Macrophage and Lymphocyte Infiltration Is Associated with Volumetric Tumor Size but Not with Volumetric Growth in the Tübingen Schwannoma Cohort
Abstract
Simple Summary
Abstract
1. Introduction
2. Results
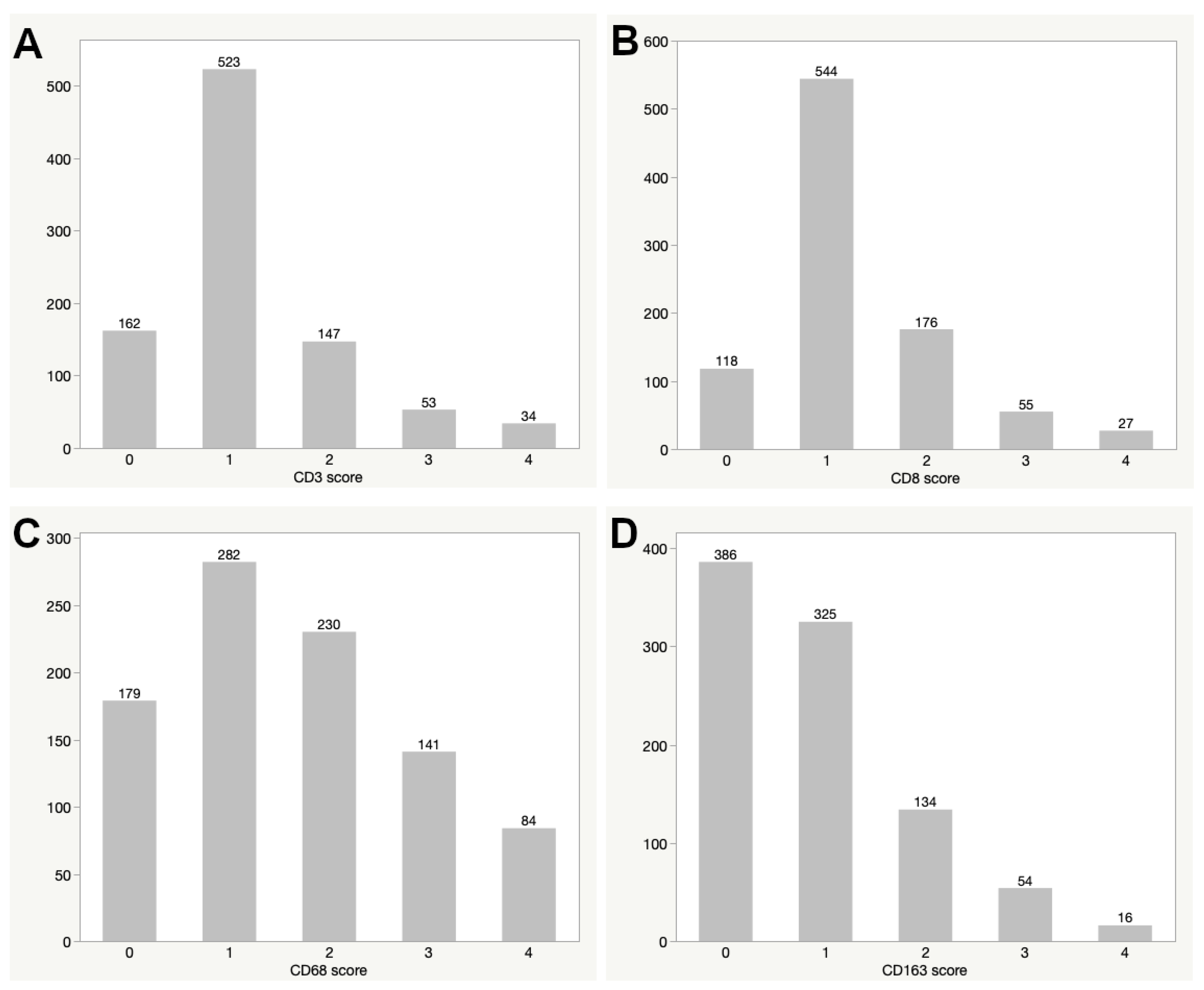
2.1. Distribution of Immunohistochemical Marker Expression
2.2. Preoperative Volumetric Tumor Size and Correlation to Immunohistochemistry
2.3. Volumetric Tumor Growth
2.4. Inflammatory Score (IS)
2.5. Multivariate Analysis of Tumor Growth
3. Discussion
Limitations
4. Materials and Methods
4.1. Patient Cohort
4.2. Volumetry
4.3. Tissue Microarray Construction and Immunohistochemistry
4.4. Microscopic Assessment and Inflammatory Score (IS)
4.5. Statistical Methods
5. Conclusions
Supplementary Materials
Author Contributions
Funding
Institutional Review Board Statement
Informed Consent Statement
Data Availability Statement
Conflicts of Interest
References
- Van Gompel, J.J.; Agazzi, S.; Carlson, M.L.; Adewumi, D.A.; Hadjipanayis, C.G.; Uhm, J.H.; Olson, J.J. Congress of Neurological Surgeons Systematic Review and Evidence-Based Guidelines on Emerging Therapies for the Treatment of Patients with Vestibular Schwannomas. Neurosurgery 2017, 82, E52–E54. [Google Scholar] [CrossRef]
- Ardern-Holmes, S.L.; Fisher, G.; North, K. Neurofibromatosis Type 2. J. Child Neurol. 2016, 32, 9–22. [Google Scholar] [CrossRef] [PubMed]
- Lu, V.M.; Ravindran, K.; Graffeo, C.S.; Perry, A.; Van Gompel, J.J.; Daniels, D.J.; Link, M.J. Efficacy and safety of bevacizumab for vestibular schwannoma in neurofibromatosis type 2: A systematic review and meta-analysis of treatment outcomes. J. Neuro. Oncol. 2019, 144, 239–248. [Google Scholar] [CrossRef] [PubMed]
- Plotkin, S.R.; Duda, D.G.; Muzikansky, A.; Allen, J.; Blakeley, J.; Rosser, T.; Campian, J.L.; Clapp, D.W.; Fisher, M.J.; Tonsgard, J.; et al. Multicenter, Prospective, Phase II and Biomarker Study of High-Dose Bevacizumab as Induction Therapy in Patients with Neurofibromatosis Type 2 and Progressive Vestibular Schwannoma. J. Clin. Oncol. 2019, 37, 3446–3454. [Google Scholar] [CrossRef] [PubMed]
- Elmaci, I.; Sari, R.; Altinoz, M.A. Immune Pathobiology of Schwannomas: A Concise Review. J. Neurol. Surg. Part A Central Eur. Neurosurg. 2017, 79, 159–162. [Google Scholar] [CrossRef] [PubMed]
