Granulocyte Colony Stimulating Factor Expression in Breast Cancer and Its Association with Carbonic Anhydrase IX and Immune Checkpoints
Abstract
Simple Summary
Abstract
1. Introduction
2. Materials and Methods
2.1. Study Cohorts
2.2. Tissue Microarrays and Immunohistochemistry
2.3. Statistical Analysis
3. Results
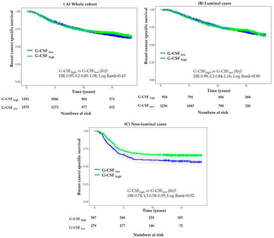
3.1. Correlation of G-CSF Expression with Clinicopathological Features and Survival
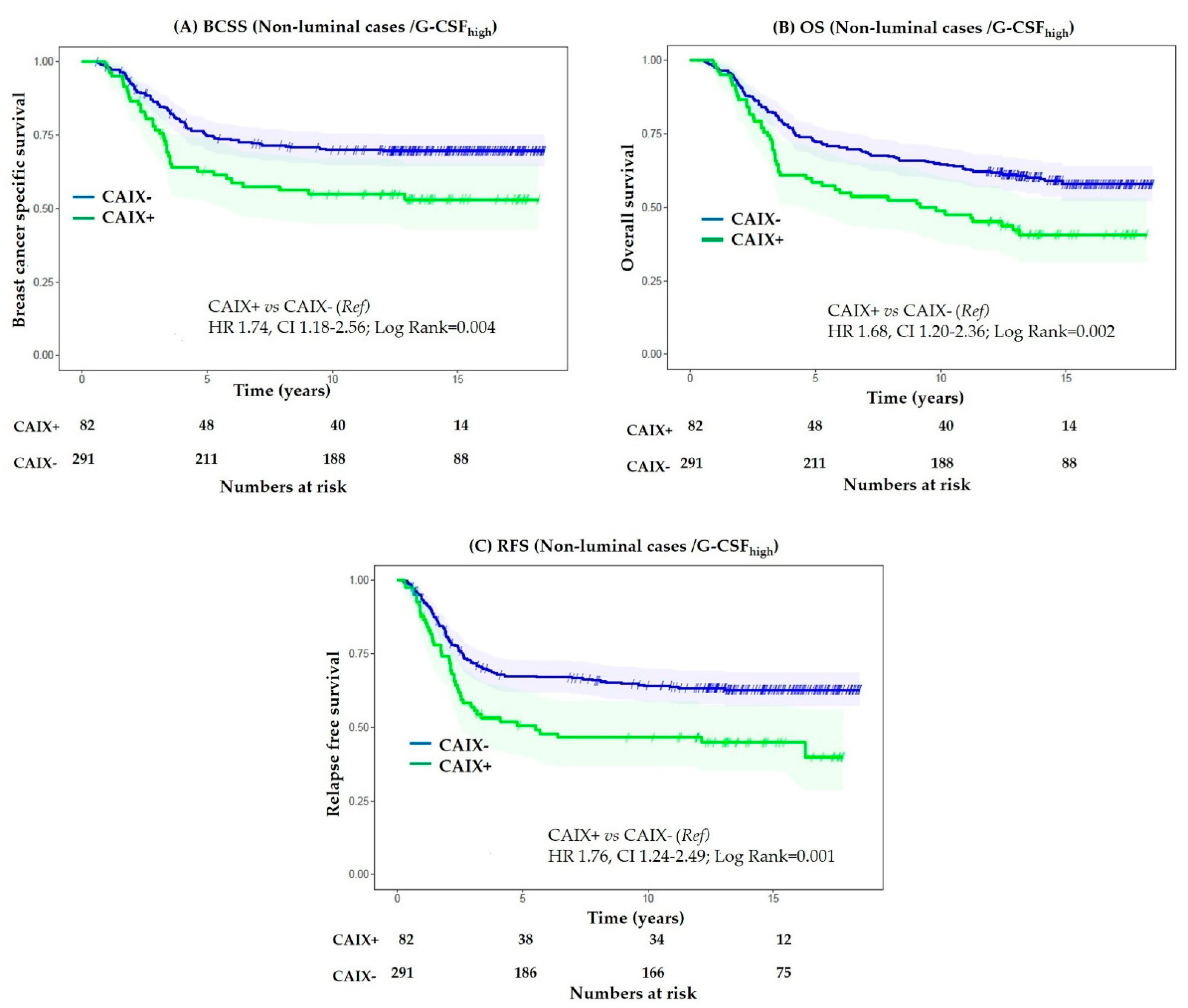
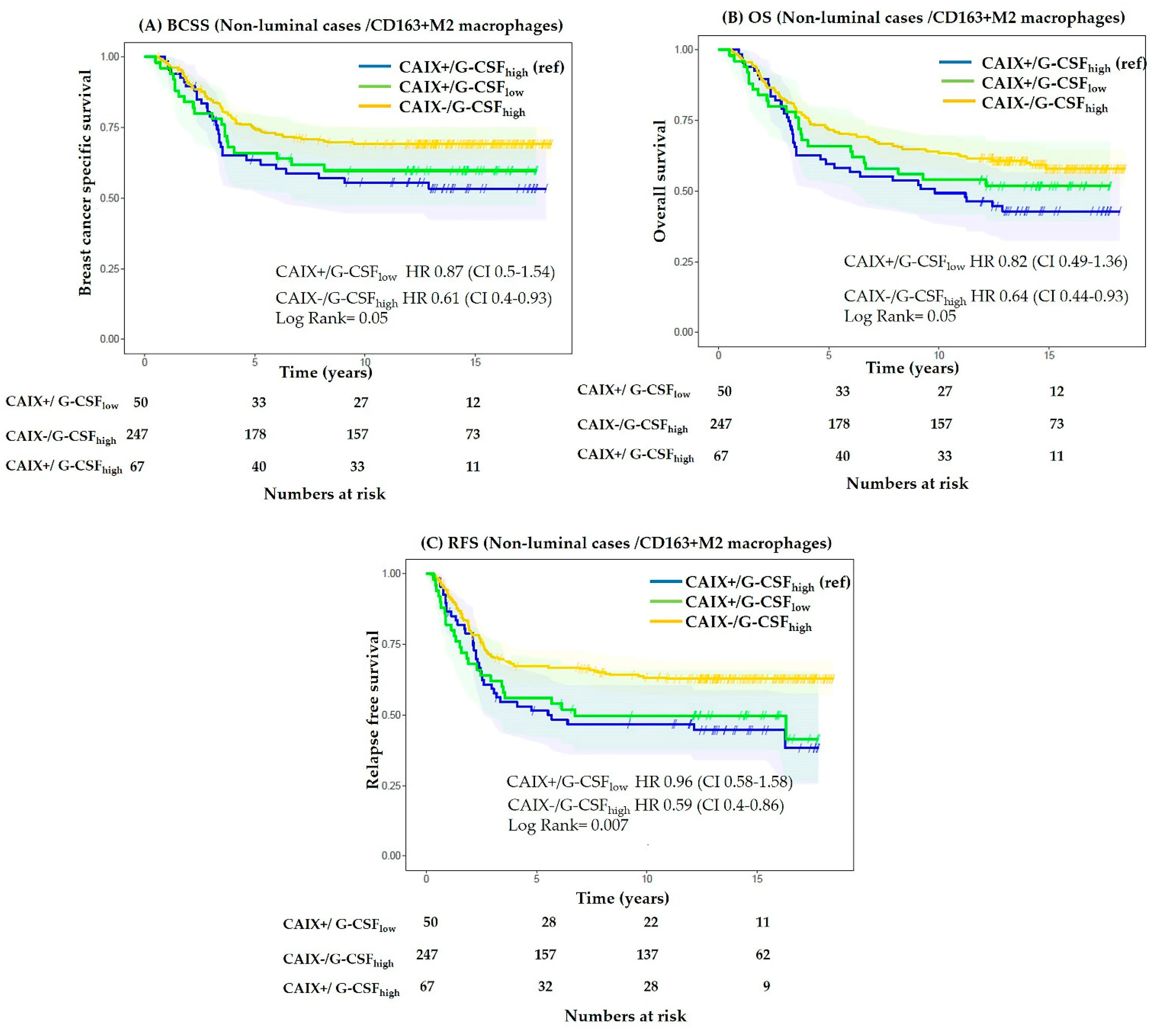
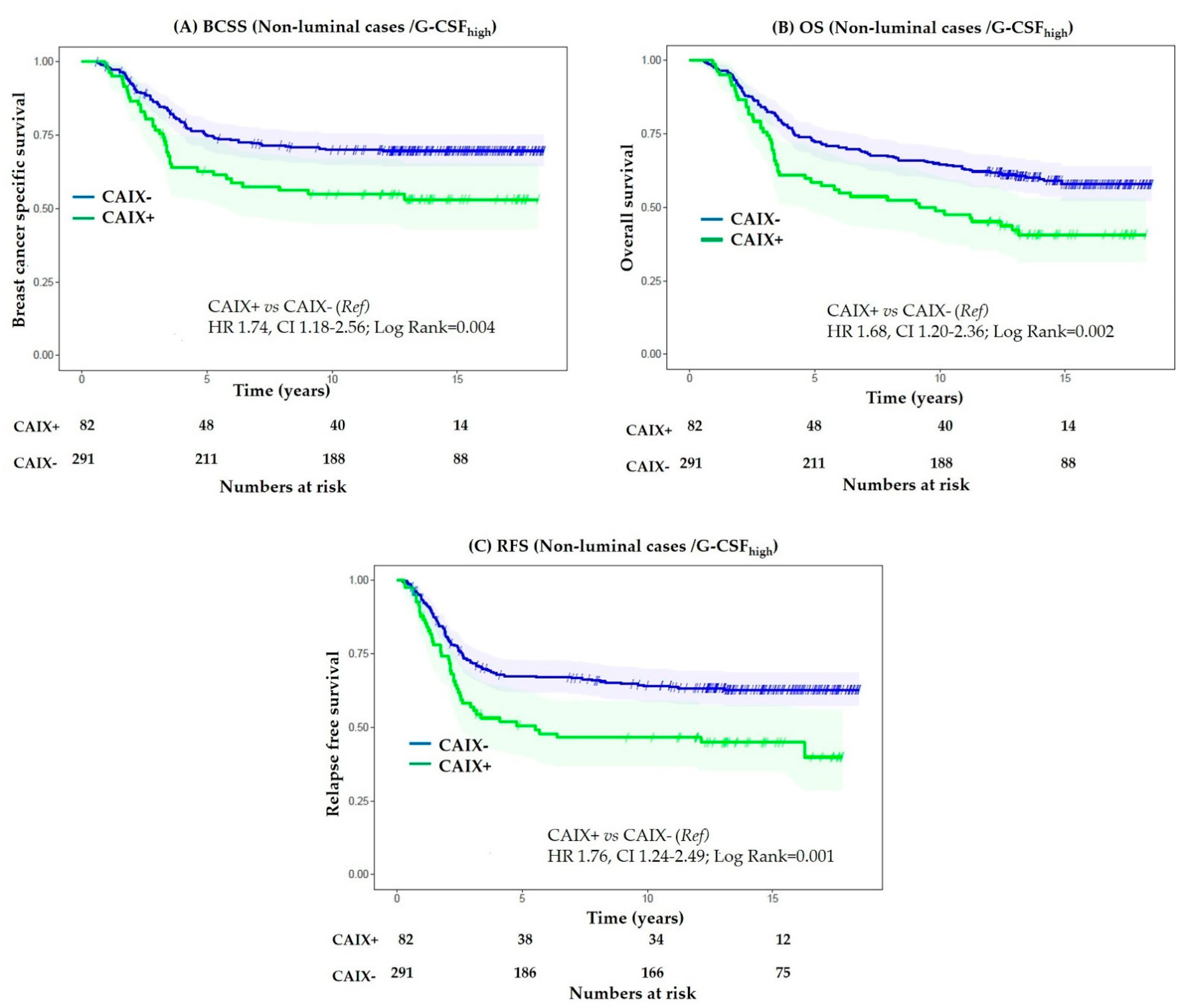
3.2. Correlation and Prognostic Significance of G-CSF and CAIX with CD163+ M2 Macrophages and Immune Biomarkers
4. Discussion
5. Conclusions
Supplementary Materials
Author Contributions
Funding
Institutional Review Board Statement
Informed Consent Statement
Data Availability Statement
Conflicts of Interest
References
- Hareng, L.; Hartung, T. Induction and regulation of endogenous granulocyte colony-stimulating factor formation. Biol. Chem. 2002, 383, 1501–1517. [Google Scholar] [CrossRef] [PubMed]
- Edelsberg, J.; Weycker, D.; Bensink, M.; Bowers, C.; Lyman, G.H. Prophylaxis of febrile neutropenia with colony-stimulating factors: The first 25 years. Curr. Med. Res. Opin. 2020, 36, 483–495. [Google Scholar] [CrossRef]
- Coffelt, S.B.; Kersten, K.; Doornebal, C.W.; Weiden, J.; Vrijland, K.; Hau, C.S.; Verstegen, N.J.M.; Ciampricotti, M.; Hawinkels, L.; Jonkers, J.; et al. IL-17-producing gammadelta T cells and neutrophils conspire to promote breast cancer metastasis. Nature 2015, 522, 345–348. [Google Scholar] [CrossRef] [PubMed]
- Wellenstein, M.D.; Coffelt, S.B.; Duits, D.E.M.; van Miltenburg, M.H.; Slagter, M.; de Rink, I.; Henneman, L.; Kas, S.M.; Prekovic, S.; Hau, C.S.; et al. Loss of p53 triggers WNT-dependent systemic inflammation to drive breast cancer metastasis. Nature 2019, 572, 538–542. [Google Scholar] [CrossRef]
- Kumar, J.; Fraser, F.W.; Riley, C.; Ahmed, N.; McCulloch, D.R.; Ward, A.C. Granulocyte colony-stimulating factor receptor signalling via Janus kinase 2/signal transducer and activator of transcription 3 in ovarian cancer. Br. J. Cancer 2014, 110, 133–145. [Google Scholar] [CrossRef]
- Chakraborty, A.; Guha, S. Granulocyte colony-stimulating factor/granulocyte colony-stimulating factor receptor biological axis promotes survival and growth of bladder cancer cells. Urology 2007, 69, 1210–1215. [Google Scholar] [CrossRef]
- Morris, K.T.; Khan, H.; Ahmad, A.; Weston, L.L.; Nofchissey, R.A.; Pinchuk, I.V.; Beswick, E.J. G-CSF and G-CSFR are highly expressed in human gastric and colon cancers and promote carcinoma cell proliferation and migration. Br. J. Cancer 2014, 110, 1211–1220. [Google Scholar] [CrossRef]
- Dobrenis, K.; Gauthier, L.R.; Barroca, V.; Magnon, C. Granulocyte colony-stimulating factor off-target effect on nerve outgrowth promotes prostate cancer development. Int. J. Cancer 2015, 136, 982–988. [Google Scholar] [CrossRef]
- Phan, V.T.; Wu, X.; Cheng, J.H.; Sheng, R.X.; Chung, A.S.; Zhuang, G.; Tran, C.; Song, Q.; Kowanetz, M.; Sambrone, A.; et al. Oncogenic RAS pathway activation promotes resistance to anti-VEGF therapy through G-CSF-induced neutrophil recruitment. Proc. Natl. Acad. Sci. USA 2013, 110, 6079–6084. [Google Scholar] [CrossRef] [PubMed]
- Gutschalk, C.M.; Herold-Mende, C.C.; Fusenig, N.E.; Mueller, M.M. Granulocyte colony-stimulating factor and granulocyte-macrophage colony-stimulating factor promote malignant growth of cells from head and neck squamous cell carcinomas in vivo. Cancer Res. 2006, 66, 8026–8036. [Google Scholar] [CrossRef]
- Liu, L.; Wu, Y.; Zhang, C.; Zhou, C.; Li, Y.; Zeng, Y.; Zhang, C.; Li, R.; Luo, D.; Wang, L.; et al. Cancer-associated adipocytes-derived G-CSF promotes breast cancer malignancy via Stat3 signaling. J. Mol. Cell Biol. 2020. [Google Scholar] [CrossRef]
