Safety and Efficacy of Weekly Paclitaxel and Cisplatin Chemotherapy for Ovarian Cancer Patients with Hypersensitivity to Carboplatin
Abstract
Simple Summary
Abstract
1. Introduction
2. Materials and Methods
2.1. Patients and Study Design
2.2. Protocol for wTP
2.3. Severity of Hypersensitivity Reaction
2.4. Statistical Analysis
3. Results
3.1. Patients Characteristics
3.2. Safety
3.3. Relationship between the Severity of Carboplatin Hypersensitivity and the Occurrence of Cisplatin Hypersensitivity
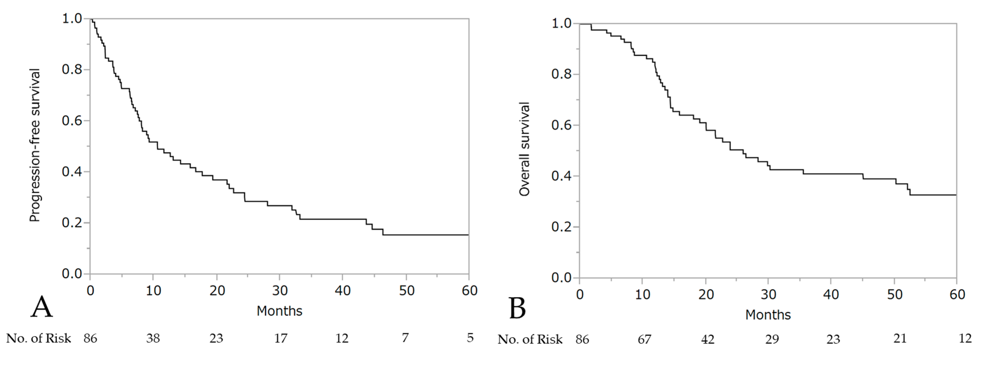
3.4. Efficacy of Treatment
4. Discussion
4.1. Key Findings of This Study
4.2. Safety of wTP
4.3. Efficacy of wTP
4.4. Weekly versus Triweekly Carboplatin in Hypersensitivity Reaction
4.5. Advantages of Weekly Paclitaxel and Cisplatin Chemotherapy
4.6. Strengths and Limitation
5. Conclusions
Author Contributions
Funding
Institutional Review Board Statement
Informed Consent Statement
Conflicts of Interest
Appendix A. Comparison of Survival between Patients with Carboplatin Hypersensitivity Reaction or Not during the Initial Treatment
| Patient Characteristics (Variable) | CBDCA HSR+ (n = 21) | CBDCA HSR− (n = 334) | p-Value | ||
|---|---|---|---|---|---|
| No | % | No | % | ||
| Age (median, years, IQR) | 63 (51–71) | 62 (51–70) | 0.86 | ||
| FIGO stage | |||||
| III | 10 | (48%) | 212 | (63%) | 0.152 |
| IV | 11 | (52%) | 122 | (37%) | |
| Performance status | |||||
| 0–1 | 6 | (29%) | 232 | (69%) | <0.001 |
| 2–4 | 15 | (71%) | 102 | (31%) | |
| Primary site | |||||
| Ovary | 10 | (48%) | 205 | (61%) | 0.103 |
| Fallopian tube | 10 | (48%) | 101 | (30%) | |
| Peritoneum | 1 | (5%) | 28 | (8%) | |
| Histology | |||||
| Serous carcinoma, high grade | 16 | (76%) | 232 | (69%) | 0.309 |
| Clear cell carcinoma | 1 | (5%) | 37 | (11%) | |
| Endometrioid carcinoma | 0 | (0%) | 27 | (8%) | |
| Mucinous carcinoma | 0 | (0%) | 5 | (1%) | |
| Others | 4 | (19%) | 33 | (10%) | |
| CA125 | |||||
| Median (IQR), IU/mL | 1357 (567–2719) | 764 (303–1987) | 0.067 | ||
| PCI | |||||
| Median (IQR) | 19 (14–22) | 14 (5.5–20) | 0.045 | ||
| Treatment | |||||
| Primary surgery | 3 | (14%) | 149 | (45%) | 0.258 |
| Interval surgery | 15 | (71%) | 162 | (49%) | |
| Chemotherapy only | 3 | (14%) | 23 | (7%) | |
| Residual disease | |||||
| No residual tumor | 18 | (86%) | 278 | (83%) | |
| ≤10 mm | 0 | (0%) | 24 | (7%) | 0.374 |
| >10 mm | 3 | (14%) | 32 | (10%) | |

References
- Aghajanian, C.; Blank, S.V.; Goff, B.A.; Judson, P.L.; Teneriello, M.G.; Husain, A.; Sovak, M.A.; Yi, J.; Nycum, L.R. OCEANS: A Randomized, Double-Blind, Placebo-Controlled Phase III Trial of Chemotherapy with or without Bevacizumab in Patients with Platinum-Sensitive Recurrent Epithelial Ovarian, Primary Peritoneal, or Fallopian Tube Cancer. J. Clin. Oncol. 2012, 30, 2039–2045. [Google Scholar] [CrossRef] [PubMed]