- Hannan, C.J.; Lewis, D.; O’Leary, C.; Donofrio, C.A.; Evans, D.G.; Roncaroli, F.; Brough, D.; King, A.T.; Coope, D.; Pathmanaban, O.N. The inflammatory microenvironment in vestibular schwannoma. Neuro Oncol. Adv. 2020, 2. [Google Scholar] [CrossRef]
- Helbing, D.-L.; Schulz, A.; Morrison, H. Pathomechanisms in schwannoma development and progression. Oncogene 2020, 39, 5421–5429. [Google Scholar] [CrossRef]
- De Vries, M.; Bruijn, I.B.-D.; Malessy, M.J.; De Bruïne, S.F.T.; Van Der Mey, A.G.L.; Hogendoorn, P.C. Tumor-Associated Macrophages Are Related to Volumetric Growth of Vestibular Schwannomas. Otol. Neurotol. 2013, 34, 347–352. [Google Scholar] [CrossRef]
- Lewis, D.; Roncaroli, F.; Agushi, E.; Mosses, D.; Williams, R.; Li, K.-L.; Zhu, X.; Hinz, R.; Atkinson, R.; Wadeson, A.; et al. Inflammation and vascular permeability correlate with growth in sporadic vestibular schwannoma. Neuro Oncol. 2019, 21, 314–325. [Google Scholar] [CrossRef]
- Perry, A.; Graffeo, C.S.; Carlstrom, L.P.; Raghunathan, A.; Driscoll, C.L.W.; Neff, B.A.; Carlson, M.L.; Parney, I.F.; Link, M.J.; Van Gompel, J.J. Predominance of M1 subtype among tumor-associated macrophages in phenotypically aggressive sporadic vestibular schwannoma. J. Neurosurg. 2020, 133, 1637–1645. [Google Scholar] [CrossRef]
- Yang, Q.; Guo, N.; Zhou, Y.; Chen, J.; Wei, Q.; Han, M. The role of tumor-associated macrophages (TAMs) in tumor progression and relevant advance in targeted therapy. Acta Pharm. Sin. B 2020, 10, 2156–2170. [Google Scholar] [CrossRef] [PubMed]
- Behling, F.; Ries, V.; Skardelly, M.; Gepfner-Tuma, I.; Schuhmann, M.U.; Ebner, F.-H.; Tabatabai, G.; Bornemann, A.; Schittenhelm, J.; Tatagiba, M. COX2 expression is associated with proliferation and tumor extension in vestibular schwannoma but is not influenced by acetylsalicylic acid intake. Acta Neuropathol. Commun. 2019, 7, 1–10. [Google Scholar] [CrossRef] [PubMed]
- Labit-Bouvier, B.C.C. Clinicopathologic Growth Factors in Vestibular Schwannomas: A Morphological and Immunohistochemical Study of 69 Tumours. Acta Oto-Laryngologica 2000, 120, 950–954. [Google Scholar] [CrossRef] [PubMed]
- Holmes, N. CD45: All is not yet crystal clear. Immunology 2006, 117, 145–155. [Google Scholar] [CrossRef]
