Clinical and Lifestyle-Related Prognostic Indicators among Esophageal Adenocarcinoma Patients Receiving Treatment at a Comprehensive Cancer Center
Abstract
Simple Summary
Abstract
1. Introduction
2. Materials and Methods
2.1. Study Population
2.2. Data Sources
2.3. Statistical Analysis
2.4. Exploratory Analysis
3. Results
3.1. Study Participant Characteristics
3.2. Localized/Regional Tumors
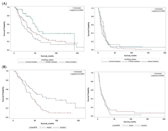
3.3. Advanced/Metastatic Tumors
3.4. Exploratory Analyses
4. Discussion
5. Conclusions
Supplementary Materials
Author Contributions
Funding
Institutional Review Board Statement
Informed Consent Statement
Data Availability Statement
Acknowledgments
Conflicts of Interest
References
- Pennathur, A.; Gibson, M.K.; Jobe, B.A.; Luketich, J.D. Oesophageal carcinoma. Lancet 2013, 381, 400–412. [Google Scholar] [CrossRef]
- Bray, F.; Ferlay, J.; Soerjomataram, I.; Siegel, R.L.; Torre, L.A.; Jemal, A. Global cancer statistics 2018: GLOBOCAN estimates of incidence and mortality worldwide for 36 cancers in 185 countries. CA Cancer J. Clin. 2018, 68, 394–424. [Google Scholar] [CrossRef]
- Cook, M.B.; Chow, W.H.; Devesa, S.S. Oesophageal cancer incidence in the United States by race, sex, and histologic type, 1977–2005. Br. J. Cancer 2009, 101, 855–859. [Google Scholar] [CrossRef]
- Smyth, E.C.; Lagergren, J.; Fitzgerald, R.C.; Lordick, F.; Shah, M.A.; Lagergren, P.; Cunningham, D. Oesophageal cancer. Nat. Rev. Dis. Primers 2017, 3, 17048. [Google Scholar] [CrossRef]
- Coleman, H.G.; Xie, S.H.; Lagergren, J. The Epidemiology of Esophageal Adenocarcinoma. Gastroenterology 2018, 154, 390–405. [Google Scholar] [CrossRef]
- Peters, Y.; Al-Kaabi, A.; Shaheen, N.J.; Chak, A.; Blum, A.; Souza, R.F.; Di Pietro, M.; Iyer, P.G.; Pech, O.; Fitzgerald, R.C.; et al. Barrett oesophagus. Nat. Rev. Dis. Primers 2019, 5, 35. [Google Scholar] [CrossRef]
- Buas, M.F.; He, Q.; Johnson, L.G.; Onstad, L.; Levine, D.M.; Thrift, A.P.; Gharahkhani, P.; Palles, C.; Lagergren, J.; Fitzgerald, R.C.; et al. Germline variation in inflammation-related pathways and risk of Barrett’s oesophagus and oesophageal adenocarcinoma. Gut 2017, 66, 1739–1747. [Google Scholar] [CrossRef]
- Dighe, S.G.; Chen, J.; Yan, L.; He, Q.; Gharahkhani, P.; Onstad, L.; Levine, D.M.; Palles, C.; Ye, W.; Gammon, M.D.; et al. Germline variation in the insulin-like growth factor pathway and risk of Barrett’s esophagus and esophageal adenocarcinoma. Carcinogenesis 2021, 42, 369–377. [Google Scholar] [CrossRef] [PubMed]
- Gharahkhani, P.; Fitzgerald, R.C.; Vaughan, T.L.; Palles, C.; Gockel, I.; Tomlinson, I.; Buas, M.F.; May, A.; Gerges, C.; Anders, M.; et al. Genome-wide association studies in oesophageal adenocarcinoma and Barrett’s oesophagus: A large-scale meta-analysis. Lancet Oncol. 2016, 17, 1363–1373. [Google Scholar] [CrossRef]