- Ledermann, J.; Harter, P.; Gourley, C.; Friedlander, M.; Vergote, I.; Rustin, G.; Scott, C.; Meier, W.; Shapira-Frommer, R.; Safra, T.; et al. Olaparib Maintenance Therapy in Platinum-Sensitive Relapsed Ovarian Cancer. N. Engl. J. Med. 2012, 366, 1382–1392. [Google Scholar] [CrossRef]
- Bartoletti, M.; Pelizzari, G.; Gerratana, L.; Bortot, L.; Lombardi, D.; Nicoloso, M.S.; Scalone, S.; Giorda, G.; Baldassarre, G.; Sorio, R.; et al. Bevacizumab or PARP-Inhibitors Maintenance Therapy for Platinum-Sensitive Recurrent Ovarian Cancer: A Network Meta-Analysis. Int. J. Mol. Sci. 2020, 21, 3805. [Google Scholar] [CrossRef]
- Pfisterer, J.; Shannon, C.M.; Baumann, K.; Rau, J.; Harter, P.; Joly, F.; Sehouli, J.; Canzler, U.; Schmalfeldt, B.; Dean, A.P.; et al. Bevacizumab and platinum-based combinations for recurrent ovarian cancer: A randomised, open-label, phase 3 trial. Lancet Oncol. 2020, 21, 699–709. [Google Scholar] [CrossRef]
- Meeting Library|Randomized Phase III Study to Evaluate the Impact of Secondary Cytoreductive Surgery in Recurrent Ovarian Cancer: Final Analysis of AGO DESKTOP III/ENGOT-ov20. Available online: https://meetinglibrary.asco.org/record/185438/abstract (accessed on 29 May 2020).
- Coleman, R.L.; Spirtos, N.M.; Enserro, D.; Herzog, T.J.; Sabbatini, P.; Armstrong, D.K.; Kim, J.-W.; Park, S.-Y.; Kim, B.-G.; Nam, J.-H.; et al. Secondary Surgical Cytoreduction for Recurrent Ovarian Cancer. N. Engl. J. Med. 2019, 381, 1929–1939. [Google Scholar] [CrossRef] [PubMed]
- Markman, M.; Kennedy, A.; Webster, K.; Elson, P.; Peterson, G.; Kulp, B.; Belinson, J. Clinical Features of Hypersensitivity Reactions to Carboplatin. J. Clin. Oncol. 1999, 17, 1141. [Google Scholar] [CrossRef] [PubMed]
- Morgan, R.D.; Clamp, A.R.; Evans, D.G.R.; Edmondson, R.J.; Jayson, G.C. PARP inhibitors in platinum-sensitive high-grade serous ovarian cancer. Cancer Chemother. Pharmacol. 2018, 81, 647–658. [Google Scholar] [CrossRef] [PubMed]
- Michikami, H.; Minaguchi, T.; Ochi, H.; Onuki, M.; Okada, S.; Matsumoto, K.; Satoh, T.; Oki, A.; Yoshikawa, H. Safety and efficacy of substituting nedaplatin after carboplatin hypersensitivity reactions in gynecologic malignancies. J. Obstet. Gynaecol. Res. 2012, 39, 330–335. [Google Scholar] [CrossRef] [PubMed]
- Lee, C.-W.; Matulonis, U.A.; Castells, M. Rapid inpatient/outpatient desensitization for chemotherapy hypersensitivity: Standard protocol effective in 57 patients for 255 courses. Gynecol. Oncol. 2005, 99, 393–399. [Google Scholar] [CrossRef]
- Vetter, M.H.; Khan, A.; Backes, F.J.; Bixel, K.; Cohn, D.E.; Copeland, L.J.; Fowler, J.M.; Salani, R.; Li, Q.; O’Malley, D.M. Outpatient de-sensitization of patients with moderate (high-risk) to severe platinum hypersensitivity reactions. Gynecol. Oncol. 2019, 152, 316–321. [Google Scholar] [CrossRef]
