Preclinical Studies in Small Animals for Advanced Drug Delivery Using Hyperthermia and Intravital Microscopy
Abstract
Simple Summary
Abstract
1. Introduction
2. Materials and Methods
2.1. Cell Lines and Culture
2.2. Animals
2.3. Tumor Model
2.3.1. Dorsal Tumor Fragment
2.3.2. Hepatic Tumor Fragment
2.4. In Vivo Temperature Measurement
2.5. Hyperthermia Set-Up
2.5.1. Dorsal Skinfold Chamber (DSC)
2.5.2. Cylindrical RF (CRF) Device
2.5.3. Directional Microwave Antenna (DMA)
3. Results
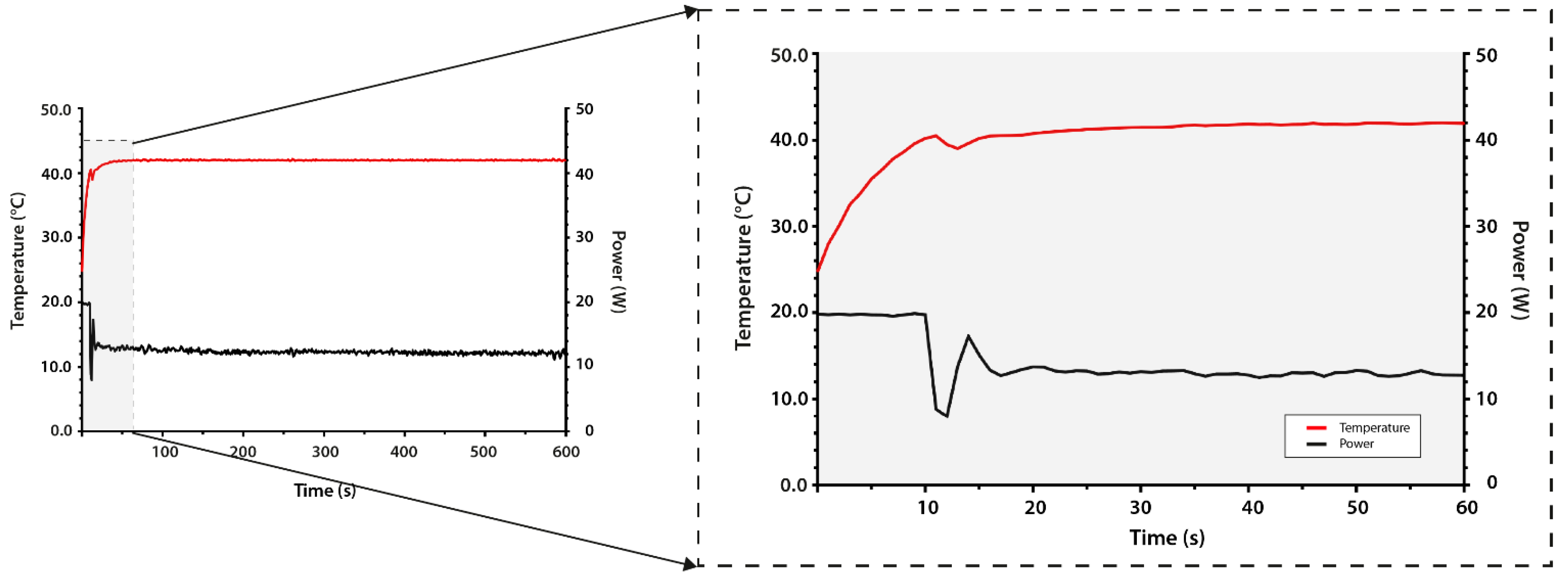
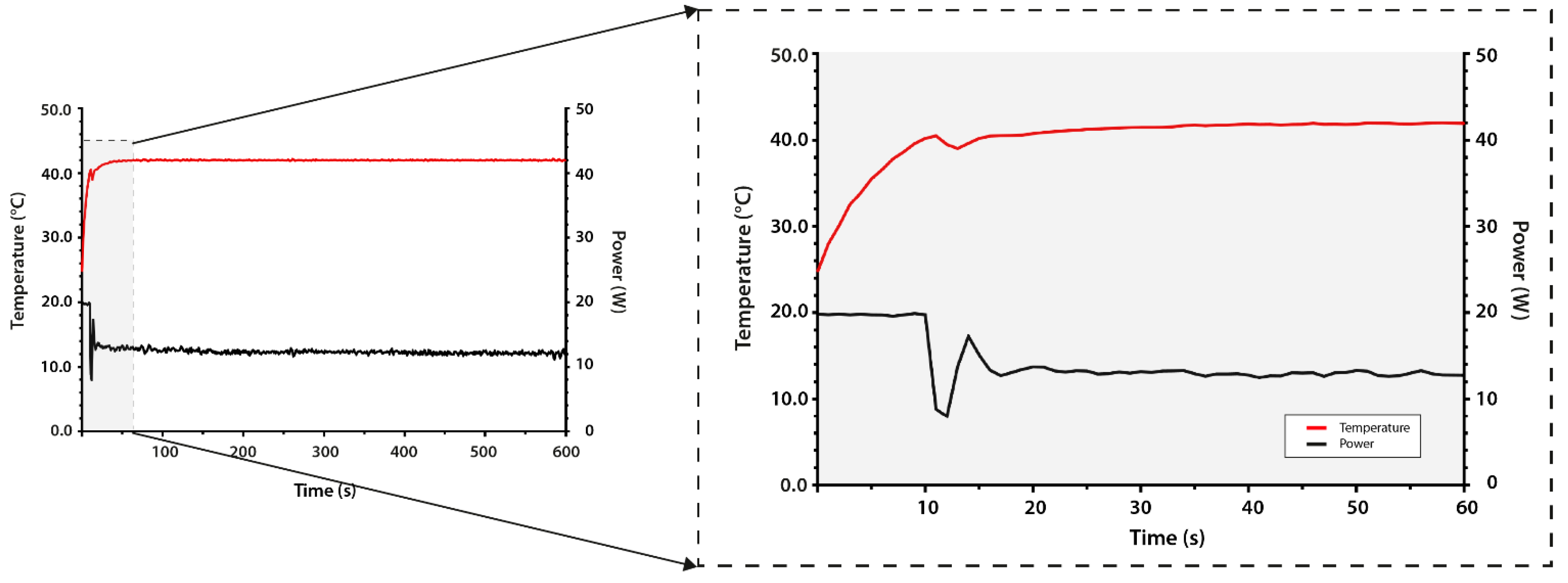
3.1. Dorsal Skinfold Chamber (DSC)
3.2. Cylindrical RF Device (CRF)
3.3. Directional Microwave Antenna (DMA)
4. Discussion
4.1. Micro-Environmental Kinetics
4.2. Control
4.3. Complex Evaluation
5. Conclusions
Supplementary Materials
Author Contributions
Funding
Institutional Review Board Statement
Informed Consent Statement
Data Availability Statement
Acknowledgments
Conflicts of Interest
References
- Landon, C.D.; Park, J.-Y.; Nedham, D.; Dewhirst, M.W. Nanoscale Drug Delivery and Hyperthermia: The Materials Design and Preclinical and Clinical Testing of Low Temperature-Sensitive Liposomes Used in Combination with Mild Hyperthermia in the Treatment of Local Cancer. Open Nanomed. J. 2011, 3, 24–37. [Google Scholar] [CrossRef] [PubMed]
- Lokerse, W.J.; Bolkestein, M.; Hagen, T.L.T.; De Jong, M.; Eggermont, A.M.; Grüll, H.; Koning, G.A. Investigation of Particle Accumulation, Chemosensitivity and Thermosensitivity for Effective Solid Tumor Therapy Using Thermosensitive Liposomes and Hyperthermia. Theranostics 2016, 6, 1717–1731. [Google Scholar] [CrossRef]
- Song, C.W.; Park, H.J.; Lee, C.K.; Griffin, R. Implications of increased tumor blood flow and oxygenation caused by mild temperature hyperthermia in tumor treatment. Int. J. Hyperth. 2005, 21, 761–767. [Google Scholar] [CrossRef]
- Bettaieb, A.; Averill-Bates, D.A. Thermotolerance induced at a mild temperature of 40 degrees C alleviates heat shock-induced ER stress and apoptosis in HeLa cells. Biochim. Biophys. Acta 2015, 1853, 52–62. [Google Scholar] [CrossRef]