- Njei, B.; McCarty, T.R.; Birk, J.W. Trends in esophageal cancer survival in United States adults from 1973 to 2009: A SEER database analysis. J. Gastroenterol. Hepatol. 2016, 31, 1141–1146. [Google Scholar] [CrossRef] [PubMed]
- Kim, E.; Koroukian, S.; Thomas, C.R., Jr. Conditional Survival of Esophageal Cancer: An Analysis from the SEER Registry (1988–2011). J. Thorac. Oncol. 2015, 10, 1490–1497. [Google Scholar] [CrossRef] [PubMed]
- Thrift, A.P.; Nagle, C.M.; Fahey, P.P.; Smithers, B.M.; Watson, D.I.; Whiteman, D.C. Predictors of survival among patients diagnosed with adenocarcinoma of the esophagus and gastroesophageal junction. Cancer Causes Control CCC 2012, 23, 555–564. [Google Scholar] [CrossRef] [PubMed]
- Rouvelas, I.; Zeng, W.; Lindblad, M.; Viklund, P.; Ye, W.; Lagergren, J. Survival after surgery for oesophageal cancer: A population-based study. Lancet Oncol. 2005, 6, 864–870. [Google Scholar] [CrossRef]
- Sjoquist, K.M.; Burmeister, B.H.; Smithers, B.M.; Zalcberg, J.R.; Simes, R.J.; Barbour, A.; Gebski, V. Survival after neoadjuvant chemotherapy or chemoradiotherapy for resectable oesophageal carcinoma: An updated meta-analysis. Lancet Oncol. 2011, 12, 681–692. [Google Scholar] [CrossRef]
- Di Corpo, M.; Schlottmann, F.; Strassle, P.D.; Nurczyk, K.; Patti, M.G. Treatment Modalities for Esophageal Adenocarcinoma in the United States: Trends and Survival Outcomes. J. Laparoendosc. Adv. Surg. Techniques Part A 2019, 29, 989–994. [Google Scholar] [CrossRef] [PubMed]
- McCain, R.S.; McManus, D.T.; McQuaid, S.; James, J.A.; Salto-Tellez, M.; Reid, N.B.; Craig, S.; Chisambo, C.; Bingham, V.; McCarron, E.; et al. Alcohol intake, tobacco smoking, and esophageal adenocarcinoma survival: A molecular pathology epidemiology cohort study. Cancer Causes Control CCC 2020, 31, 1–11. [Google Scholar] [CrossRef]
- Spreafico, A.; Coate, L.; Zhai, R.; Xu, W.; Chen, Z.F.; Chen, Z.; Patel, D.; Tse, B.; Brown, M.C.; Heist, R.S.; et al. Early adulthood body mass index, cumulative smoking, and esophageal adenocarcinoma survival. Cancer Epidemiol. 2017, 47, 28–34. [Google Scholar] [CrossRef] [PubMed]
- Sundelof, M.; Lagergren, J.; Ye, W. Patient demographics and lifestyle factors influencing long-term survival of oesophageal cancer and gastric cardia cancer in a nationwide study in Sweden. Eur. J. Cancer 2008, 44, 1566–1571. [Google Scholar] [CrossRef]
- Trivers, K.F.; de Roos, A.J.; Gammon, M.D.; Vaughan, T.L.; Risch, H.A.; Olshan, A.F.; Schoenberg, J.B.; Mayne, S.T.; Dubrow, R.; Stanford, J.L.; et al. Demographic and lifestyle predictors of survival in patients with esophageal or gastric cancers. Clin. Gastroenterol. Hepatol. 2005, 3, 225–230. [Google Scholar] [CrossRef]
- Chow, W.-H.; Blot, W.J.; Vaughan, T.L.; Risch, H.A.; Gammon, M.D.; Stanford, J.L.; Dubrow, R.; Schoenberg, J.B.; Mayne, S.T.; Farrow, D.C.; et al. Body Mass Index and Risk of Adenocarcinomas of the Esophagus and Gastric Cardia. JNCI J. Natl. Cancer Inst. 1998, 90, 150–155. [Google Scholar] [CrossRef]