- Pickup, M.W.; Owens, P.; Gorska, A.E.; Chytil, A.; Ye, F.; Shi, C.; Weaver, V.M.; Kalluri, R.; Moses, H.L.; Novitskiy, S.V. Development of Aggressive Pancreatic Ductal Adenocarcinomas Depends on Granulocyte Colony Stimulating Factor Secretion in Carcinoma Cells. Cancer Immunol. Res. 2017, 5, 718–729. [Google Scholar] [CrossRef] [PubMed]
- Gabrilovich, D.I.; Ostrand-Rosenberg, S.; Bronte, V. Coordinated regulation of myeloid cells by tumours. Nat. Rev. Immunol. 2012, 12, 253–268. [Google Scholar] [CrossRef]
- Liu, Z.; Zhu, Y.; Wang, Y.; Fu, Q.; Fu, H.; Wang, Z.; Zhang, J.; Li, G.; Xu, J.; Dai, B. Prognostic value of granulocyte colony-stimulating factor in patients with non-metastatic clear cell renal cell carcinoma. Oncotarget 2017, 8, 69961–69971. [Google Scholar] [CrossRef] [PubMed]
- Kawano, M.; Mabuchi, S.; Matsumoto, Y.; Sasano, T.; Takahashi, R.; Kuroda, H.; Kozasa, K.; Hashimoto, K.; Isobe, A.; Sawada, K.; et al. The significance of G-CSF expression and myeloid-derived suppressor cells in the chemoresistance of uterine cervical cancer. Sci. Rep. 2015, 5, 18217. [Google Scholar] [CrossRef]
- Vito, A.; El-Sayes, N.; Mossman, K. Hypoxia-Driven Immune Escape in the Tumor Microenvironment. Cells 2020, 9, 992. [Google Scholar] [CrossRef]
- Hanahan, D.; Weinberg, R.A. Hallmarks of cancer: The next generation. Cell 2011, 144, 646–674. [Google Scholar] [CrossRef] [PubMed]
- Alterio, V.; Hilvo, M.; Di Fiore, A.; Supuran, C.T.; Pan, P.; Parkkila, S.; Scaloni, A.; Pastorek, J.; Pastorekova, S.; Pedone, C.; et al. Crystal structure of the catalytic domain of the tumor-associated human carbonic anhydrase IX. Proc. Natl. Acad. Sci. USA 2009, 106, 16233–16238. [Google Scholar] [CrossRef] [PubMed]
- Lou, Y.; McDonald, P.C.; Oloumi, A.; Chia, S.; Ostlund, C.; Ahmadi, A.; Kyle, A.; Auf dem Keller, U.; Leung, S.; Huntsman, D.; et al. Targeting tumor hypoxia: Suppression of breast tumor growth and metastasis by novel carbonic anhydrase IX inhibitors. Cancer Res. 2011, 71, 3364–3376. [Google Scholar] [CrossRef]
- Hussain, S.A.; Ganesan, R.; Reynolds, G.; Gross, L.; Stevens, A.; Pastorek, J.; Murray, P.G.; Perunovic, B.; Anwar, M.S.; Billingham, L.; et al. Hypoxia-regulated carbonic anhydrase IX expression is associated with poor survival in patients with invasive breast cancer. Br. J. Cancer 2007, 96, 104–109. [Google Scholar] [CrossRef]
- Chia, S.K.; Wykoff, C.C.; Watson, P.H.; Han, C.; Leek, R.D.; Pastorek, J.; Gatter, K.C.; Ratcliffe, P.; Harris, A.L. Prognostic significance of a novel hypoxia-regulated marker, carbonic anhydrase IX, in invasive breast carcinoma. J. Clin. Oncol. 2001, 19, 3660–3668. [Google Scholar] [CrossRef] [PubMed]
- Chafe, S.C.; Lou, Y.; Sceneay, J.; Vallejo, M.; Hamilton, M.J.; McDonald, P.C.; Bennewith, K.L.; Moller, A.; Dedhar, S. Carbonic anhydrase IX promotes myeloid-derived suppressor cell mobilization and establishment of a metastatic niche by stimulating G-CSF production. Cancer Res. 2015, 75, 996–1008. [Google Scholar] [CrossRef] [PubMed]
- Chafe, S.C.; McDonald, P.C.; Saberi, S.; Nemirovsky, O.; Venkateswaran, G.; Burugu, S.; Gao, D.; Delaidelli, A.; Kyle, A.H.; Baker, J.H.E.; et al. Targeting Hypoxia-Induced Carbonic Anhydrase IX Enhances Immune-Checkpoint Blockade Locally and Systemically. Cancer Immunol. Res. 2019, 7, 1064–1078. [Google Scholar] [CrossRef]
- Noman, M.Z.; Hasmim, M.; Messai, Y.; Terry, S.; Kieda, C.; Janji, B.; Chouaib, S. Hypoxia: A key player in antitumor immune response. A Review in the Theme: Cellular Responses to Hypoxia. Am. J. Physiol. Cell Physiol. 2015, 309, C569–C579. [Google Scholar] [CrossRef]
- Jeong, H.; Kim, S.; Hong, B.J.; Lee, C.J.; Kim, Y.E.; Bok, S.; Oh, J.M.; Gwak, S.H.; Yoo, M.Y.; Lee, M.S.; et al. Tumor-Associated Macrophages Enhance Tumor Hypoxia and Aerobic Glycolysis. Cancer Res. 2019, 79, 795–806. [Google Scholar] [CrossRef] [PubMed]
- Chaturvedi, P.; Gilkes, D.M.; Takano, N.; Semenza, G.L. Hypoxia-inducible factor-dependent signaling between triple-negative breast cancer cells and mesenchymal stem cells promotes macrophage recruitment. Proc. Natl. Acad. Sci. USA 2014, 111, E2120–E2129. [Google Scholar] [CrossRef]