- Cho, J.A.; Park, H.; Kim, H.K.; Lim, E.H.; Seo, S.W.; Choi, J.S.; Lee, K.W. Hyperthermia-treated mesenchymal stem cells exert antitumor effects on human carcinoma cell line. Cancer 2008, 115, 311–323. [Google Scholar] [CrossRef]
- Habash, R.W.Y.; Bansal, R.; Krewski, D.; Alhafid, H.T. Thermal Therapy, Part 1: An Introduction to Thermal Therapy. Crit. Rev. Biomed. Eng. 2006, 34, 459–489. [Google Scholar] [CrossRef]
- Habash, R.W.; Bansal, R.; Krewski, D.; Alhafid, H.T. Thermal Therapy, Part 2: Hyperthermia Techniques. Crit. Rev. Biomed. Eng. 2006, 34, 491–542. [Google Scholar] [CrossRef]
- Dunne, M.; Regenold, M.; Allen, C. Hyperthermia can alter tumor physiology and improve chemo- and radio-therapy efficacy. Adv. Drug Deliv. Rev. 2020, 163–164, 98–124. [Google Scholar] [CrossRef]
- Scutigliani, E.M.; Liang, Y.; Crezee, J.; Kanaar, R.; Krawczyk, P.M. Modulating the Heat Stress Response to Improve Hyperther-mia-Based Anticancer Treatments. Cancers 2021, 13, 1243. [Google Scholar] [CrossRef]
- Li, L.; Hagen, T.L.T.; Bolkestein, M.; Gasselhuber, A.; Yatvin, J.; van Rhoon, G.C.; Eggermont, A.M.; Haemmerich, D.; Koning, G.A. Improved intratumoral nanoparticle extravasation and penetration by mild hyperthermia. J. Control. Release 2013, 167, 130–137. [Google Scholar] [CrossRef]
- Kong, G.; Braun, R.D.; Dewhirst, M.W. Characterization of the effect of hyperthermia on nanoparticle extravasation from tumor vasculature. Cancer Res. 2001, 61, 3027–3032. [Google Scholar]
- Kneidl, B.; Peller, M.; Winter, G.; Lindner, L.H.; Hossann, M. Thermosensitive liposomal drug delivery systems: State of the art review. Int. J. Nanomed. 2014, 9, 4387–4398. [Google Scholar]
- Seynhaeve, A.; Amin, M.; Haemmerich, D.; van Rhoon, G.; Hagen, T.T. Hyperthermia and smart drug delivery systems for solid tumor therapy. Adv. Drug Deliv. Rev. 2020, 163–164, 125–144. [Google Scholar] [CrossRef]
- Barenholz, Y. Doxil(R)—The first FDA-approved nano-drug: Lessons learned. J. Control Release 2012, 160, 117–134. [Google Scholar] [CrossRef]
- Tran, S.; DeGiovanni, P.; Piel, B.; Rai, P. Cancer nanomedicine: A review of recent success in drug delivery. Clin. Transl. Med. 2017, 6, 44. [Google Scholar] [CrossRef]