- Lee, Y.Y.; McColl, K.E.L. Disruption of the gastroesophageal junction by central obesity and waist belt: Role of raised intra-abdominal pressure. Dis. Esophagus 2015, 28, 318–325. [Google Scholar] [CrossRef] [PubMed]
- Zhang, S.S.; Yang, H.; Luo, K.J.; Huang, Q.Y.; Chen, J.Y.; Yang, F.; Cai, X.L.; Xie, X.; Liu, Q.W.; Bella, A.E.; et al. The impact of body mass index on complication and survival in resected oesophageal cancer: A clinical-based cohort and meta-analysis. Br. J. Cancer 2013, 109, 2894–2903. [Google Scholar] [CrossRef] [PubMed]
- Madani, K.; Zhao, R.; Lim, H.J.; Casson, S.M.; Casson, A.G. Obesity is not associated with adverse outcome following surgical resection of oesophageal adenocarcinoma. Eur. J. Cardio-Thorac. Surg. 2010, 38, 604–608. [Google Scholar] [CrossRef] [PubMed]
- Holmberg, D.; Ness-Jensen, E.; Mattsson, F.; Lagergren, J. Endoscopy for gastroesophageal reflux disease and survival in esophageal adenocarcinoma. Int. J. Cancer 2019, 147, 93–99. [Google Scholar] [CrossRef] [PubMed]
- Cannioto, R.A.; Dighe, S.; Mahoney, M.C.; Moysich, K.B.; Sen, A.; Hulme, K.; McCann, S.E.; Ambrosone, C.B. Habitual recreational physical activity is associated with significantly improved survival in cancer patients: Evidence from the Roswell Park Data Bank and BioRepository. Cancer Causes Control CCC 2019, 30, 1–12. [Google Scholar] [CrossRef] [PubMed]
- Sun, L.-P.; Yan, L.-B.; Liu, Z.-Z.; Zhao, W.-J.; Zhang, C.-X.; Chen, Y.-M.; Lao, X.Q.; Liu, X. Dietary factors and risk of mortality among patients with esophageal cancer: A systematic review. BMC Cancer 2020, 20, 287. [Google Scholar] [CrossRef] [PubMed]
- Alexandre, L.; Clark, A.B.; Bhutta, H.Y.; Chan, S.S.; Lewis, M.P.; Hart, A.R. Association Between Statin Use After Diagnosis of Esophageal Cancer and Survival: A Population-Based Cohort Study. Gastroenterology 2016, 150, 854–865.e1. [Google Scholar] [CrossRef] [PubMed]
- Nguyen, T.; Khan, A.; Liu, Y.; El-Serag, H.B.; Thrift, A.P. The Association Between Statin Use After Diagnosis and Mortality Risk in Patients With Esophageal Cancer: A Retrospective Cohort Study of United States Veterans. Am. J. Gastroenterol. 2018, 113, 1310. [Google Scholar] [CrossRef]
- Berry, M.F. Esophageal cancer: Staging system and guidelines for staging and treatment. J. Thorac. Dis. 2014, 6 (Suppl. 3), S289–S297. [Google Scholar] [CrossRef]
- Rosen, R.D.; Sapra, A. TNM Classification. In StatPearls [Internet]; Updated 23 February 2021; StatPearls Publishing: Treasure Island, FL, USA, 2021. Available online: https://www.ncbi.nlm.nih.gov/books/NBK553187/ (accessed on 6 January 2021).
- Gebhardt, S.E.; Pehrsson, P.R.; Cutrufelli, R.L.; Lemar, L.E.; Howe, J.C.; Haytowitz, D.B.; Nickle, M.S.; Holcomb, G.T.; Showell, B.A.; Thomas, R.G.; et al. Usda National Nutrient Database for Standard Reference, Release 20. USDA National Nutrient Database for Standard Reference. Available online: www.ars.udsda.gov/nutrientdata (accessed on 6 January 2021).