- Qiu, S.Q.; Waaijer, S.J.H.; Zwager, M.C.; de Vries, E.G.E.; van der Vegt, B.; Schroder, C.P. Tumor-associated macrophages in breast cancer: Innocent bystander or important player? Cancer Treat. Rev. 2018, 70, 178–189. [Google Scholar] [CrossRef]
- Ong, S.M.; Tan, Y.C.; Beretta, O.; Jiang, D.; Yeap, W.H.; Tai, J.J.; Wong, W.C.; Yang, H.; Schwarz, H.; Lim, K.H.; et al. Macrophages in human colorectal cancer are pro-inflammatory and prime T cells towards an anti-tumour type-1 inflammatory response. Eur. J. Immunol. 2012, 42, 89–100. [Google Scholar] [CrossRef] [PubMed]
- Honkanen, T.J.; Tikkanen, A.; Karihtala, P.; Makinen, M.; Vayrynen, J.P.; Koivunen, J.P. Prognostic and predictive role of tumour-associated macrophages in HER2 positive breast cancer. Sci. Rep. 2019, 9, 10961. [Google Scholar] [CrossRef] [PubMed]
- Sousa, S.; Brion, R.; Lintunen, M.; Kronqvist, P.; Sandholm, J.; Monkkonen, J.; Kellokumpu-Lehtinen, P.L.; Lauttia, S.; Tynninen, O.; Joensuu, H.; et al. Human breast cancer cells educate macrophages toward the M2 activation status. Breast Cancer Res. 2015, 17, 101. [Google Scholar] [CrossRef]
- Klingen, T.A.; Chen, Y.; Aas, H.; Wik, E.; Akslen, L.A. Tumor-associated macrophages are strongly related to vascular invasion, non-luminal subtypes, and interval breast cancer. Hum. Pathol. 2017, 69, 72–80. [Google Scholar] [CrossRef]
- Hollmen, M.; Karaman, S.; Schwager, S.; Lisibach, A.; Christiansen, A.J.; Maksimow, M.; Varga, Z.; Jalkanen, S.; Detmar, M. G-CSF regulates macrophage phenotype and associates with poor overall survival in human triple-negative breast cancer. Oncoimmunology 2016, 5, e1115177. [Google Scholar] [CrossRef] [PubMed]
- Colegio, O.R.; Chu, N.Q.; Szabo, A.L.; Chu, T.; Rhebergen, A.M.; Jairam, V.; Cyrus, N.; Brokowski, C.E.; Eisenbarth, S.C.; Phillips, G.M.; et al. Functional polarization of tumour-associated macrophages by tumour-derived lactic acid. Nature 2014, 513, 559–563. [Google Scholar] [CrossRef]
- Bortnik, S.; Choutka, C.; Horlings, H.M.; Leung, S.; Baker, J.H.; Lebovitz, C.; Dragowska, W.H.; Go, N.E.; Bally, M.B.; Minchinton, A.I.; et al. Identification of breast cancer cell subtypes sensitive to ATG4B inhibition. Oncotarget 2016, 7, 66970–66988. [Google Scholar] [CrossRef] [PubMed]
- Chia, S.K.; Speers, C.H.; Bryce, C.J.; Hayes, M.M.; Olivotto, I.A. Ten-year outcomes in a population-based cohort of node-negative, lymphatic, and vascular invasion-negative early breast cancers without adjuvant systemic therapies. J. Clin. Oncol. 2004, 22, 1630–1637. [Google Scholar] [CrossRef] [PubMed]
- Cheang, M.C.; Voduc, D.; Bajdik, C.; Leung, S.; McKinney, S.; Chia, S.K.; Perou, C.M.; Nielsen, T.O. Basal-like breast cancer defined by five biomarkers has superior prognostic value than triple-negative phenotype. Clin. Cancer Res. 2008, 14, 1368–1376. [Google Scholar] [CrossRef]
- Sauerbrei, W.; Taube, S.E.; McShane, L.M.; Cavenagh, M.M.; Altman, D.G. Reporting Recommendations for Tumor Marker Prognostic Studies (REMARK): An Abridged Explanation and Elaboration. J. Natl. Cancer Inst. 2018, 110, 803–811. [Google Scholar] [CrossRef]
- Cheang, M.C.; Treaba, D.O.; Speers, C.H.; Olivotto, I.A.; Bajdik, C.D.; Chia, S.K.; Goldstein, L.C.; Gelmon, K.A.; Huntsman, D.; Gilks, C.B.; et al. Immunohistochemical detection using the new rabbit monoclonal antibody SP1 of estrogen receptor in breast cancer is superior to mouse monoclonal antibody 1D5 in predicting survival. J. Clin. Oncol. 2006, 24, 5637–5644. [Google Scholar] [CrossRef]
- Voduc, D.; Kenney, C.; Nielsen, T.O. Tissue microarrays in clinical oncology. Semin. Radiat. Oncol. 2008, 18, 89–97. [Google Scholar] [CrossRef]
- Liu, S.; Lachapelle, J.; Leung, S.; Gao, D.; Foulkes, W.D.; Nielsen, T.O. CD8+ lymphocyte infiltration is an independent favorable prognostic indicator in basal-like breast cancer. Breast Cancer Res. 2012, 14, R48. [Google Scholar] [CrossRef] [PubMed]
