Predicting Radiotherapy Impact on Late Bladder Toxicity in Prostate Cancer Patients: An Observational Study
Abstract
Simple Summary
Abstract
1. Introduction
2. Materials and Methods
Statistical Analysis
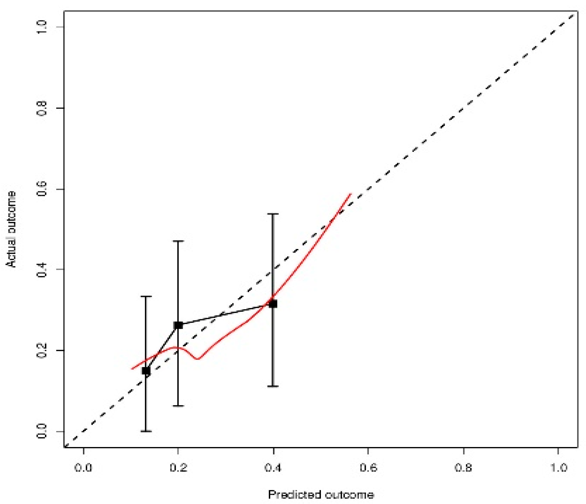
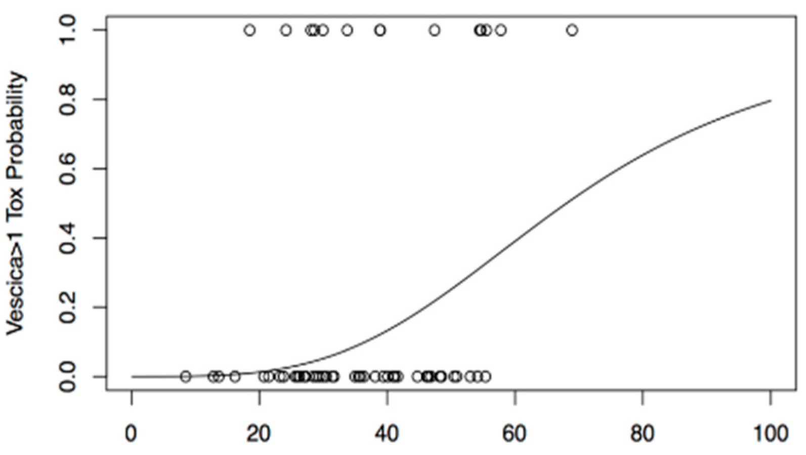
3. Results
3.1. Patients Characteristics
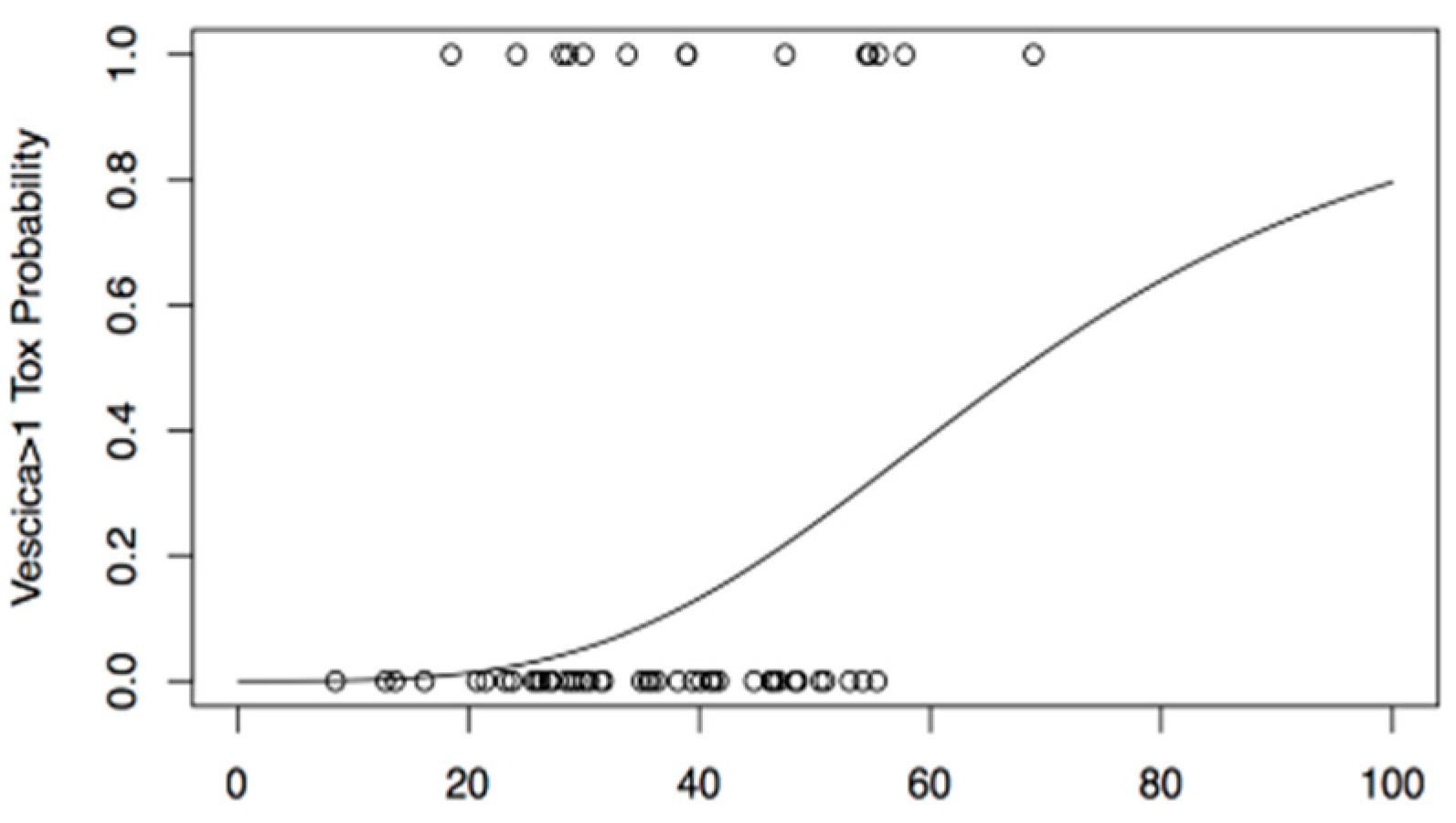
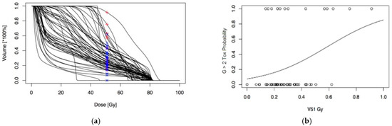
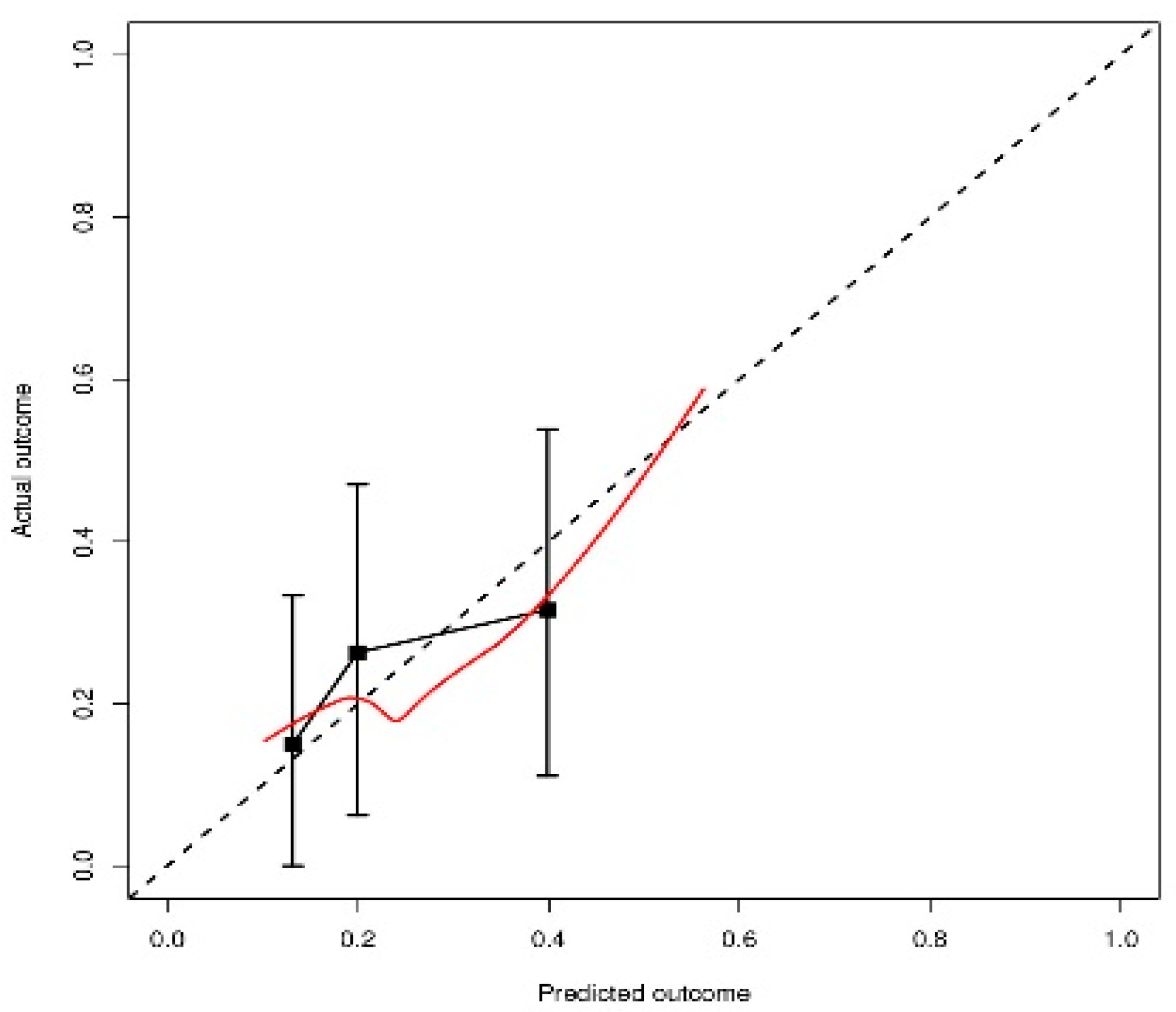
3.2. Analysis of Dosimetric Parameters Late Toxicity
4. Discussion
5. Conclusions
Author Contributions