- Markman, M. Hypersensitivity Reactions to Carboplatin. Gynecol. Oncol. 2002, 84, 353–354. [Google Scholar] [CrossRef]
- Arimoto, T.; Oda, K.; Nakagawa, S.; Kawana, K.; Tsukazaki, T.; Adachi, K.; Matsumoto, Y.; Yano, T.; Kozuma, S.; Taketani, Y. Re-treatment with nedaplatin in patients with recurrent gynecological cancer after the development of hypersensitivity reac-tion to carboplatin. J. Obstet. Gynaecol. Res. 2013, 39, 336–340. [Google Scholar] [CrossRef]
- Callahan, M.B.; Lachance, J.A.; Stone, R.L.; Kelsey, J.; Rice, L.W.; Jazaeri, A.A. Use of cisplatin without desensitization after car-boplatin hypersensitivity reaction in epithelial ovarian and primary peritoneal cancer. Am. J. Obstet. Gynecol. 2007, 197, 199.e1–199.e5. [Google Scholar] [CrossRef]
- Bergamini, A.; Pisano, C.; Di Napoli, M.; Arenare, L.; Della Pepa, C.; Tambaro, R.; Facchini, G.; Gargiulo, P.; Rossetti, S.; Mangili, G.; et al. Cisplatin can be safely administered to ovarian cancer patients with hypersensitivity to carboplatin. Gynecol. Oncol. 2017, 144, 72–76. [Google Scholar] [CrossRef]
- Huang, C.-Y.; Cheng, M.; Lee, N.-R.; Huang, H.-Y.; Lee, W.-L.; Chang, W.-H.; Wang, P.-H. Comparing Paclitaxel–Carboplatin with Paclitaxel–Cisplatin as the Front-Line Chemotherapy for Patients with FIGO IIIC serous-Type Tubo-Ovarian Cancer. Int. J. Environ. Res. Public Health 2020, 17, 2213. [Google Scholar] [CrossRef] [PubMed]
- Nagata, N.; Kimura, M.; Hirabayashi, N.; Tuburaya, A.; Murata, T.; Kondo, K.; Fukuda, Y.; Kobayashi, M.; Miyashita, Y.; Nakao, A.; et al. Phase II study of weekly paclitaxel and cisplatin combination therapy for advanced or recurrent gastric cancer. Hepatogastroenterology 2008, 55, 1846–1850. [Google Scholar]
- Tsuburaya, A.; Nagata, N.; Cho, H.; Hirabayashi, N.; Kobayashi, M.; Kojima, H.; Munakata, Y.; Fukushima, R.; Kameda, Y.; Shimoda, T.; et al. Phase II trial of paclitaxel and cisplatin as neoadjuvant chemotherapy for locally advanced gastric cancer. Cancer Chemother Pharmacol. 2013, 71, 1309–1314. [Google Scholar] [CrossRef] [PubMed]
- Kolomeyevskaya, N.V.; Lele, S.B.; Miller, A.; Riebandt, G.C.; Blum, B.L.; Odunsi, K.O.; Frederick, P.J. Oxaliplatin is a safe alternative option for patients with recurrent gynecologic cancers after hypersensitivity reaction to Carboplatin. Int. J. Gynecol. Cancer 2015, 25, 42–48. [Google Scholar] [CrossRef] [PubMed]
- Zweizig, S.; Roman, L.D.; Muderspach, L.I. Death from Anaphylaxis to Cisplatin: A Case Report. Gynecol. Oncol. 1994, 53, 121–122. [Google Scholar] [CrossRef] [PubMed]
- Dizon, D.S.; Sabbatini, P.J.; Aghajanian, C.; Hensley, M.L.; Spriggs, D.R. Analysis of Patients with Epithelial Ovarian Cancer or Fallopian Tube Carcinoma Retreated with Cisplatin after the Development of a Carboplatin Allergy. Gynecol. Oncol. 2002, 84, 378–382. [Google Scholar] [CrossRef]