- Hughes, M.R.; Hernaez, D.C.; Cait, J.; Refaeli, I.; Lo, B.C.; Roskelley, C.D.; McNagny, K.M. A sticky wicket: Defining molecular functions for CD34 in hematopoietic cells. Exp. Hematol. 2020, 86, 1–14. [Google Scholar] [CrossRef]
- De Vries, W.M.; Bruijn, I.H.B.-D.; Van Benthem, P.P.G.; Van Der Mey, A.G.L.; Hogendoorn, P.C. M-CSF and IL-34 expression as indicators for growth in sporadic vestibular schwannoma. Virchows Arch. 2018, 474, 375–381. [Google Scholar] [CrossRef]
- Lewis, D.; Donofrio, C.A.; O’Leary, C.; Li, K.-L.; Zhu, X.; Williams, R.; Djoukhadar, I.; Agushi, E.; Hannan, C.J.; Stapleton, E.; et al. The microenvironment in sporadic and neurofibromatosis type II–related vestibular schwannoma: The same tumor or different? A comparative imaging and neuropathology study. J. Neurosurg. 2020, 1–11. [Google Scholar] [CrossRef]
- Panigrahi, M.; Kumar, D.; Vooturi, S.; Madigubba, S. MIB Index as Predictor of Recurrence in Sporadic Vestibular Schwannomas. World Neurosurg. 2018, 120, e1203–e1207. [Google Scholar] [CrossRef]
- Prueter, J.; Norvell, D.; Backous, D. Ki-67 index as a predictor of vestibular schwannoma regrowth or recurrence. J. Laryngol. Otol. 2019, 133, 205–207. [Google Scholar] [CrossRef]
- Jeremiasen, M.; Borg, D.; Hedner, C.; Svensson, M.; Nodin, B.; Leandersson, K.; Johansson, J.; Jirström, K. Tumor-Associated CD68+, CD163+, and MARCO+ Macrophages as Prognostic Biomarkers in Patients with Treatment-Naïve Gastroesophageal Adenocarcinoma. Front. Oncol. 2020, 10, 534761. [Google Scholar] [CrossRef]
- Troiano, G.; Caponio, V.C.A.; Adipietro, I.; Tepedino, M.; Santoro, R.; Laino, L.; Russo, L.L.; Cirillo, N.; Muzio, L.L. Prognostic significance of CD68+ and CD163+ tumor associated macrophages in head and neck squamous cell carcinoma: A systematic review and meta-analysis. Oral Oncol. 2019, 93, 66–75. [Google Scholar] [CrossRef] [PubMed]
- Jayasingam, S.D.; Citartan, M.; Thang, T.H.; Zin, A.A.M.; Ang, K.C.; Ch’Ng, E.S. Evaluating the Polarization of Tumor-Associated Macrophages Into M1 and M2 Phenotypes in Human Cancer Tissue: Technicalities and Challenges in Routine Clinical Practice. Front. Oncol. 2020, 9, 1512. [Google Scholar] [CrossRef] [PubMed]
- Dvorak, H.F. Tumor Stroma, Tumor Blood Vessels, and Antiangiogenesis Therapy. Cancer J. 2015, 21, 237–243. [Google Scholar] [CrossRef] [PubMed]