- Burugu, S.; Gao, D.; Leung, S.; Chia, S.K.; Nielsen, T.O. TIM-3 expression in breast cancer. Oncoimmunology 2018, 7, e1502128. [Google Scholar] [CrossRef] [PubMed]
- Liu, S.; Foulkes, W.D.; Leung, S.; Gao, D.; Lau, S.; Kos, Z.; Nielsen, T.O. Prognostic significance of FOXP3+ tumor-infiltrating lymphocytes in breast cancer depends on estrogen receptor and human epidermal growth factor receptor-2 expression status and concurrent cytotoxic T-cell infiltration. Breast Cancer Res. 2014, 16, 432. [Google Scholar] [CrossRef]
- Burugu, S.; Gao, D.; Leung, S.; Chia, S.K.; Nielsen, T.O. LAG-3+ tumor infiltrating lymphocytes in breast cancer: Clinical correlates and association with PD-1/PD-L1+ tumors. Ann. Oncol. 2017, 28, 2977–2984. [Google Scholar] [CrossRef] [PubMed]
- Salgado, R.; Denkert, C.; Demaria, S.; Sirtaine, N.; Klauschen, F.; Pruneri, G.; Wienert, S.; Van den Eynden, G.; Baehner, F.L.; Penault-Llorca, F.; et al. The evaluation of tumor-infiltrating lymphocytes (TILs) in breast cancer: Recommendations by an International TILs Working Group 2014. Ann. Oncol. 2015, 26, 259–271. [Google Scholar] [CrossRef]
- Zhu, M.M.T.; Burugu, S.; Gao, D.; Yu, J.; Kos, Z.; Leung, S.; Horst, B.A.; Nielsen, T.O. Evaluation of glucocorticoid-induced TNF receptor (GITR) expression in breast cancer and across multiple tumor types. Mod. Pathol. 2020. [Google Scholar] [CrossRef]
- Lee, C.H.; Espinosa, I.; Vrijaldenhoven, S.; Subramanian, S.; Montgomery, K.D.; Zhu, S.; Marinelli, R.J.; Peterse, J.L.; Poulin, N.; Nielsen, T.O.; et al. Prognostic significance of macrophage infiltration in leiomyosarcomas. Clin. Cancer Res. 2008, 14, 1423–1430. [Google Scholar] [CrossRef]
- Tan, E.Y.; Yan, M.; Campo, L.; Han, C.; Takano, E.; Turley, H.; Candiloro, I.; Pezzella, F.; Gatter, K.C.; Millar, E.K.; et al. The key hypoxia regulated gene CAIX is upregulated in basal-like breast tumours and is associated with resistance to chemotherapy. Br. J. Cancer 2009, 100, 405–411. [Google Scholar] [CrossRef]
- Gatza, M.L.; Kung, H.N.; Blackwell, K.L.; Dewhirst, M.W.; Marks, J.R.; Chi, J.T. Analysis of tumor environmental response and oncogenic pathway activation identifies distinct basal and luminal features in HER2-related breast tumor subtypes. Breast Cancer Res. 2011, 13, R62. [Google Scholar] [CrossRef]
- Zhang, Q.W.; Liu, L.; Gong, C.Y.; Shi, H.S.; Zeng, Y.H.; Wang, X.Z.; Zhao, Y.W.; Wei, Y.Q. Prognostic significance of tumor-associated macrophages in solid tumor: A meta-analysis of the literature. PLoS ONE 2012, 7, e50946. [Google Scholar] [CrossRef]
- Pardoll, D.M. The blockade of immune checkpoints in cancer immunotherapy. Nat. Rev. Cancer 2012, 12, 252–264. [Google Scholar] [CrossRef]
- Yeo, B.; Redfern, A.D.; Mouchemore, K.A.; Hamilton, J.A.; Anderson, R.L. The dark side of granulocyte-colony stimulating factor: A supportive therapy with potential to promote tumour progression. Clin. Exp. Metastasis 2018, 35, 255–267. [Google Scholar] [CrossRef]
- Casbon, A.J.; Reynaud, D.; Park, C.; Khuc, E.; Gan, D.D.; Schepers, K.; Passegue, E.; Werb, Z. Invasive breast cancer reprograms early myeloid differentiation in the bone marrow to generate immunosuppressive neutrophils. Proc. Natl. Acad. Sci. USA 2015, 112, E566–E575. [Google Scholar] [CrossRef] [PubMed]
- Brand, A.; Singer, K.; Koehl, G.E.; Kolitzus, M.; Schoenhammer, G.; Thiel, A.; Matos, C.; Bruss, C.; Klobuch, S.; Peter, K.; et al. LDHA-Associated Lactic Acid Production Blunts Tumor Immunosurveillance by T and NK Cells. Cell Metab. 2016, 24, 657–671. [Google Scholar] [CrossRef] [PubMed]
- Pilon-Thomas, S.; Kodumudi, K.N.; El-Kenawi, A.E.; Russell, S.; Weber, A.M.; Luddy, K.; Damaghi, M.; Wojtkowiak, J.W.; Mule, J.J.; Ibrahim-Hashim, A.; et al. Neutralization of Tumor Acidity Improves Antitumor Responses to Immunotherapy. Cancer Res. 2016, 76, 1381–1390. [Google Scholar] [CrossRef]
- Chang, C.H.; Qiu, J.; O’Sullivan, D.; Buck, M.D.; Noguchi, T.; Curtis, J.D.; Chen, Q.; Gindin, M.; Gubin, M.M.; van der Windt, G.J.; et al. Metabolic Competition in the Tumor Microenvironment Is a Driver of Cancer Progression. Cell 2015, 162, 1229–1241. [Google Scholar] [CrossRef]