- Satia-Abouta, J.; Patterson, R.E.; King, I.B.; Stratton, K.L.; Shattuck, A.L.; Kristal, A.R.; Potter, J.D.; Thornquist, M.D.; White, E. Reliability and validity of self-report of vitamin and mineral supplement use in the vitamins and lifestyle study. Am. J. Epidemiol. 2003, 157, 944–954. [Google Scholar] [CrossRef]
- White, E.; Patterson, R.E.; Kristal, A.R.; Thornquist, M.; King, I.; Shattuck, A.L.; Evans, I.; Satia-Abouta, J.; Littman, A.J.; Potter, J.D. VITamins And Lifestyle cohort study: Study design and characteristics of supplement users. Am. J. Epidemiol. 2004, 159, 83–93. [Google Scholar] [CrossRef]
- Ambrosone, C.B.; Zirpoli, G.R.; Hutson, A.D.; McCann, W.E.; McCann, S.E.; Barlow, W.E.; Kelly, K.M.; Cannioto, R.; Sucheston-Campbell, L.E.; Hershman, D.L.; et al. Dietary Supplement Use During Chemotherapy and Survival Outcomes of Patients With Breast Cancer Enrolled in a Cooperative Group Clinical Trial (SWOG S0221). J. Clin. Oncol. Off. J. Am. Soc. Clin. Oncol. 2020, 38, 804–814. [Google Scholar] [CrossRef] [PubMed]
- Cannioto, R.A.; Hutson, A.; Dighe, S.; McCann, W.; McCann, S.E.; Zirpoli, G.R.; Barlow, W.; Kelly, K.M.; DeNysschen, C.A.; Hershman, D.L.; et al. Physical Activity Before, During, and After Chemotherapy for High-Risk Breast Cancer: Relationships With Survival. JNCI J. Natl. Cancer Inst. 2021, 113, 54–63. [Google Scholar] [CrossRef]
- Luc, L.; Baumgart, C.; Weiss, E.; Georger, L.; Ambrosone, C.B.; Zirpoli, G.; McCann, S.E. Dietary supplement use among participants of a databank and biorepository at a comprehensive cancer centre. Public Health Nutr. 2015, 18, 916–926. [Google Scholar] [CrossRef] [PubMed]
- Zhu, Y.; Yang, S.R.; Wang, P.P.; Savas, S.; Wish, T.; Zhao, J.; Green, R.; Woods, M.; Sun, Z.; Roebothan, B.; et al. Influence of pre-diagnostic cigarette smoking on colorectal cancer survival: Overall and by tumour molecular phenotype. Br. J. Cancer 2014, 110, 1359–1366. [Google Scholar] [CrossRef] [PubMed][Green Version]
- Cook, M.B.; Kamangar, F.; Whiteman, D.C.; Freedman, N.D.; Gammon, M.D.; Bernstein, L.; Brown, L.M.; Risch, H.A.; Ye, W.; Sharp, L.; et al. Cigarette Smoking and Adenocarcinomas of the Esophagus and Esophagogastric Junction: A Pooled Analysis From the International BEACON Consortium. JNCI J. Natl. Cancer Inst. 2010, 102, 1344–1353. [Google Scholar] [CrossRef]
- Warren, G.W.; Kasza, K.A.; Reid, M.E.; Cummings, K.M.; Marshall, J.R. Smoking at diagnosis and survival in cancer patients. Int. J. Cancer 2013, 132, 401–410. [Google Scholar] [CrossRef] [PubMed]
- Friedenreich, C.M.; Ryder-Burbidge, C.; McNeil, J. Physical activity, obesity and sedentary behavior in cancer etiology: Epidemiologic evidence and biologic mechanisms. Mol. Oncol. 2021, 15, 790–800. [Google Scholar] [CrossRef]