Funding
Institutional Review Board Statement
Informed Consent Statement
Data Availability Statement
Conflicts of Interest
References
- Arnold, M.; Karim-Kos, H.E.; Coebergh, J.W.; Byrnes, G.; Antilla, A.; Ferlay, J.; Renehan, A.G.; Forman, D.; Soerjomataram, I. Recent trends in incidence of five common cancers in 26 European countries since 1988: Analysis of the European Cancer Observatory. Eur. J. Cancer 2015, 51, 1164–1187. [Google Scholar] [CrossRef]
- Ferlay, J.; Colombet, M.; Soerjomataram, I.; Dyba, T.; Randi, G.; Bettio, M.; Gavin, A.; Visser, O.; Bray, F. Cancer incidence and mortality patterns in Europe: Estimates for 40 countries and 25 major cancers in 2018. Eur. J. Cancer 2018, 103, 356–387. [Google Scholar] [CrossRef]
- Siegel, R.L.; Miller, K.D.; Jemal, A. Cancer statistics 2020. CA Cancer J. Clin. 2020, 70, 7–30. [Google Scholar] [CrossRef]
- National Comprehensive Cancer Network (NCCN). NCCN Clinical Practice Guidelines in Oncology. Prostate Cancer. Version 2. 2020. Available online: https://www.nccn.org/professionals/physician_gls/default.aspx#site (accessed on 27 November 2017).
