 |
| Antihypertensive | 57.7 | 44.5 | 0.27 | 42.7 | 44.5 | 0.04 | 55.3 | 54.3 | 0.02 |
| Antithrombotic | 17.7 | 12.3 | 0.15 | 13.7 | 12.3 | 0.04 | 16.7 | 16.5 | 0.01 |
| Bisphosphonates | 5.3 | 6.5 | 0.05 | 5.4 | 6.0 | 0.03 | 5.6 | 6.3 | 0.03 |
| NSAIDs | 40.5 | 37.0 | 0.07 | 36.8 | 36.9 | 0.00 | 40.1 | 41.0 | 0.02 |
| Opioids | 18.2 | 15.7 | 0.07 | 16.4 | 15.7 | 0.02 | 17.8 | 18.0 | 0.01 |
| HRT | 5.0 | 4.7 | 0.01 | 4.1 | 4.8 | 0.03 | 5.0 | 5.2 | 0.01 |
| Comorbidities | |||||||||
| Peripheral vascular disease | 0.1 | 0.1 | 0.00 | 0.1 | 0.1 | 0.00 | 0.1 | 0.1 | 0.00 |
| Venous thromboembolism | 0.1 | 0.0 | 0.04 | 0.1 | 0.0 | 0.04 | 0.1 | 0.1 | 0.00 |
| COPD | 0.1 | 0.1 | 0.00 | 0.0 | 0.1 | 0.04 | 0.1 | 0.1 | 0.00 |
| Chronic kidney disease | 0.3 | 0.2 | 0.02 | 0.4 | 0.2 | 0.04 | 0.3 | 0.3 | 0.00 |
| Breast-cancer-related procedure | |||||||||
| Chemotherapy | 17.2 | 9.4 | 0.23 | 9.4 | 9.4 | 0.00 | 15.9 | 13.0 | 0.08 |
| Radiotherapy | 44.1 | 44.9 | 0.02 | 44.3 | 45.0 | 0.01 | 44.3 | 42.5 | 0.04 |
| Outcome | Aromatase Inhibitors | Tamoxifen | p§ | ||||
|---|---|---|---|---|---|---|---|
| No. of Events | Person-Years | Incidence Rate ¥ (95% CI) | No. of Events | Person-Years | Incidence Rate ¥ (95% CI) | ||
| Composite CV outcome | 473 | 52,359 | 9.03 (8.22–9.85) | 428 | 53,767 | 7.96 (7.21–8.71) | 0.029 |
| Myocardial infarction | 89 | 53,344 | 1.67 (1.32–2.02) | 92 | 54,520 | 1.69 (1.34–2.03) | 0.470 |
| Ischemic stroke | 182 | 53,073 | 3.43 (2.93–3.93) | 163 | 54,385 | 3.00 (2.54–3.46) | 0.106 |
| Heart failure | 266 | 53,029 | 5.02 (4.41–5.62) | 243 | 54,355 | 4.47 (3.91–5.03) | 0.097 |
| Analysis | ITT | As-Treated | IPCW ¥ |
|---|---|---|---|
| Outcome | HR (95% CI) | HR (95% CI) | HR § (95% CI) |
| Composite CV outcome | 1.14 (1.00–1.30) | 1.07 (0.92–1.24) | 1.14 (1.00–1.29) |
| Myocardial infarction | 0.99 (0.74–1.33) | 1.03 (0.74–1.44) | 0.97 (0.74–1.28) |
| Ischemic stroke | 1.15 (0.93–1.42) | 1.06 (0.83–1.35) | 1.07 (0.87–1.31) |
| Heart failure | 1.13 (0.95–1.35) | 1.03 (0.85–1.25) | 1.20 (1.02–1.42) |
Publisher’s Note: MDPI stays neutral with regard to jurisdictional claims in published maps and institutional affiliations. |
© 2021 by the authors. Licensee MDPI, Basel, Switzerland. This article is an open access article distributed under the terms and conditions of the Creative Commons Attribution (CC BY) license (https://creativecommons.org/licenses/by/4.0/).
Share and Cite
Franchi, M.; Tritto, R.; Tarantini, L.; Navazio, A.; Corrao, G. Adjuvant Hormonotherapy and Cardiovascular Risk in Post-Menopausal Women with Breast Cancer: A Large Population-Based Cohort Study. Cancers 2021, 13, 2254. https://doi.org/10.3390/cancers13092254
Franchi M, Tritto R, Tarantini L, Navazio A, Corrao G. Adjuvant Hormonotherapy and Cardiovascular Risk in Post-Menopausal Women with Breast Cancer: A Large Population-Based Cohort Study. Cancers. 2021; 13(9):2254. https://doi.org/10.3390/cancers13092254
Chicago/Turabian StyleFranchi, Matteo, Roberta Tritto, Luigi Tarantini, Alessandro Navazio, and Giovanni Corrao. 2021. "Adjuvant Hormonotherapy and Cardiovascular Risk in Post-Menopausal Women with Breast Cancer: A Large Population-Based Cohort Study" Cancers 13, no. 9: 2254. https://doi.org/10.3390/cancers13092254
APA StyleFranchi, M., Tritto, R., Tarantini, L., Navazio, A., & Corrao, G. (2021). Adjuvant Hormonotherapy and Cardiovascular Risk in Post-Menopausal Women with Breast Cancer: A Large Population-Based Cohort Study. Cancers, 13(9), 2254. https://doi.org/10.3390/cancers13092254