- Priester, M.I.; Curto, S.; van Rhoon, G.C.; Hagen, T.L.M.T. External Basic Hyperthermia Devices for Preclinical Studies in Small Animals. Cancers 2021, 13, 4628. [Google Scholar] [CrossRef] [PubMed]
- Lapin, N.A.; Krzykawska-Serda, M.; Ware, M.J.; Curley, S.A.; Corr, S.J. Intravital microscopy for evaluating tumor perfusion of nanoparticles exposed to non-invasive radiofrequency electric fields. Cancer Nanotechnol. 2016, 7, 5. [Google Scholar] [CrossRef][Green Version]
- Miller, M.A.; Weissleder, R. Imaging the pharmacology of nanomaterials by intravital microscopy: Toward understanding their biological behavior. Adv. Drug Deliv. Rev. 2016, 113, 61–86. [Google Scholar] [CrossRef] [PubMed]
- Williams, R.G. An adaptation of the transparent chamber technique to the skin of the body. Anat. Rec. Adv. Integr. Anat. Evol. Biol. 1934, 60, 493–499. [Google Scholar]
- Algire, G.H. Recent developments in the transparent chamber technique as adapted to the mouse. J. Natl. Cancer Inst. 1949, 10, 225–253. [Google Scholar]
- Endirch, B.; Asaishi, K.; Götz, A.; Meßmer, K. Technical report—A new chamber technique for microvascular studies in unanes-thetized hamsters. Res. Exp. Med. 1980, 177, 125–134. [Google Scholar] [CrossRef]
- Lehr, H.A.; Leunig, M.; Menger, M.D.; Nolte, D.; Messmer, K. Dorsal skinfold chamber technique for intravital microscopy in nude mice. Am. J. Pathol. 1993, 143, 1055–1062. [Google Scholar]
- Alieva, M.; Ritsma, L.; Giedt, R.J.; Weissleder, R.; van Rheenen, J. Imaging windows for long-term intravital imaging: General overview and technical insights. Intravital 2014, 3, e29917. [Google Scholar] [CrossRef]
- Palmer, G.; Fontanella, A.N.; Shan, S.; Hanna, G.; Zhang, G.; Fraser, C.L.; Dewhirst, M.W. In vivo optical molecular imaging and analysis in mice using dorsal window chamber models applied to hypoxia, vasculature and fluorescent reporters. Nat. Protoc. 2011, 6, 1355–1366. [Google Scholar] [CrossRef] [PubMed]
- Seynhaeve, A.L.; Hagen, T.L.T. Intravital Microscopy of Tumor-associated Vasculature Using Advanced Dorsal Skinfold Window Chambers on Transgenic Fluorescent Mice. J. Vis. Exp. 2018, e55115. [Google Scholar] [CrossRef] [PubMed]