- Wippold, F.J.; Lubner, M.; Perrin, R.; Lämmle, M.; Perry, A. Neuropathology for the Neuroradiologist: Antoni A and Antoni B Tissue Patterns. Am. J. Neuroradiol. 2007, 28, 1633–1638. [Google Scholar] [CrossRef] [PubMed]
- Schlehofer, B.; Schlaefer, K.; Blettner, M.; Berg, G.; Böhler, E.; Hettinger, I.; Kunna-Grass, K.; Wahrendorf, J.; Schüz, J. Environmental risk factors for sporadic acoustic neuroma (Interphone Study Group, Germany). Eur. J. Cancer 2007, 43, 1741–1747. [Google Scholar] [CrossRef] [PubMed]
- Taurone, S.; Bianchi, E.; Attanasio, G.; Di Gioia, C.; Ierinò, R.; Carubbi, C.; Galli, D.; Pastore, F.S.; Giangaspero, F.; Filipo, R.; et al. Immunohistochemical profile of cytokines and growth factors expressed in vestibular schwannoma and in normal vestibular nerve tissue. Mol. Med. Rep. 2012, 12, 737–745. [Google Scholar] [CrossRef]
- Tugues, S.; Burkhard, S.H.; Ohs, I.; Vrohlings, M.; Nussbaum, K.; vom Berg, J.; Kulig, P.; Becher, B. New insights into IL-12-mediated tumor suppression. Cell Death Differ. 2015, 22, 237–246. [Google Scholar] [CrossRef]







| Variable | N (%) | Mean Tumor Volume in cm3 | p-Value (ANOVA) |
|---|---|---|---|
| CD3 score | |||
| 0 | 134 (17.5) | 4.05 | <0.0001 * |
| 1 | 424 (55.5) | 3.9 | |
| 2 | 129 (16.9) | 7.06 | |
| 3 | 45 (5.9) | 6.66 | |
| 4 | 32 (4.2) | 6.34 | |
| ≤3 | 732 (95.8) | 4.65 | 0.1356 |
| >3 | 32 (4.2) | 6.34 | |
| CD8 score | |||
| 0 | 97 (12.7) | 4.78 | <0.0001 * |
| 1 | 449 (58.7) | 3.88 | |
| 2 | 149 (19.5) | 6.6 | |
| 3 | 47 (6.1) | 5.37 | |
| 4 | 23 (3.0) | 7.24 | |
| ≤3 | 742 (97.0) | 4.64 | 0.0487 * |
| >3 | 23 (3.0) | 7.24 | |
| CD68 score | |||
| 0 | 139 (18.2) | 4.04 | 0.0015 * |
| 1 | 231 (30.3) | 4.19 | |
| 2 | 205 (26.9) | 4.25 | |
| 3 | 115 (15.1) | 6.23 | |
| 4 | 72 (9.5) | 6.58 | |
| ≤2 | 575 (75.5) | 4.18 | <0.0001 * |
| >2 | 187 (24.5) | 6.36 | |
| CD163 score | |||
| 0 | 316 (41.5) | 3.42 | <0.0001 * |
| 1 | 272 (35.7) | 5.11 | |
| 2 | 113 (14.8) | 5.67 | |
| 3 | 45 (6.0) | 6.67 | |
| 4 | 15 (2.0) | 11.97 | |
| 0 | 316 (41.5) | 3.42 | <0.0001 * |
| >0 | 445 (58.5) | 5.64 | |
| Inflammatory score | |||
| 0 | 435 (57.1) | 3.62 | <0.0001 * |
| 1 | 217 (28.5) | 5.84 | |
| 2 | 110 (14.4) | 6.97 | |
| 0 | 435 (57.1) | 3.62 | <0.0001 * |
| 1 or 2 | 327 (42.9) | 6.22 |