- Ouzzane, A.; Betrouni, N.; Valerio, M.; Rastinehad, A.; Colin, P.; Ploussard, G. Focal therapy as primary treatment for localized prostate cancer: Definition, needs and future. Future Oncol. 2017, 13, 727–741. [Google Scholar] [CrossRef]
- Sundaram, K.M.; Chang, S.S.; Penson, D.F.; Arora, S. Therapeutic Ultrasound and Prostate Cancer. Semin. Interv. Radiol. 2017, 34, 187–200. [Google Scholar] [CrossRef]
- Colin, P.; Mordon, S.; Nevoux, P.; Marqa, M.F.; Ouzzane, A.; Puech, P.; Bozzini, G.; Leroux, B.; Villers, A.; Betrouni, N. Focal Laser Ablation of Prostate Cancer: Definition, Needs, and Future. Adv. Urol. 2012, 2012, 1–10. [Google Scholar] [CrossRef]
- Mottet, N.; Cornford, P.; van den Bergh, R.C.N.; Briers, E.; De Santis, M.; Fanti, S.; Gillessen, S.; Grummet, J.; Henry, A.M.; Lam, T.B. Guidelines on prostate cancer. Eur. Assoc. Urol. (EAU) 2018, 75, 889–890. [Google Scholar]
- Inokuchi, H.; Mizowaki, T.; Norihisa, Y.; Takayama, K.; Ikeda, I.; Nakamura, K.; Hiraoka, M. Correlation between urinary dose and delayed radiation cystitis after 78 Gy intensity-modulated radiotherapy for high-risk PC: A 10-year follow-up study of genitourinary toxicity in clinical practice. Clin. Transl. Radiat. Oncol. 2017, 6, 31–36. [Google Scholar] [CrossRef]
- Alitto, A.R.; Gatta, R.; Vanneste, B.; Vallati, M.; Meldolesi, E.; Damiani, A.; Lanzotti, V.; Mattiucci, G.C.; Frascino, V.; Masciocchi, C.G.; et al. PRODIGE: PRediction models in PC for personalized meDIcine challenGE. Future Oncol. 2017, 13, 2171–2181. [Google Scholar] [CrossRef]
- Ippolito, E.; Guido, A.; Macchia, G.; Deodato, F.; Giaccherini, L.; Farioli, A.; Arcelli, A.; Cuicchi, D.; Frazzoni, L.; Cilla, S.; et al. Predictive Factors of Late-onset Rectal Mucosal Changes after Radiotherapy of PC. In Vivo 2017, 31, 961–966. [Google Scholar]
- Meldolesi, E.; van Soest, J.; Damiani, A.; Dekker, A.; Alitto, A.R.; Campitelli, M.; Dinapoli, N.; Gatta, R.; Gambacorta, M.A.; Lanzotti, V. Standardized data collection to build prediction models in oncology: A prototype for rectal cancer. Future Oncol. 2016, 12, 119–136. [Google Scholar] [CrossRef] [PubMed]
- Dinapoli, N.; Alitto, A.R.; Vallati, M.; Autorino, R.; Gatta, R.; Boldrini, L.; Damiani, A.; Mantini, G.; Valentini, V. RadioBio data: A Moddicom Module to Predict Tumor Control Probability and Normal Tissue Complication Probability in Radiotherapy. In Proceedings of the 9th International Joint Conference on Biomedical Engineering Systems and Technologies—Volume 5: HEALTHINF, (BIOSTEC 2016), Rome, Italy, 21–23 February 2016; SciTePress: Setúbal, Portugal, 2016; pp. 277–281, ISBN 978-989-758-170-0. Available online: http://eprints.hud.ac.uk/id/eprint/26698 (accessed on 27 November 2017). [CrossRef][Green Version]
- Mantini, G.; Tagliaferri, L.; Mattiucci, G.C.; Balducci, M.; Frascino, V.; Dinapoli, N.; Di Gesù, C.; Ippolito, E.; Morganti, A.G.; Cellini, N.; et al. Effect of Whole Pelvic Radiotherapy for Patients With Locally Advanced PC Treated With Radiotherapy and Long-Term Androgen Deprivation Therapy. Int. J. Radiat. Oncol. Biol. Phys. 2011, 81, 721–726. [Google Scholar] [CrossRef] [PubMed]
- Valentini, A.L.; Gui, B.; D’Agostino, G.R.; Mattiucci, G.; Clementi, V.; Di Molfetta, I.V.; Bonomo, P.; Mantini, G. Locally advanced PC: Three-dimensional magnetic resonance spectroscopy to monitor prostate response to therapy. Int. J. Radiat. Oncol. Biol. Phys. 2012, 84, 719–724. [Google Scholar] [PubMed]
- Cox, J.D.; Stetz, J.; Pajak, T.F. Toxicity criteria of the Radiation Therapy Oncology Group (RTOG) and the European Organization for Research and Treatment of Cancer (EORTC). Int. J. Radiat. Oncol. Biol. Phys. 1995, 31, 1341–1346. [Google Scholar] [CrossRef]
- NIH National Cancer Institute. Common Terminology Criteria for Adverse Events (CTCAE); Version 5.0; 2017. Available online: https://ctep.cancer.gov/protocoldevelopment/electronic_applications/ctc.htm#ctc_50 (accessed on 27 November 2017).
