Efficacy and Safety of Hypofractionated Preoperative Radiotherapy for Primary Locally Advanced Soft Tissue Sarcomas of Limbs or Trunk Wall
Abstract
Simple Summary
Abstract
1. Introduction
2. Materials and Methods
2.1. Treatment
2.2. Statistical Analysis
3. Results
3.1. Patient and Tumor Characteristics
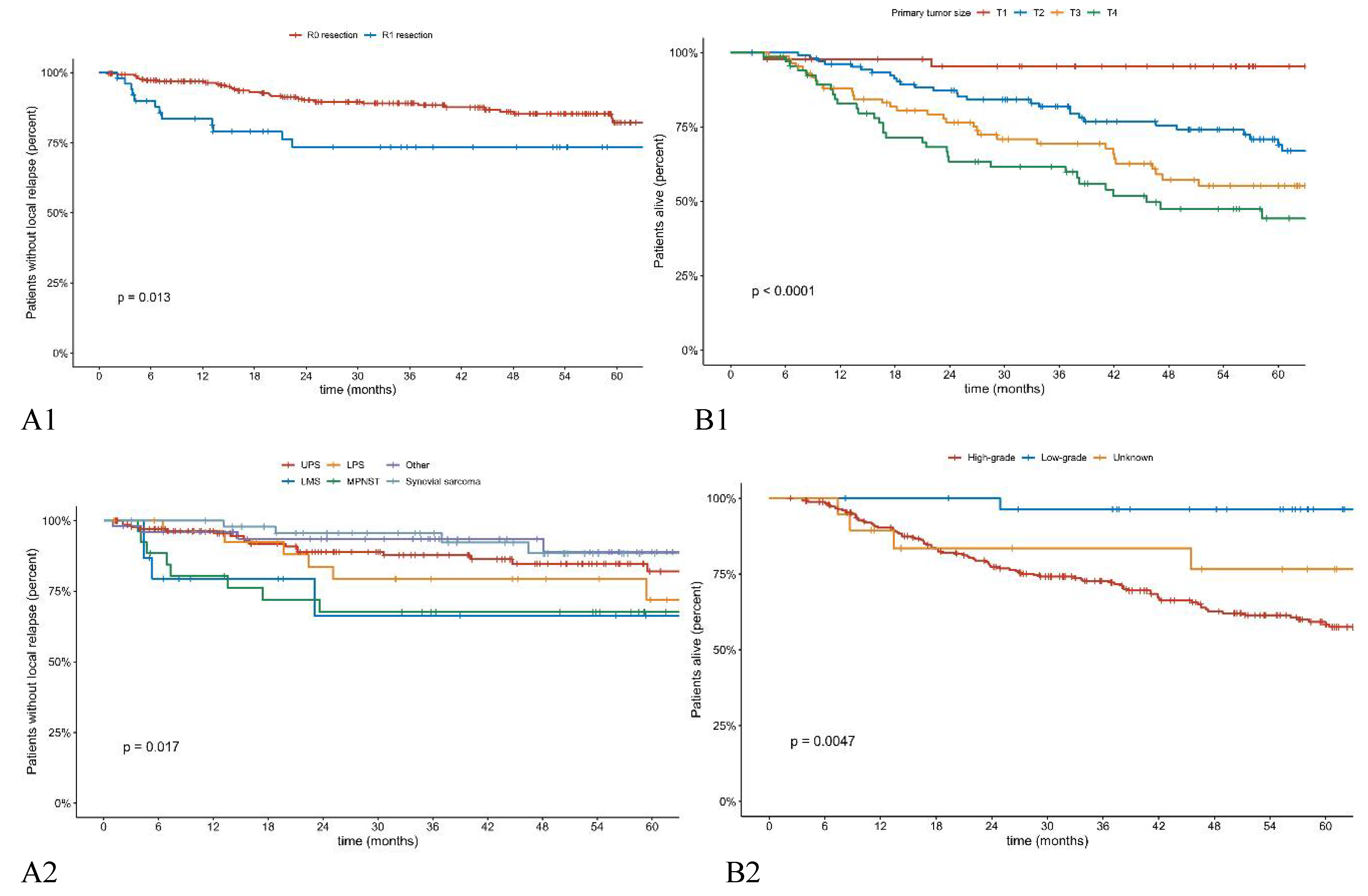
3.2. Local Recurrences
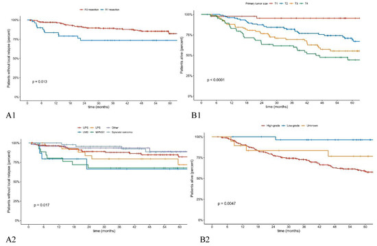
3.3. Survival
3.4. Sarculator Comparison
3.5. Treatment Adverse Events
3.6. Early Adverse Events (Occurred within <3 Months after Surgery)
3.7. Late Adverse Events (>3 Months after Surgery)
4. Discussion
5. Conclusions
Author Contributions
Funding
Institutional Review Board Statement
Informed Consent Statement
Data Availability Statement
Acknowledgments
Conflicts of Interest
References
- Casali, P.G.; Abecassis, N.; Bauer, S.; Biagini, R.; Bielack, S.; Bonvalot, S.; Boukovinas, I.; Bovee, J.V.M.G.; Brodowicz, T.; Broto, J.; et al. Soft tissue and visceral sarcomas: ESMO-EURACAN Clinical Practice Guidelines for diagnosis, treatment and follow-up. Ann. Oncol. 2018, 29, iv51–iv67. [Google Scholar] [CrossRef] [PubMed]
- Yang, J.C.; Chang, A.E.; Baker, A.R.; Sindelar, W.F.; Danforth, D.N.; Topalian, S.L.; Delaney, T.; Glatstein, E.; Steinberg, S.M.; Merino, M.J.; et al. Randomized prospective study of the benefit of adjuvant radiation therapy in the treatment of soft tissue sarcomas of the extremity. J. Clin. Oncol. 1998, 16, 197–203. [Google Scholar] [CrossRef] [PubMed]