- McTiernan, A. Mechanisms linking physical activity with cancer. Nat. Rev. Cancer 2008, 8, 205–211. [Google Scholar] [CrossRef]
- Jankowski, J.A.Z.; de Caestecker, J.; Love, S.B.; Reilly, G.; Watson, P.; Sanders, S.; Ang, Y.; Morris, D.; Bhandari, P.; Brooks, C.; et al. Esomeprazole and aspirin in Barrett’s oesophagus (AspECT): A randomised factorial trial. Lancet 2018, 392, 400–408. [Google Scholar] [CrossRef]
- Kantor, E.D.; Onstad, L.; Blount, P.L.; Reid, B.J.; Vaughan, T.L. Use of statin medications and risk of esophageal adenocarcinoma in persons with Barrett’s esophagus. Cancer Epidemiol. Biomark. Prev. 2012, 21, 456–461. [Google Scholar] [CrossRef]
- Loomans-Kropp, H.A.; Chaloux, M.; Richmond, E.; Umar, A. Association of Common Use Pharmaceuticals in Reducing Risk of Esophageal Adenocarcinoma: A SEER-Medicare Analysis. Cancer Prev. Res. 2021, 14, 195–204. [Google Scholar] [CrossRef]
- Vaughan, T.L.; Dong, L.M.; Blount, P.L.; Ayub, K.; Odze, R.D.; Sanchez, C.A.; Rabinovitch, P.S.; Reid, B.J. Non-steroidal anti-inflammatory drugs and risk of neoplastic progression in Barrett’s oesophagus: A prospective study. Lancet Oncol. 2005, 6, 945–952. [Google Scholar] [CrossRef]
- Van Staalduinen, J.; Frouws, M.; Reimers, M.; Bastiaannet, E.; van Herk-Sukel, M.P.P.; Lemmens, V.; de Steur, W.O.; Hartgrink, H.H.; van de Velde, C.J.H.; Liefers, G.-J. The effect of aspirin and nonsteroidal anti-inflammatory drug use after diagnosis on survival of oesophageal cancer patients. Br. J. Cancer 2016, 114, 1053–1059. [Google Scholar] [CrossRef] [PubMed][Green Version]
- Wong, R.S.Y. Role of Nonsteroidal Anti-Inflammatory Drugs (NSAIDs) in Cancer Prevention and Cancer Promotion. Adv. Pharmacol. Sci. 2019, 2019, 3418975. [Google Scholar] [CrossRef] [PubMed]
- Galipeau, P.C.; Oman, K.M.; Paulson, T.G.; Sanchez, C.A.; Zhang, Q.; Marty, J.A.; Delrow, J.J.; Kuhner, M.K.; Vaughan, T.L.; Reid, B.J.; et al. NSAID use and somatic exomic mutations in Barrett’s esophagus. Genome Med. 2018, 10, 17. [Google Scholar] [CrossRef]
- Zhao, X.; Xu, Z.; Li, H. NSAIDs Use and Reduced Metastasis in Cancer Patients: Results from a meta-analysis. Sci. Rep. 2017, 7, 1875. [Google Scholar] [CrossRef]
- Di Bello, E.; Zwergel, C.; Mai, A.; Valente, S. The Innovative Potential of Statins in Cancer: New Targets for New Therapies. Front. Chem. 2020, 8, 516. [Google Scholar] [CrossRef]
- Lin, J.J.; Ezer, N.; Sigel, K.; Mhango, G.; Wisnivesky, J.P. The effect of statins on survival in patients with stage IV lung cancer. Lung Cancer 2016, 99, 137–142. [Google Scholar] [CrossRef]
- Loehrer, E.A.; Giovannucci, E.L.; Betensky, R.A.; Shafer, A.; Christiani, D.C. Prediagnostic adult body mass index change and esophageal adenocarcinoma survival. Cancer Med. 2020, 9, 3613–3622. [Google Scholar] [CrossRef]