- Facciabene, A.; Peng, X.; Hagemann, I.S.; Balint, K.; Barchetti, A.; Wang, L.P.; Gimotty, P.A.; Gilks, C.B.; Lal, P.; Zhang, L.; et al. Tumour hypoxia promotes tolerance and angiogenesis via CCL28 and T(reg) cells. Nature 2011, 475, 226–230. [Google Scholar] [CrossRef]
- Westendorf, A.M.; Skibbe, K.; Adamczyk, A.; Buer, J.; Geffers, R.; Hansen, W.; Pastille, E.; Jendrossek, V. Hypoxia Enhances Immunosuppression by Inhibiting CD4+ Effector T Cell Function and Promoting Treg Activity. Cell Physiol. Biochem. 2017, 41, 1271–1284. [Google Scholar] [CrossRef] [PubMed]
- Barsoum, I.B.; Smallwood, C.A.; Siemens, D.R.; Graham, C.H. A mechanism of hypoxia-mediated escape from adaptive immunity in cancer cells. Cancer Res 2014, 74, 665–674. [Google Scholar] [CrossRef]
- Gide, T.N.; Quek, C.; Menzies, A.M.; Tasker, A.T.; Shang, P.; Holst, J.; Madore, J.; Lim, S.Y.; Velickovic, R.; Wongchenko, M.; et al. Distinct Immune Cell Populations Define Response to Anti-PD-1 Monotherapy and Anti-PD-1/Anti-CTLA-4 Combined Therapy. Cancer Cell 2019, 35, 238–255. [Google Scholar] [CrossRef]
- Biswas, D.K.; Shi, Q.; Baily, S.; Strickland, I.; Ghosh, S.; Pardee, A.B.; Iglehart, J.D. NF-kappa B activation in human breast cancer specimens and its role in cell proliferation and apoptosis. Proc. Natl. Acad. Sci. USA 2004, 101, 10137–10142. [Google Scholar] [CrossRef] [PubMed]
- Bailey, S.T.; Miron, P.L.; Choi, Y.J.; Kochupurakkal, B.; Maulik, G.; Rodig, S.J.; Tian, R.; Foley, K.M.; Bowman, T.; Miron, A.; et al. NF-kappaB activation-induced anti-apoptosis renders HER2-positive cells drug resistant and accelerates tumor growth. Mol. Cancer Res. 2014, 12, 408–420. [Google Scholar] [CrossRef] [PubMed]
- Swierczak, A.; Cook, A.D.; Lenzo, J.C.; Restall, C.M.; Doherty, J.P.; Anderson, R.L.; Hamilton, J.A. The promotion of breast cancer metastasis caused by inhibition of CSF-1R/CSF-1 signaling is blocked by targeting the G-CSF receptor. Cancer Immunol. Res. 2014, 2, 765–776. [Google Scholar] [CrossRef] [PubMed]
- Waight, J.D.; Hu, Q.; Miller, A.; Liu, S.; Abrams, S.I. Tumor-derived G-CSF facilitates neoplastic growth through a granulocytic myeloid-derived suppressor cell-dependent mechanism. PLoS ONE 2011, 6, e27690. [Google Scholar] [CrossRef]
- Kowanetz, M.; Wu, X.; Lee, J.; Tan, M.; Hagenbeek, T.; Qu, X.; Yu, L.; Ross, J.; Korsisaari, N.; Cao, T.; et al. Granulocyte-colony stimulating factor promotes lung metastasis through mobilization of Ly6G+Ly6C+ granulocytes. Proc. Natl. Acad. Sci. USA 2010, 107, 21248–21255. [Google Scholar] [CrossRef]
- Clement-Colmou, K.; Potiron, V.; Pietri, M.; Guillonneau, M.; Jouglar, E.; Chiavassa, S.; Delpon, G.; Paris, F.; Supiot, S. Influence of Radiotherapy Fractionation Schedule on the Tumor Vascular Microenvironment in Prostate and Lung Cancer Models. Cancers 2020, 12, 121. [Google Scholar] [CrossRef]
- Adochite, R.C.; Moshnikova, A.; Carlin, S.D.; Guerrieri, R.A.; Andreev, O.A.; Lewis, J.S.; Reshetnyak, Y.K. Targeting breast tumors with pH (low) insertion peptides. Mol. Pharm. 2014, 11, 2896–2905. [Google Scholar] [CrossRef]
- Fridlender, Z.G.; Sun, J.; Kim, S.; Kapoor, V.; Cheng, G.; Ling, L.; Worthen, G.S.; Albelda, S.M. Polarization of tumor-associated neutrophil phenotype by TGF-beta: “N1” versus “N2” TAN. Cancer Cell 2009, 16, 183–194. [Google Scholar] [CrossRef] [PubMed]
- Hsu, B.E.; Tabaries, S.; Johnson, R.M.; Andrzejewski, S.; Senecal, J.; Lehuede, C.; Annis, M.G.; Ma, E.H.; Vols, S.; Ramsay, L.; et al. Immature Low-Density Neutrophils Exhibit Metabolic Flexibility that Facilitates Breast Cancer Liver Metastasis. Cell Rep. 2019, 27, 3902–3915.e6. [Google Scholar] [CrossRef]
- Schodel, J.; Grampp, S.; Maher, E.R.; Moch, H.; Ratcliffe, P.J.; Russo, P.; Mole, D.R. Hypoxia, Hypoxia-inducible Transcription Factors, and Renal Cancer. Eur. Urol. 2016, 69, 646–657. [Google Scholar] [CrossRef] [PubMed]