- van IJken, M.G.A.; Van Etten, B.; de Wilt, J.H.W.; Van Tiel, S.T.; Ten Hagen, T.L.M.; Eggermont, A.M. Tumor Necrosis Factor Alpha Augments Tumor Effects in Isolated Hepatic Perfusion with Melphalan in a Rat Sarcoma Model. J. Immunother. 2000, 23, 449–455. [Google Scholar] [CrossRef] [PubMed]
- Arunachalam, K.; Maccarini, P.F.; Schlorff, J.L.; Birkelund, Y.; Jacobsen, S.; Stauffer, P.R. Design of a water coupling bolus with improved flow distribution for multi-element superficial hyperthermia applicators. Int. J. Hyperth. 2009, 25, 554–565. [Google Scholar] [CrossRef] [PubMed]
- Ito, K.; Furuya, K.; Okano, Y.; Hamada, L. Development and Characteristics of a Biological Tissue-Equivalent Phantom for Mi-crowaves. Electron. Commun. Jpn. Part I Commun. 2001, 84, 67–77. [Google Scholar] [CrossRef]
- Curto, S.; Faridi, P.; Shrestha, T.B.; Pyle, M.; Maurmann, L.; Troyer, D.; Bossmann, S.H.; Prakash, P. An integrated platform for small-animal hyperthermia investigations under ultra-high-field MRI guidance. Int. J. Hyperth. 2017, 34, 341–351. [Google Scholar] [CrossRef] [PubMed]
- Faridi, P.; Bossmann, S.H.; Prakash, P. Simulation-based design and characterization of a microwave applicator for MR-guided hyperthermia experimental studies in small animals. Biomed. Phys. Eng. Express 2019, 6, 015001. [Google Scholar] [CrossRef]
- Kok, H.P.; Cressman, E.N.K.; Ceelen, W.; Brace, C.L.; Ivkov, R.; Grull, H.; Ter Haar, G.; Wust, P.; Crezee, J. Heating technology for ma-lignant tumors: A review. Int. J. Hyperth. 2020, 37, 711–741. [Google Scholar] [CrossRef]
- Lee, S.Y.; Fiorentini, G.; Szasz, A.M.; Szigeti, G.; Szasz, A.; Minnaar, C.A. Quo Vadis Oncological Hyperthermia? Front. Oncol. 2020, 10, 1690. [Google Scholar] [CrossRef]
- van Rhoon, G.C.; Samaras, T.; Yarmolenko, P.S.; Dewhirst, M.W.; Neufeld, E.; Kuster, N. CEM43 degrees C thermal dose thresholds: A potential guide for magnetic resonance radiofrequency exposure levels? Eur. Radiol. 2013, 23, 2215–2227. [Google Scholar] [CrossRef]
- van Rhoon, G.C.; Franckena, M.; Ten Hagen, T.L.M. A moderate thermal dose is sufficient for effective free and TSL based ther-mochemotherapy. Adv. Drug Deliv. Rev. 2020, 163–164, 145–156. [Google Scholar] [CrossRef]