- Li, N.; Petrick, J.L.; Steck, S.E.; Bradshaw, P.T.; McClain, K.M.; Niehoff, N.M.; Engel, L.S.; Shaheen, N.J.; Risch, H.A.; Vaughan, T.L.; et al. A pooled analysis of dietary sugar/carbohydrate intake and esophageal and gastric cardia adenocarcinoma incidence and survival in the USA. Int. J. Epidemiol. 2017, 46, 1836–1846. [Google Scholar] [CrossRef] [PubMed]
- Petrick, J.L.; Steck, S.E.; Bradshaw, P.T.; Trivers, K.F.; Abrahamson, P.E.; Engel, L.S.; He, K.; Chow, W.H.; Mayne, S.T.; Risch, H.A.; et al. Dietary intake of flavonoids and oesophageal and gastric cancer: Incidence and survival in the United States of America (USA). Br. J. Cancer 2015, 112, 1291. [Google Scholar] [CrossRef] [PubMed]
- Tang, L.; Zirpoli, G.R.; Guru, K.; Moysich, K.B.; Zhang, Y.; Ambrosone, C.B.; McCann, S.E. Intake of Cruciferous Vegetables Modifies Bladder Cancer Survival. Cancer Epidemiol. Biomark. 2010, 19, 1806. [Google Scholar] [CrossRef] [PubMed]
- Farvid, M.S.; Holmes, M.D.; Chen, W.Y.; Rosner, B.A.; Tamimi, R.M.; Willett, W.C.; Eliassen, A.H. Postdiagnostic Fruit and Vegetable Consumption and Breast Cancer Survival: Prospective Analyses in the Nurses Health Studies. Cancer Res. 2020, 80, 5134. [Google Scholar] [CrossRef] [PubMed]
- Jayedi, A.; Emadi, A.; Khan, T.A.; Abdolshahi, A.; Shab-Bidar, S. Dietary Fiber and Survival in Women with Breast Cancer: A Dose-Response Meta-Analysis of Prospective Cohort Studies. Nutr. Cancer 2020, 73, 1570–1580. [Google Scholar] [CrossRef] [PubMed]
- Song, M.; Wu, K.; Meyerhardt, J.A.; Ogino, S.; Wang, M.; Fuchs, C.S.; Giovannucci, E.L.; Chan, A.T. Fiber Intake and Survival After Colorectal Cancer Diagnosis. JAMA Oncol. 2018, 4, 71–79. [Google Scholar] [CrossRef]
- Harris, P.A.; Taylor, R.; Thielke, R.; Payne, J.; Gonzalez, N.; Conde, J.G. Research electronic data capture (REDCap)—A metadata-driven methodology and workflow process for providing translational research informatics support. J. Biomed. Inform. 2009, 42, 377–381. [Google Scholar] [CrossRef]


| n | Mean (SD) or % | ||
|---|---|---|---|
| Age at diagnosis | 371 | 64.6 (10.4) | |
| <50 years | 28 | 7.5 | |
| 50–70 years | 228 | 61.5 | |
| >70 years | 115 | 31.0 | |
| Sex | Female | 52 | 14.0 |
| Male | 319 | 86.0 | |
| Race | White | 349 | 94.1 |
| Black | 6 | 1.6 | |
| Other/not defined | 16 | 4.3 | |
| BMI (kg/m2) | <24.99 | 89 | 24.4 |
| 25–29.99 | 120 | 32.9 | |
| >30 | 156 | 42.7 | |
| Smoking status | Never | 73 | 20.1 |
| Former | 212 | 58.4 | |
| Current | 78 | 21.5 | |
| Smoking pack-years | 0–15 | 49 | 21.9 |
| (ever smokers) | 15–30 | 47 | 21.0 |
| 30–45 | 52 | 23.2 | |
| >45 | 76 | 33.9 | |
| Alcohol use | Never | 61 | 18.5 |
| Social drinker | 201 | 61.1 | |
| Heavy drinker | 67 | 20.4 | |
| Physical activity: Pre-diagnostic * | No | 120 | 69.8 |
| (moderate/vigorous) | Yes | 52 | 30.2 |