- Niemierko, A. Reporting and analysing dose distributions: A concept of equivalent uniform dose. Med. Phys. 1997, 24, 103–110. [Google Scholar] [CrossRef]
- Gay, H.A.; Niemierko, A. A free program for calculating EUD-based NTCP and TCP in external beam radiotherapy. Phys. Med. 2007, 23, 115–125. [Google Scholar] [CrossRef]
- Wu, Q.; Mohan, R.; Niemierko, A.; Schmidt-Ullrich, R. Optimization of intensity-modulated radiotherapy plans based on the equivalent uniform dose. Int. J. Radiat. Oncol. Biol. Phys. 2002, 52, 224–235. [Google Scholar] [CrossRef]
- Niemierko, A.; Goitre, M. Modeling of normal tissue response to radiation critical volume model. Int. J. Radiat. Oncol. Biol. Phys. 1993, 25, 135–145. [Google Scholar] [CrossRef]
- Niemierko, A.; Goiten, M. Implementation of a model for estimating TCP for an in homogeneously irradiated tumor. Radiother. Oncol. 1993, 29, 140–147. [Google Scholar] [CrossRef]
- Dinapoli, N.; Alitto, A.R.; Vallati, M.; Gatta, R.; Autorino, R.; Boldrini, L.; Damiani, A.; Valentini, V. Moddicom: A complete and easily accessible library for prognostic evaluations relying on image features. Conf. Proc. IEEE Eng. Med. Biol. Soc. 2015, 771–774. [Google Scholar]
- Collins, G.S.; Reitsma, J.B.; Altman, D.G.; Moons, K.G. Transparent Reporting of a multivariable prediction model for Individual Prognosis or Diagnosis (TRIPOD): The TRIPOD statement. Ann. Intern. Med. 2015, 162, 55–63. [Google Scholar] [CrossRef] [PubMed]
- Cheung, M.R.; Tucker, S.L.; Dong, L.; de Crevoisier, R.; Lee, A.K.; Frank, S.; Kudchadker, R.J.; Thames, H.; Mohan, R.; Kuban, D. Investigation of bladder dose and volume factors influencing late urinary toxicity after external beam radiotherapy for prostate cancer. Int. J. Radiat. Oncol. Biol. Phys. 2007, 67, 1059–1065. [Google Scholar] [CrossRef] [PubMed]
- Baradaran-Ghahfarokhi, M. Normal tissue complication probability modeling of radiation-induced bladder complications. J. Radiobiol. 2014, 1, 19–20. [Google Scholar]
- Nguyen, P.L.; Gu, X.; Lipsitz, S.R.; Choueiri, T.K.; Choi, W.W.; Lei, Y.; Hoffman, K.E.; Hu, J.C. Cost implications of the rapid adoption of newer technologies for treating PC. J. Clin. Oncol. 2011, 29, 1517–1524. [Google Scholar] [CrossRef] [PubMed]
- Jacobs, B.L.; Zhang, Y.; Skolarus, T.A.; Wei, J.T.; Montie, J.E.; Miller, D.C.; Hollenbeck, B.K. Comparative effectiveness of external-beam radiation therapy approaches for PC. Eur. Urol. 2014, 65, 162–168. [Google Scholar] [CrossRef] [PubMed][Green Version]
- Pollack, A.; Zagars, G.K.; Starkschall, G.; Antolak, J.A.; Lee, J.J.; Huang, E.; von Eschenbach, A.C.; Kuban, D.A.; Rosen, I. PC radiation dose response: Results of the M. D. Anderson phase III randomized trial. Int. J. Radiat. Oncol. Biol. Phys. 2002, 53, 1097–1105. [Google Scholar] [CrossRef]
- Peeters, S.T.; Heemsbergen, W.D.; Koper, P.C.; van Putten, W.L.; Slot, A.; Dielwart, M.F.; Bonfrer, J.M.; Incrocci, L.; Lebesque, J.V. Dose-response in radiotherapy for localized PC: Results of the Dutch multicenter randomized phase III trial comparing 68 Gy of radiotherapy with 78 Gy. J. Clin. Oncol. 2006, 24, 1990–1996. [Google Scholar] [CrossRef] [PubMed]