- Pasteur, J.; Favier, L.; Pernot, C.; Guerriaud, M.; Bernigaud, C.; Lepage, C.; Jouve, J.-L.; Isambert, N.; Collet, E. Low Cross-Reactivity Between Cisplatin and Other Platinum Salts. J. Allergy Clin. Immunol. Pract. 2019, 7, 1894–1900. [Google Scholar] [CrossRef]
- Genc, D.B.; Canpolat, C.; Berrak, S.G. Clinical features and management of carboplatin-related hypersensitivity reactions in pediatric low-grade glioma. Support. Care Cancer 2011, 20, 385–393. [Google Scholar] [CrossRef]
- Lafay-Cousin, L.; Sung, L.; Carret, A.S.; Hukin, J.; Wilson, B.; Johnston, D.L.; Zelcer, S.; Silva, M.; Odame, I.; Mpofu, C.; et al. Carboplatin hypersensitivity reaction in pediatric patients with low-grade glioma: A Canadian Pediatric Brain Tumor Consortium experience. Cancer 2008, 112, 892–899. [Google Scholar] [CrossRef]
- Safra, T.; Menczer, J.; Bernstein, R.M.; Shpigel, S.; Matcejevsky, D.; Inbar, M.J.; Golan, A.; Grisaru, D.; Levy, T. Combined weekly carboplatin and paclitaxel as primary treatment of advanced epithelial ovarian carcinoma. Gynecol. Oncol. 2009, 114, 215–218. [Google Scholar] [CrossRef]
- Pignata, S.; Scambia, G.; Katsaros, D.; Gallo, C.; Pujade-Lauraine, E.; De Placido, S.; Bologna, A.; Weber, B.; Raspagliesi, F.; Panici, P.B.; et al. Carboplatin plus paclitaxel once a week versus every 3 weeks in patients with advanced ovarian cancer (MITO-7): A randomised, multicentre, open-label, phase 3 trial. Lancet Oncol. 2014, 15, 396–405. [Google Scholar] [CrossRef]
- Clamp, A.R.; James, E.C.; McNeish, I.A.; Dean, A.; Kim, J.-W.; O’Donnell, D.M.; Hook, J.; Coyle, C.; Blagden, S.; Brenton, J.D.; et al. Weekly dose-dense chemotherapy in first-line epithelial ovarian, fallopian tube, or primary peritoneal carcinoma treatment (ICON8): Primary progression free survival analysis results from a GCIG phase 3 randomised controlled trial. Lancet 2019, 394, 2084–2095. [Google Scholar] [CrossRef]
- Ozols, R.F.; Bundy, B.N.; Greer, B.E.; Fowler, J.M.; Clarke-Pearson, D.; Burger, R.A.; Mannel, R.S.; DeGeest, K.; Hartenbach, E.M.; Baergen, R. Phase III Trial of Carboplatin and Paclitaxel Compared With Cisplatin and Paclitaxel in Patients With Optimally Resected Stage III Ovarian Cancer: A Gynecologic Oncology Group Study. J. Clin. Oncol. 2003, 21, 3194–3200. [Google Scholar] [CrossRef]
- Du Bois, A.; Luck, H.J.; Meier, W.; Adams, H.P.; Mobus, V.; Costa, S.; Bauknecht, T.; Richter, B.; Warm, M.; Schroder, W.; et al. A randomized clinical trial of cisplatin/paclitaxel versus carboplatin/paclitaxel as first-line treatment of ovarian cancer. J. Natl. Cancer Inst. 2003, 95, 1320–1329. [Google Scholar] [CrossRef]