- Sourvinos, G.; Miyakis, S.; Liloglou, T.L.; Field, J.K.; Spandidos, D.A. Von Hippel-Lindau tumour suppressor gene is not involved in sporadic human breast cancer. Tumour Biol. 2001, 22, 131–136. [Google Scholar] [CrossRef] [PubMed]
- Höckel, M.; Schlenger, K.; Aral, B.; Mitze, M.; Schäffer, U.; Vaupel, P. Association between Tumor Hypoxia and Malignant Progression in Advanced Cancer of the Uterine Cervix. Cancer Res. 1996, 56, 4509–4515. [Google Scholar]
- Loncaster, J.A.; Harris, A.L.; Davidson, S.E.; Logue, J.P.; Hunter, R.D.; Wycoff, C.C.; Pastorek, J.; Ratcliffe, P.J.; Stratford, I.J.; West, C.M. Carbonic anhydrase (CA IX) expression, a potential new intrinsic marker of hypoxia: Correlations with tumor oxygen measurements and prognosis in locally advanced carcinoma of the cervix. Cancer Res. 2001, 61, 6394–6399. [Google Scholar] [PubMed]
- Park, S.; Kim, E.S.; Noh, D.Y.; Hwang, K.T.; Moon, A. H-Ras-specific upregulation of granulocyte colony-stimulating factor promotes human breast cell invasion via matrix metalloproteinase-2. Cytokine 2011, 55, 126–133. [Google Scholar] [CrossRef] [PubMed]
- Lawicki, S.; Bedkowska, G.E.; Wojtukiewicz, M.; Szmitkowski, M. Hematopoietic cytokines as tumor markers in breast malignancies. A multivariate analysis with ROC curve in breast cancer patients. Adv. Med. Sci. 2013, 58, 207–215. [Google Scholar] [CrossRef]
- Agresti, R.; Triulzi, T.; Sasso, M.; Ghirelli, C.; Aiello, P.; Rybinska, I.; Campiglio, M.; Sfondrini, L.; Tagliabue, E.; Bianchi, F. Wound Healing Fluid Reflects the Inflammatory Nature and Aggressiveness of Breast Tumors. Cells 2019, 8, 181. [Google Scholar] [CrossRef] [PubMed]
- O’Meara, T.; Marczyk, M.; Qing, T.; Yaghoobi, V.; Blenman, K.; Cole, K.; Pelekanou, V.; Rimm, D.L.; Pusztai, L. Immunological Differences Between Immune-Rich Estrogen Receptor–Positive and Immune-Rich Triple-Negative Breast Cancers. JCO Precis. Oncol. 2020, 767–779. [Google Scholar] [CrossRef] [PubMed]
- Torhorst, J.; Bucher, C.; Kononen, J.; Haas, P.; Zuber, M.; Kochli, O.R.; Mross, F.; Dieterich, H.; Moch, H.; Mihatsch, M.; et al. Tissue microarrays for rapid linking of molecular changes to clinical endpoints. Am. J. Pathol. 2001, 159, 2249–2256. [Google Scholar] [CrossRef]
- Kyndi, M.; Sorensen, F.B.; Knudsen, H.; Overgaard, M.; Nielsen, H.M.; Andersen, J.; Overgaard, J. Tissue microarrays compared with whole sections and biochemical analyses. A subgroup analysis of DBCG 82 b&c. Acta Oncol. 2008, 47, 591–599. [Google Scholar] [CrossRef]





| Clinicopathological Variables | G-CSF Expression | p-Value | |
|---|---|---|---|
| Low (≤1) | High (>1) | ||
| Age at diagnosis | 0.02 | ||
| <50 | 452 (28.7) | 451 (32.6) | |
| ≥50 | 1125 (71.3) | 932 (67.4) | |
| Menstrual status | 0.02 | ||
| Premenopausal | 434 (28.1) | 434 (32) | |
| Postmenopausal | 1111 (71.9) | 922 (68) | |
| Tumour size (cm) | 0.06 | ||
| ≤2 | 784 (50) | 736 (53.4) | |
| >2 | 785 (50) | 641 (46.6) | |
| Tumour grade | 0.92 | ||
| 1 & 2 | 683 (45.5) | 606 (45.3) | |
| 3 | 818 (54.5) | 731 (54.7) | |
| Axillary lymph node status | 0.91 | ||
| Negative | 888 (56.5) | 783 (56.7) | |
| Positive | 684 (43.5) | 598 (43.3) | |
| Lymphovascular invasion | 0.31 | ||
| Negative | 837 (55.5) | 714 (53.6) | |
| Positive | 671 (44.5) | 618 (46.4) | |
| ER expression | <0.001 * | ||
| Negative | 359 (22.8) | 449 (32.5) | |
| Positive | 1213 (77.2) | 932 (67.5) | |
| PR expression | 0.57 | ||
| <1% | 699 (47.1) | 642 (48.2) | |
| ≥1% | 785 (52.9) | 691 (51.8) | |
| HER2 overexpression/amplification | <0.001 * | ||
| Negative | 1392 (90.5) | 1125 (82.6) | |
| Positive | 146 (9.5) | 237 (17.4) | |
| CK5/6 expression | <0.001 * | ||
| Negative | 1301 (93.2) | 1112 (89.2) | |
| Positive | 95 (6.8) | 135 (10.8) | |
| EGFR expression | <0.001 * | ||
| Negative | 1281 (90.3) | 1059 (83.2) | |
| Positive | 137 (9.7) | 214 (16.8) | |
| Ki-67 proliferation index | 0.03 | ||
| <14% | 800 (56.2) | 672 (52) | |
| ≥14% | 624 (43.8) | 621 (48) | |