- Zietman, A.L.; DeSilvio, M.L.; Slater, J.D.; Rossi, C.J.; Miller, D.W.; Adams, J.A.; Shipley, W.U. Comparison of conventional-dose vs high-dose conformal radiation therapy in clinically localized adenocarcinoma of the prostate: A randomized controlled trial. JAMA 2005, 294, 1233–1239. [Google Scholar] [CrossRef]
- Kuban, D.A.; Tucker, S.L.; Dong, L.; Starkschall, G.; Huang, E.H.; Cheung, M.R.; Lee, A.K.; Pollack, A. Long-term results of the M. D. Anderson randomized dose-escalation trial for prostate cancer. Int. J. Radiat. Oncol. Biol. Phys. 2008, 70, 67–74. [Google Scholar] [CrossRef]
- Michalski, J.M.; Gay, H.; Jackson, A.; Tucker, S.L.; Deasy, J.O. Radiation Dose–Volume Effects in Radiation-Induced Rectal Injury. Int. J. Radiat. Oncol. Biol. Phys. 2010, 76, S123–S129. [Google Scholar] [CrossRef]
- Sveistrup, J.; Widmark, A.; Fransson, P.; Iversen, P.; Munck Af Rosenschöld, P.; Engelholm, S.A.; Petersen, P.M. Prospective assessment of urinary, gastrointestinal and sexual symptoms before, during and after image-guided volumetric modulated arc therapy for prostate cancer. Scand. J. Urol. 2015, 49, 58–69. [Google Scholar] [CrossRef] [PubMed]
- Viani, G.A.; Viana, B.S.; Martin, J.E.; Rossi, B.T.; Zuliani, G.; Stefano, E.J. Intensity-modulated radiotherapy reduces toxicity with similar biochemical control compared with 3-dimensional conformal radiotherapy for prostate cancer: A randomized clinical trial. Cancer 2016, 122, 2004–2011. [Google Scholar] [CrossRef] [PubMed]
- Valdagni, R.; Rancati, T.; Fiorino, C. Predictive models of toxicity with external radiotherapy for prostate cancer: Clinical issues. Cancer 2009, 115 (Suppl. 13), 3141–3149. [Google Scholar] [CrossRef] [PubMed]
- Zelefsky, M.J.; Levin, E.J.; Hunt, M.; Yamada, Y.; Shippy, A.M.; Jackson, A.; Amols, H.I. Incidence of late rectal and urinary toxicities after three-dimensional conformal radiotherapy and intensity modulated radiotherapy for localized prostate cancer. Int. J. Radiat. Oncol. Biol. Phys. 2008, 70, 1124–1129. [Google Scholar] [CrossRef] [PubMed]
- Lambin, P.; Zindler, J.; Vanneste, B.; De Voorde, L.V.; Eekers, D.; Compter, I.; Panth, K.M.; Peerlings, J.; Larue, R.T.; Deist, T.M.; et al. Decision support systems for personalized and participative radiation oncology. Adv. Drug Deliv. Rev. 2017, 109, 131–153. [Google Scholar] [CrossRef] [PubMed]
- De Langhe, S.; De Meerleer, G.; De Ruyck, K.; Ost, P.; Fonteyne, V.; De Neve, W.; Thierens, H. Integrated models for the prediction of late genitourinary complaints after high-dose intensity modulated radiotherapy for prostate cancer: Making informed decisions. Radiother. Oncol. 2014, 112, 95–99. [Google Scholar] [CrossRef] [PubMed]
- Fiorino, C.; Valdagni, R.; Rancati, T.; Sanguineti, G. Dose–volume effects for normal tissues in external radiotherapy: Pelvis. Radiother. Oncol. 2009, 93, 153–167. [Google Scholar] [CrossRef]
- Alitto, A.R.; Gatta, R.; Meldolesi, E.; Masciocchi, C.; Damiani, A.; Lanzotti, V.; Valentini, V.; Mantini, G. Personalized Medicine in prostate cancer: Future Perspectives for Tailored Treatments. J. Cancer Prev. Curr. Res. 2015, 3, 00092. [Google Scholar]