- Paulides, M.M.; Dobsicek Trefna, H.; Curto, S.; Rodrigues, D.B. Recent technological advancements in radiofrequency- andmicro-wave-mediated hyperthermia for enhancing drug delivery. Adv. Drug Deliv. Rev. 2020, 163, 3–18. [Google Scholar] [CrossRef] [PubMed]
- Ware, M.J.; Krzykawska-Serda, M.; Ho, J.C.-S.; Newton, J.; Suki, S.; Law, J.; Nguyen, L.; Keshishian, V.; Serda, M.; Taylor, K.; et al. Optimizing non-invasive radiofrequency hyperthermia treatment for improving drug delivery in 4T1 mouse breast cancer model. Sci. Rep. 2017, 7, 43961. [Google Scholar] [CrossRef]
- Hauck, M.L.; Dewhirst, M.W.; Bigner, D.D.; Zalutsky, M.R. Local Hyperthermia Improves Uptake of a Chimeric Monoclonal Anti-body in a Subcutaneous Xenograft Model. Clin Cancer Res. 1997, 3, 63–70. [Google Scholar]
- Schuster, J.M.; Zalutsky, M.R.; Noska, M.A.; Dodge, R.; Friedman, H.S.; Bigner, D.D.; Dewhirst, M.W. Hyperthermic modulation of radiolabelled antibody uptake in a human glioma xenograft and normal tissues. Int. J. Hyperth. 1995, 11, 59–72. [Google Scholar] [CrossRef] [PubMed]
- Copelan, A.; Hartman, J.; Chehab, M.; Venkatesan, A.M. High-Intensity Focused Ultrasound: Current Status for Image-Guided Therapy. Semin. Interv. Radiol. 2015, 32, 398–415. [Google Scholar] [CrossRef]
- Chen, Q.; Krol, A.; Wright, A.; Nedham, D.; Dewhirst, M.W.; Yuan, F. Tumor microvascular permeability is a key determinant for antivascular effects of doxorubicin encapsulated in a temperature sensitive liposome. Int. J. Hyperth. 2008, 24, 475–482. [Google Scholar] [CrossRef]
- Lindner, L.H.; Eichhorn, M.E.; Eibl, H.; Teichert, N.; Schmitt-Sody, M.; Issels, R.; Dellian, M. Novel temperature-sensitive liposomes with prolonged circulation time. Clin. Cancer Res. 2004, 10, 2168–2178. [Google Scholar] [CrossRef]
- Dhawan, A.P.; D’Alessandro, B.; Fu, X. Optical Imaging Modalities for Biomedical Applications. IEEE Rev. Biomed. Eng. 2010, 3, 69–92. [Google Scholar] [CrossRef]
- van de Ven, A.; van de Ven, A.L.; Kim, P.; Ferrari, M.; Yun, S.H. Real-time intravital microscopy of individual nanoparticle dynamics in liver and tumors of live mice. Protoc. Exch. 2013. [Google Scholar] [CrossRef]