| CAIX expression | <0.001 * | ||
| Negative | 1271 (86.5) | 1066 (81) | |
| Positive | 199 (13.5) | 250 (19) | |
| CD163+ TAMs | <0.001 * | ||
| Sparse (≤5) | 567 (41.4) | 431 (34) | |
| Moderate (>5 ≤ 25) | 443 (32.4) | 417 (32.9) | |
| Dense (>25) | 359 (26.2) | 419 (33.1) | |
| Treatment | 0.001 * | ||
| No systemic therapy | 659 (41.8) | 594 (43) | |
| Tamoxifen only; no chemotherapy | 536 (34) | 407 (29.4) | |
| Chemotherapy only; no hormonal therapy | 260 (16.5) | 292 (21.1) | |
| Chemotherapy + Tamoxifen | 110 (7) | 88 (6.4) | |
| Others | 12 (0.8) | 2 (0.1) | |
| Breast cancer subtypes (IHC-based) | <0.001 * | ||
| Luminal-NOS | 96 (6.1) | 38 (2.7) | |
| Luminal A | 680 (43.1) | 523 (37.8) | |
| Luminal B | 380 (24.1) | 302 (21.8) | |
| Luminal/HER2+ | 82 (5.2) | 97 (7) | |
| HER2 | 61 (3.9) | 135 (9.8) | |
| Basal | 106 (6.7) | 168 (12.1) | |
| Unassignable | 61 (3.9) | 36 (2.6) | |
| Additional Basal if by TNP | 111 (7) | 84 (6.1) | |
| Variables | G-CSF Expression | p-Value | CAIX Expression | p-Value | ||
|---|---|---|---|---|---|---|
| Low (≤1) | High (>1) | Negative | Positive | |||
| H & E sTIL count (%) | <0.001 | <0.001 | ||||
| <10 | 1244 (85.7) | 1029 (79) | 2539 (83) | 170 (71.4) | ||
| ≥10 | 207 (14.3) | 274 (21) | 520 (17) | 68 (28.6) | ||
| CD8 iTIL count | <0.001 | <0.001 | ||||
| <1 | 1058 (70) | 830 (62) | 2001 (67.9) | 128 (56.1) | ||
| ≥1 | 454 (30) | 508 (38) | 945 (32.1) | 100 (43.9) | ||
| PD-1 iTIL count | <0.001 | <0.001 | ||||
| <1 | 1337 (94.1) | 1161 (88.2) | 2346 (92.4) | 146 (75.6) | ||
| ≥1 | 84 (5.9) | 155 (11.8) | 192 (7.6) | 47 (24.4) | ||
| PDL1+ tumour cells (%) | <0.001 | <0.001 | ||||
| 0 | 1332 (94.2) | 1166 (88.9) | 2367 (92.4) | 150 (79.8) | ||
| ≥1 | 82 (5.8) | 146 (11.1) | 194 (7.6) | 38 (20.2) | ||
| FOXP3 iTIL count | <0.001 | <0.001 | ||||
| <2 | 1087 (71.9) | 831 (61.6) | 1951 (68.4) | 133 (59.9) | ||
| ≥2 | 425 (28.1) | 518 (38.4) | 900 (31.6) | 89 (40.1) | ||
| TIM3 iTIL count | <0.001 | <0.001 | ||||
| <1 | 1360 (90) | 1182 (87.4) | 2453 (89.8) | 165 (79.3) | ||
| ≥1 | 151 (10) | 171 (12.6) | 279 (10.2) | 43 (20.7) | ||
| LAG3 iTIL count | <0.001 | <0.001 | ||||
| <1 | 1297 (91.1) | 1136 (85.9) | 2283 (89.4) | 148 (75.5) | ||
| ≥1 | 126 (8.9) | 186 (14.1) | 271 (10.6) | 48 (24.5) | ||
| CD163+ TAMs | <0.001 | <0.001 | ||||
| Sparse (≤5) | 567 (41.4) | 431 (34) | 1048 (37.8) | 44 (21.1) | ||
| Moderate (>5 ≤ 25) | 443 (32.4) | 417 (32.9) | 907 (32.7) | 64 (30.6) | ||
| Dense (>25) | 359 (26.2) | 419 (33.1) | 820 (29.5) | 101 (48.3) | ||
| Covariates | BCSS | |
|---|---|---|
| Non-Luminal Cases/G-CSFhigh | ||
| HR (95% CI) | p-Value | |
| Age at diagnosis | 0.16 | |
| <50 | 1 | |
| ≥50 | 0.76 (0.52–1.12) | |
| Tumour size (cm) | 0.004 | |
| ≤2 | 1 | |
| >2 | 1.82 (1.22–2.71) | |
| Tumour grade | 0.04 | |
| 1 & 2 | 1 | |
| 3 | 1.80 (1.02–3.17) | |
| Axillary lymph node status | 0.04 | |
| Negative | 1 | |
| Positive | 1.59 (1.03–2.46) | |
| LVI | 0.58 | |
| Negative | 1 | |
| Positive | 1.14 (0.73–1.77) | |
| H & E stromal TILs (%) | 0.001 | |
| <10 | 1 | |
| ≥10 | 0.48 (0.31–0.72) | |
| Age at diagnosis | 0.06 | |
| <50 | 1 | |
| ≥50 | 0.69 (0.48–1.01) | |
| Tumour size (cm) | 0.01 | |
| ≤2 | 1 | |
| >2 | 1.72 (1.17–2.55) | |
| Tumour grade | 0.02 | |
| 1 & 2 | 1 | |
| 3 | 2.06 (1.15–3.70) | |
| Axillary lymph node status | 0.10 | |
| Negative | 1 | |
| Positive | 1.43 (0.93–2.19) | |
| LVI | 0.07 | |
| Negative | 1 | |
| Positive | 1.49 (0.97–2.31) | |
| CD8 iTIL count | 0.01 | |
| <1 | 1 | |
| ≥1 | 0.59 (0.40–0.90) | |
| Age at diagnosis | 0.17 | |
| <50 | 1 | |
| ≥50 | 0.77 (0.52–1.12) | |
| Tumour size (cm) | 0.05 | |
| ≤2 | 1 | |
| >2 | 1.50 (1.01–2.23) | |
| Tumour grade | 0.02 | |
| 1 & 2 | 1 | |
| 3 | 2.03 (1.13–3.64) | |
| Axillary lymph node status | 0.05 | |
| Negative | 1 | |
| Positive | 1.55 (0.99–2.43) | |
| LVI | 0.18 | |
| Negative | 1 | |
| Positive | 1.37 (0.87–2.16) | |
| PD1 iTIL count | <0.001 | |
| <1 | 1 | |
| ≥1 | 0.36 (0.20–0.63) | |