- Gruber, T.R. Toward Principles for the Design of Ontologies Used for Knowledge Sharing. Int. J. Hum. Comput. Stud. 1995, 43, 907–928. [Google Scholar] [CrossRef]
- Gamberger, D.; Prcela, M.; Jovic, A. Semantic web ontology utilization for heart failure expert system design. Stud. Health Technol. Inform. 2008, 136, 851–856. [Google Scholar]






| Patients (n°) | 175 |
| Age (years; median (min–max)) | 72 (53–86) |
| T Stage (%) | |
| T1 (a and b) | 1.14% |
| T2 (a and c) | 8.57% |
| T3a | 56.57% |
| T3b | 33.71% |
| Gleason Score Grade Groups (n°) | |
| Grade 1 | 42.3% |
| Grade 2 | 29.7% |
| Grade 3 | 12.6% |
| Grade 4 | 11.4% |
| Grade 5 | 4% |
| PSA level (ng/mL (n°)) | |
| <10 | 66.3% |
| 10–20 | 22.3% |
| >20 | 11.4% |
| Androgen deprivation therapy (ADT (n°)) | |
| Yes | 96% |
| No | 4% |
| Follow-up Median (months; median (min–max)) | 39.00 (3.00–113.00) |
| Bladder Toxicity | RTOG Score | CTC Score | N. (%) TOT 175 Pts | Score Description |
|---|---|---|---|---|
| G0 | 118 (67.43%) | Absent | ||
| G1 | 1 | 43 (24.57%) | Mild frequency increasing microscopic hematuria | |
| G2 | 2 | 9 (5.14%) | Moderate frequency, intermittent hematuria | |
| G3 | 3 | 4 (2.29%) | Severe frequency and dysuria, frequent hematuria | |
| G4 | 4 | 1 (0.57%) | Severe hemorrhagic cystitis |
| V51 Volume (%) | Risk of GU Tox. ≥ 2 |
|---|---|
| <8% | <10% |
| <26.5% | <20% |
| <59% | <50% |
Publisher’s Note: MDPI stays neutral with regard to jurisdictional claims in published maps and institutional affiliations. |
© 2021 by the authors. Licensee MDPI, Basel, Switzerland. This article is an open access article distributed under the terms and conditions of the Creative Commons Attribution (CC BY) license (http://creativecommons.org/licenses/by/4.0/).
Share and Cite
Catucci, F.; Alitto, A.R.; Masciocchi, C.; Dinapoli, N.; Gatta, R.; Martino, A.; Mazzarella, C.; Fionda, B.; Frascino, V.; Piras, A.; et al. Predicting Radiotherapy Impact on Late Bladder Toxicity in Prostate Cancer Patients: An Observational Study. Cancers 2021, 13, 175. https://doi.org/10.3390/cancers13020175
Catucci F, Alitto AR, Masciocchi C, Dinapoli N, Gatta R, Martino A, Mazzarella C, Fionda B, Frascino V, Piras A, et al. Predicting Radiotherapy Impact on Late Bladder Toxicity in Prostate Cancer Patients: An Observational Study. Cancers. 2021; 13(2):175. https://doi.org/10.3390/cancers13020175
Chicago/Turabian StyleCatucci, Francesco, Anna Rita Alitto, Carlotta Masciocchi, Nicola Dinapoli, Roberto Gatta, Antonella Martino, Ciro Mazzarella, Bruno Fionda, Vincenzo Frascino, Antonio Piras, and et al. 2021. "Predicting Radiotherapy Impact on Late Bladder Toxicity in Prostate Cancer Patients: An Observational Study" Cancers 13, no. 2: 175. https://doi.org/10.3390/cancers13020175
APA StyleCatucci, F., Alitto, A. R., Masciocchi, C., Dinapoli, N., Gatta, R., Martino, A., Mazzarella, C., Fionda, B., Frascino, V., Piras, A., D’Aviero, A., Preziosi, F., Palazzoni, G., Valentini, V., & Mantini, G. (2021). Predicting Radiotherapy Impact on Late Bladder Toxicity in Prostate Cancer Patients: An Observational Study. Cancers, 13(2), 175. https://doi.org/10.3390/cancers13020175