- Katsumata, N.; Yasuda, M.; Takahashi, F.; Isonishi, S.; Jobo, T.; Aoki, D.; Tsuda, H.; Sugiyama, T.; Kodama, S.; Kimura, E.; et al. Dose-dense paclitaxel once a week in combination with carboplatin every 3 weeks for advanced ovarian cancer: A phase 3, open-label, randomised controlled trial. Lancet 2009, 374, 1331–1338. [Google Scholar] [CrossRef]




| Variations | No. of Patients | Incidence (%) |
|---|---|---|
| Age (years) | ||
| Median, (IQR) | 59 (51–67) | |
| Primary site | ||
| Ovary | 53 | 62 |
| Peritoneum | 7 | 8 |
| Fallopian Tube | 26 | 30 |
| Primary FIGO stage | ||
| I/II | 15 | 17 |
| III/IV | 71 | 83 |
| BRCA status | ||
| BRCA 1 mutation+ | 5 | 6 |
| BRCA 2 mutation+ | 1 | 1 |
| BRCA negative | 11 | 13 |
| Unknown | 69 | 80 |
| Histology | ||
| Serous carcioma, high-grade | 60 | 70 |
| Endometrioid carcinoma | 4 | 5 |
| Clear cell carcioma | 16 | 19 |
| Others | 6 | 7 |
| Previous platinum-based chemotherapy | ||
| Triweekly paclitaxel (docetaxel) and carboplatin ±Bev | 13 | 15 |
| Weekly paclitaxel and carboplatin ±Bev | 73 | 85 |
| No. of cycles in previous carboplatin | ||
| Median, (IQR) | 8 (6–11) | |
| 2–6 | 28 | 33 |
| 7–12 | 42 | 49 |
| 13– | 16 | 19 |
| Grade of previous carboplatin hypersensitivity reaction | ||
| 1 | 57 | 66 |
| 2 | 26 | 30 |
| 3 | 1 | 1 |
| unknown | 1 | 1 |
| Timing of weekly paclitaxel and cisplatin | ||
| Initial treatment | 21 | 24 |
| First recurrent treatment | 35 | 41 |
| Second or more recurrent treatment | 30 | 35 |
Publisher’s Note: MDPI stays neutral with regard to jurisdictional claims in published maps and institutional affiliations. |
© 2021 by the authors. Licensee MDPI, Basel, Switzerland. This article is an open access article distributed under the terms and conditions of the Creative Commons Attribution (CC BY) license (http://creativecommons.org/licenses/by/4.0/).
Share and Cite
Tate, S.; Nishikimi, K.; Matsuoka, A.; Otsuka, S.; Shozu, M. Safety and Efficacy of Weekly Paclitaxel and Cisplatin Chemotherapy for Ovarian Cancer Patients with Hypersensitivity to Carboplatin. Cancers 2021, 13, 640. https://doi.org/10.3390/cancers13040640
Tate S, Nishikimi K, Matsuoka A, Otsuka S, Shozu M. Safety and Efficacy of Weekly Paclitaxel and Cisplatin Chemotherapy for Ovarian Cancer Patients with Hypersensitivity to Carboplatin. Cancers. 2021; 13(4):640. https://doi.org/10.3390/cancers13040640
Chicago/Turabian StyleTate, Shinichi, Kyoko Nishikimi, Ayumu Matsuoka, Satoyo Otsuka, and Makio Shozu. 2021. "Safety and Efficacy of Weekly Paclitaxel and Cisplatin Chemotherapy for Ovarian Cancer Patients with Hypersensitivity to Carboplatin" Cancers 13, no. 4: 640. https://doi.org/10.3390/cancers13040640
APA StyleTate, S., Nishikimi, K., Matsuoka, A., Otsuka, S., & Shozu, M. (2021). Safety and Efficacy of Weekly Paclitaxel and Cisplatin Chemotherapy for Ovarian Cancer Patients with Hypersensitivity to Carboplatin. Cancers, 13(4), 640. https://doi.org/10.3390/cancers13040640