| Age at diagnosis | 0.08 | |
| <50 | 1 | |
| ≥50 | 0.71 (0.49–1.04) | |
| Tumour size (cm) | 0.02 | |
| ≤2 | 1 | |
| >2 | 1.59 (1.08–2.33) | |
| Tumour grade | 0.01 | |
| 1 & 2 | 1 | |
| 3 | 2.13 (1.19–3.83) | |
| Axillary lymph node status | 0.02 | |
| Negative | 1 | |
| Positive | 1.64 (1.08–2.50) | |
| LVI | 0.18 | |
| Negative | 1 | |
| Positive | 1.35 (0.88–2.07) | |
| FOXP3 iTIL count | 0.002 | |
| <2 | 1 | |
| ≥2 | 0.55 (0.37–0.80) | |
| Age at diagnosis | 0.12 | |
| <50 | 1 | |
| ≥50 | 0.75 (0.51–1.08) | |
| Tumour size (cm) | 0.01 | |
| ≤2 | 1 | |
| >2 | 1.67 (1.14–2.46) | |
| Tumour grade | 0.03 | |
| 1 & 2 | 1 | |
| 3 | 1.85 (1.05–3.24) | |
| Axillary lymph node status | 0.04 | |
| Negative | 1 | |
| Positive | 1.57 (1.03–2.40) | |
| LVI | 0.2 | |
| Negative | 1 | |
| Positive | 1.33 (0.86–2.05) | |
| TIM3 iTIL count | 0.01 | |
| <1 | 1 | |
| ≥1 | 0.48 (0.28–0.84) | |
| Age at diagnosis | 0.16 | |
| <50 | 1 | |
| ≥50 | 0.76 (0.52–1.12) | |
| Tumour size (cm) | 0.01 | |
| ≤2 | 1 | |
| >2 | 1.69 (1.14–2.51) | |
| Tumour grade | 0.01 | |
| 1 & 2 | 1 | |
| 3 | 2.09 (1.16–3.75) | |
| Axillary lymph node status | 0.04 | |
| Negative | 1 | |
| Positive | 1.58 (1.02–2.44) | |
| LVI | 0.23 | |
| Negative | 1 | |
| Positive | 1.31 (0.84–2.04) | |
| LAG3 iTIL count | 0.001 | |
| <1 | 1 | |
| ≥1 | 0.45 (0.28–0.73) | |
| Age at diagnosis | 0.05 | |
| <50 | 1 | |
| ≥50 | 0.67 (0.46–0.99) | |
| Tumour size (cm) | 0.01 | |
| ≤2 | 1 | |
| >2 | 1.68 (1.13–2.50) | |
| Tumour grade | 0.03 | |
| 1 & 2 | 1 | |
| 3 | 1.92 (1.07–3.45) | |
| Axillary lymph node status | 0.03 | |
| Negative | 1 | |
| Positive | 1.62 (1.04–2.51) | |
| LVI | 0.27 | |
| Negative | 1 | |
| Positive | 1.29 (0.82–2.01) | |
| PD-L1+ tumour cells (%) | 0.01 | |
| 0 | 1 | |
| ≥1 | 0.46 (0.26–0.83) | |
| Age at diagnosis | 0.79 (0.54–1.15) | 0.21 |
| <50 | ||
| ≥50 | ||
| Tumour size (cm) | 0.01 | |
| ≤2 | 1 | |
| >2 | 1.17 (1.16–2.53) | |
| Tumour grade | 0.04 | |
| 1 & 2 | 1 | |
| 3 | 1.85 (1.03–3.30) | |
| Axillary lymph node status | 0.11 | |
| Negative | 1 | |
| Positive | 1.42 (0.92–2.19) | |
| LVI | 0.15 | |
| Negative | 1 | |
| Positive | 1.39 (0.89–2.16) | |
| CD163+ M2 macrophages | ||
| Sparse | 1 | |
| Moderate | 1.12 (0.63–2.0) | 0.70 |
| Dense | 0.78 (0.44–1.35) | 0.37 |
Publisher’s Note: MDPI stays neutral with regard to jurisdictional claims in published maps and institutional affiliations. |
© 2021 by the authors. Licensee MDPI, Basel, Switzerland. This article is an open access article distributed under the terms and conditions of the Creative Commons Attribution (CC BY) license (http://creativecommons.org/licenses/by/4.0/).
Share and Cite
Chafe, S.C.; Riaz, N.; Burugu, S.; Gao, D.; Leung, S.C.Y.; Lee, A.F.; Lee, C.-H.; Dedhar, S.; Nielsen, T.O. Granulocyte Colony Stimulating Factor Expression in Breast Cancer and Its Association with Carbonic Anhydrase IX and Immune Checkpoints. Cancers 2021, 13, 1022. https://doi.org/10.3390/cancers13051022
Chafe SC, Riaz N, Burugu S, Gao D, Leung SCY, Lee AF, Lee C-H, Dedhar S, Nielsen TO. Granulocyte Colony Stimulating Factor Expression in Breast Cancer and Its Association with Carbonic Anhydrase IX and Immune Checkpoints. Cancers. 2021; 13(5):1022. https://doi.org/10.3390/cancers13051022
Chicago/Turabian StyleChafe, Shawn C., Nazia Riaz, Samantha Burugu, Dongxia Gao, Samuel C. Y. Leung, Anna F. Lee, Cheng-Han Lee, Shoukat Dedhar, and Torsten O. Nielsen. 2021. "Granulocyte Colony Stimulating Factor Expression in Breast Cancer and Its Association with Carbonic Anhydrase IX and Immune Checkpoints" Cancers 13, no. 5: 1022. https://doi.org/10.3390/cancers13051022
APA StyleChafe, S. C., Riaz, N., Burugu, S., Gao, D., Leung, S. C. Y., Lee, A. F., Lee, C.-H., Dedhar, S., & Nielsen, T. O. (2021). Granulocyte Colony Stimulating Factor Expression in Breast Cancer and Its Association with Carbonic Anhydrase IX and Immune Checkpoints. Cancers, 13(5), 1022. https://doi.org/10.3390/cancers13051022