| Physical activity: Current * | No | 88 | 50.9 |
| Yes | 85 | 49.1 | |
| Comorbidities | None | 124 | 33.4 |
| One or more | 247 | 66.6 | |
| H/o antacid use | No | 136 | 37.1 |
| Yes | 231 | 62.9 | |
| H/o statin use | No | 212 | 57.8 |
| Yes | 155 | 42.2 | |
| H/o NSAID use | No | 237 | 64.6 |
| Yes | 130 | 35.4 | |
| Education * | High school | 80 | 46.5 |
| Some college | 58 | 33.7 | |
| College/advanced degree | 34 | 19.8 | |
| Family history of EC | No | 352 | 96.2 |
| Yes | 14 | 3.8 | |
| Family history: other cancers | No | 125 | 34.2 |
| Yes | 241 | 65.8 | |
| n | Mean (SD) or % | ||
|---|---|---|---|
| Tumor location | Upper third | 1 | 0.3 |
| Middle third | 17 | 4.6 | |
| Lower third | 235 | 64.0 | |
| GEJ/cardia | 114 | 31.1 | |
| Stage at diagnosis | I | 53 | 14.8 |
| II | 64 | 17.9 | |
| III | 96 | 26.8 | |
| IV | 145 | 40.5 | |
| Grade | Well differentiated | 13 | 3.6 |
| Moderately differentiated | 165 | 45.2 | |
| Poorly differentiated | 187 | 51.2 | |
| Vital status ** | Alive | 103 | 27.8 |
| Deceased | 267 | 72.2 | |
| Median survival (months) ** | 370 | 20 (33.1) | |
| Cause of death ** | EAC/complications | 205 | 76.8 |
| Other causes | 21 | 7.9 | |
| Unknown | 41 | 15.4 | |
| Endoscopic therapy (PDT/EMR/RFA) | No | 317 | 87.6 |
| Yes | 45 | 12.4 | |
| Surgical treatment | No | 220 | 60.6 |
| Yes | 143 | 39.4 | |
| Type of surgery | Standard esophagectomy | 57 | 41.0 |
| Minimally invasive | 82 | 59.0 | |
| Neoadjuvant therapy | No | 14 | 9.9 |
| Yes | 128 | 90.1 | |
| Type of neoadjuvant | Chemoradiation | 123 | 96.1 |
| Chemotherapy only | 5 | 3.9 | |
| Any chemotherapy | No | 80 | 22.3 |
| (excluding neo-adjuvant) | Yes | 278 | 77.7 |
| Any radiation | No | 238 | 66.7 |
| (excluding neo-adjuvant) | Yes | 119 | 33.3 |
| Localized/Regional (Stage I, II, III) (n = 213) Adjusted All-Cause Mortality * | Advanced/Metastatic (Stage IV) (n = 145) Adjusted All-Cause Mortality ** | ||||||||||
|---|---|---|---|---|---|---|---|---|---|---|---|
| Deaths/ Total | HR | 95% CI | p Value | Deaths/ Total | HR | 95% CI | p Value | ||||
| LL | UL | LL | UL | ||||||||
| Smoking history | Never Former Current | 20/44 72/113 37/48 | Ref 1.54 2.54 | 0.93 1.42 | 2.56 4.53 | 0.097 0.002 | 24/26 80/88 22/25 | Ref 1.20 0.87 | 0.72 0.47 | 1.98 1.61 | 0.484 0.642 |
| Smoking pack-years (ever smokers) | <15 15-29 30-44 45+ | 17/26 18/25 22/31 31/42 | Ref 0.82 0.89 1.02 | 0.39 0.53 0.53 | 1.61 1.99 1.87 | 0.524 0.927 0.980 | 17/20 17/18 14/19 29/30 | Ref 1.86 0.99 0.82 | 0.90 0.45 0.41 | 3.83 2.16 1.65 | 0.094 0.972 0.579 |
| Alcohol use | Never Social drinker Heavy drinker | 26/36 71/110 23/37 | Ref 0.81 0.75 | 0.51 0.41 | 1.29 1.37 | 0.370 0.341 | 23/24 73/81 23/24 | Ref 1.01 0.89 | 0.62 0.49 | 1.64 1.61 | 0.965 0.699 |