| Estimate | Std Error | t Ratio | Lower 95% | Upper 95% | p-Value | |
|---|---|---|---|---|---|---|
| Intercept | 104.30 | 8.29 | 12.58 | 87.94 | 120.66 | <0.0001 * |
| MIB1 >= 1.57% | −20.92 | 8.07 | 12.58 | −36.83 | −5.00 | 0.0103 * |
| Inflammatory score 0 | −7.91 | 7.33 | −1.08 | −22.38 | 6.55 | 0.2818 |
| Variable | Score | 0 | 1 | 2 | 3 | 4 |
|---|---|---|---|---|---|---|
| CD3/8 | Immunopositive cell count/1 mm | 0–5 | 5–50 | 50–100 | 100–150 | >150 |
| CD68/163 | Immunopositive area in %/1 mm | 0–5 | 5–25 | 25–50 | 50–75 | 75–100 |
Publisher’s Note: MDPI stays neutral with regard to jurisdictional claims in published maps and institutional affiliations. |
© 2021 by the authors. Licensee MDPI, Basel, Switzerland. This article is an open access article distributed under the terms and conditions of the Creative Commons Attribution (CC BY) license (http://creativecommons.org/licenses/by/4.0/).
Share and Cite
Gonçalves, V.M.; Suhm, E.-M.; Ries, V.; Skardelly, M.; Tabatabai, G.; Tatagiba, M.; Schittenhelm, J.; Behling, F. Macrophage and Lymphocyte Infiltration Is Associated with Volumetric Tumor Size but Not with Volumetric Growth in the Tübingen Schwannoma Cohort. Cancers 2021, 13, 466. https://doi.org/10.3390/cancers13030466
Gonçalves VM, Suhm E-M, Ries V, Skardelly M, Tabatabai G, Tatagiba M, Schittenhelm J, Behling F. Macrophage and Lymphocyte Infiltration Is Associated with Volumetric Tumor Size but Not with Volumetric Growth in the Tübingen Schwannoma Cohort. Cancers. 2021; 13(3):466. https://doi.org/10.3390/cancers13030466
Chicago/Turabian StyleGonçalves, Vítor Moura, Elisa-Maria Suhm, Vanessa Ries, Marco Skardelly, Ghazaleh Tabatabai, Marcos Tatagiba, Jens Schittenhelm, and Felix Behling. 2021. "Macrophage and Lymphocyte Infiltration Is Associated with Volumetric Tumor Size but Not with Volumetric Growth in the Tübingen Schwannoma Cohort" Cancers 13, no. 3: 466. https://doi.org/10.3390/cancers13030466
APA StyleGonçalves, V. M., Suhm, E.-M., Ries, V., Skardelly, M., Tabatabai, G., Tatagiba, M., Schittenhelm, J., & Behling, F. (2021). Macrophage and Lymphocyte Infiltration Is Associated with Volumetric Tumor Size but Not with Volumetric Growth in the Tübingen Schwannoma Cohort. Cancers, 13(3), 466. https://doi.org/10.3390/cancers13030466