- Seynhaeve, A.L.B.; Oostinga, D.; Van Haperen, R.; Eilken, H.M.; Adams, S.; Adams, R.H.; Hagen, T.L.M.T. Spatiotemporal endothelial cell—Pericyte association in tumors as shown by high resolution 4D intravital imaging. Sci. Rep. 2018, 8, 9596. [Google Scholar] [CrossRef]
- Gul, N.; Babes, L.; Siegmund, K.; Korthouwer, R.; Bogels, M.; Braster, R.; Vidarsson, G.; ten Hagen, T.L.; Kubes, P.; van Egmond, M. Macrophages eliminate circulating tumor cells after monoclonal antibody therapy. J. Clin. Investig. 2014, 124, 812–823. [Google Scholar] [CrossRef] [PubMed]















Publisher’s Note: MDPI stays neutral with regard to jurisdictional claims in published maps and institutional affiliations. |
© 2021 by the authors. Licensee MDPI, Basel, Switzerland. This article is an open access article distributed under the terms and conditions of the Creative Commons Attribution (CC BY) license (https://creativecommons.org/licenses/by/4.0/).
Share and Cite
Priester, M.I.; Curto, S.; Seynhaeve, A.L.B.; Perdomo, A.C.; Amin, M.; Agnass, P.; Salimibani, M.; Faridi, P.; Prakash, P.; van Rhoon, G.C.; et al. Preclinical Studies in Small Animals for Advanced Drug Delivery Using Hyperthermia and Intravital Microscopy. Cancers 2021, 13, 5146. https://doi.org/10.3390/cancers13205146
Priester MI, Curto S, Seynhaeve ALB, Perdomo AC, Amin M, Agnass P, Salimibani M, Faridi P, Prakash P, van Rhoon GC, et al. Preclinical Studies in Small Animals for Advanced Drug Delivery Using Hyperthermia and Intravital Microscopy. Cancers. 2021; 13(20):5146. https://doi.org/10.3390/cancers13205146
Chicago/Turabian StylePriester, Marjolein I., Sergio Curto, Ann L. B. Seynhaeve, Anderson Cruz Perdomo, Mohamadreza Amin, Pierre Agnass, Milad Salimibani, Pegah Faridi, Punit Prakash, Gerard C. van Rhoon, and et al. 2021. "Preclinical Studies in Small Animals for Advanced Drug Delivery Using Hyperthermia and Intravital Microscopy" Cancers 13, no. 20: 5146. https://doi.org/10.3390/cancers13205146
APA StylePriester, M. I., Curto, S., Seynhaeve, A. L. B., Perdomo, A. C., Amin, M., Agnass, P., Salimibani, M., Faridi, P., Prakash, P., van Rhoon, G. C., & ten Hagen, T. L. M. (2021). Preclinical Studies in Small Animals for Advanced Drug Delivery Using Hyperthermia and Intravital Microscopy. Cancers, 13(20), 5146. https://doi.org/10.3390/cancers13205146