| BMI | <25.0 25–29.99 30+ | 32/45 45/66 53/96 | Ref 0.84 0.79 | 0.53 0.50 | 1.34 1.24 | 0.465 0.305 | 33/37 44/49 51/55 | Ref 0.76 1.34 | 0.47 0.86 | 1.21 2.10 | 0.242 0.198 |
| Physical activity: Pre-diagnostic (moderate/vigorous) | No Yes | 48/61 21/34 | Ref 0.69 | 0.39 | 1.21 | 0.197 | 48/52 17/18 | Ref 0.89 | 0.51 | 1.56 | 0.628 |
| Physical activity: Current | No Yes | 40/46 30/50 | Ref 0.58 | 0.35 | 0.96 | 0.035 | 33/37 32/33 | Ref 1.17 | 0.70 | 1.96 | 0.550 |
| Prior antacid use | No Yes | 43/72 87/135 | Ref 1.09 | 0.75 | 1.61 | 0.648 | 53/57 75/84 | Ref 1.00 | 0.69 | 1.46 | 0.997 |
| Prior statin use | No Yes | 75/120 55/87 | Ref 1.00 | 0.68 | 1.46 | 0.993 | 74/81 54/60 | Ref 0.62 | 0.42 | 0.92 | 0.018 |
| Prior NSAID use | No Yes | 90/140 40/67 | Ref 1.12 | 0.76 | 1.65 | 0.575 | 80/84 48/57 | Ref 0.61 | 0.42 | 0.91 | 0.016 |
Publisher’s Note: MDPI stays neutral with regard to jurisdictional claims in published maps and institutional affiliations. |
© 2021 by the authors. Licensee MDPI, Basel, Switzerland. This article is an open access article distributed under the terms and conditions of the Creative Commons Attribution (CC BY) license (https://creativecommons.org/licenses/by/4.0/).
Share and Cite
Dighe, S.G.; Yan, L.; Mukherjee, S.; McGillicuddy, C.S.; Hulme, K.L.; Hochwald, S.N.; Yendamuri, S.; Bain, A.J.; Robillard, K.T.; Moysich, K.B.; et al. Clinical and Lifestyle-Related Prognostic Indicators among Esophageal Adenocarcinoma Patients Receiving Treatment at a Comprehensive Cancer Center. Cancers 2021, 13, 4653. https://doi.org/10.3390/cancers13184653
Dighe SG, Yan L, Mukherjee S, McGillicuddy CS, Hulme KL, Hochwald SN, Yendamuri S, Bain AJ, Robillard KT, Moysich KB, et al. Clinical and Lifestyle-Related Prognostic Indicators among Esophageal Adenocarcinoma Patients Receiving Treatment at a Comprehensive Cancer Center. Cancers. 2021; 13(18):4653. https://doi.org/10.3390/cancers13184653
Chicago/Turabian StyleDighe, Shruti G., Li Yan, Sarbajit Mukherjee, Cailey S. McGillicuddy, Karen L. Hulme, Steven N. Hochwald, Saikrishna Yendamuri, Andrew J. Bain, Kevin T. Robillard, Kirsten B. Moysich, and et al. 2021. "Clinical and Lifestyle-Related Prognostic Indicators among Esophageal Adenocarcinoma Patients Receiving Treatment at a Comprehensive Cancer Center" Cancers 13, no. 18: 4653. https://doi.org/10.3390/cancers13184653
APA StyleDighe, S. G., Yan, L., Mukherjee, S., McGillicuddy, C. S., Hulme, K. L., Hochwald, S. N., Yendamuri, S., Bain, A. J., Robillard, K. T., Moysich, K. B., Ambrosone, C. B., Millen, A. E., & Buas, M. F. (2021). Clinical and Lifestyle-Related Prognostic Indicators among Esophageal Adenocarcinoma Patients Receiving Treatment at a Comprehensive Cancer Center. Cancers, 13(18), 4653. https://doi.org/10.3390/cancers13184653