- Pisters, P.W.; Harrison, L.B.; Leung, D.H.Y.; Woodruff, J.M.; Casper, E.S.; Brennan, M.F. Long-term results of a prospective randomized trial of adjuvant brachytherapy in soft tissue sarcoma. J. Clin. Oncol. 1996, 14, 859–868. [Google Scholar] [CrossRef] [PubMed]
- O’Sullivan, B.; Davis, A.; Turcotte, R.; Bell, R.; Catton, C.; Chabot, P.; Wunder, J.; Kandel, R.; Goddard, K.; Sadura, A.; et al. Preoperative versus postoperative radiotherapy in soft-tissue sarcoma of the limbs: A randomised trial. Lancet 2002, 359, 2235–2241. [Google Scholar] [CrossRef]
- Davis, A.M.; O’Sullivan, B.; Turcotte, R.; Bell, R.; Catton, C.; Chabot, P.; Wunder, J.; Hammond, A.; Benk, V.; Kandel, R. Late radiation morbidity following randomization to preoperative versus postoperative radiotherapy in extremity soft tissue sarcoma. Radiother. Oncol. 2005, 75, 48–53. [Google Scholar] [CrossRef]
- Haas, R.L.; DeLaney, T.F.; O’Sullivan, B.; Keus, R.B.; Le Pechoux, C.; Olmi, P.; Poulsen, J.-P.; Seddon, B.; Wang, D. Radiotherapy for Management of Extremity Soft Tissue Sarcomas: Why, When, and Where? Int. J. Radiat. Oncol. 2012, 84, 572–580. [Google Scholar] [CrossRef]
- Whelan, T.J.; Pignol, J.-P.; Levine, M.N.; Julian, J.A.; MacKenzie, R.; Parpia, S.; Shelley, W.; Grimard, L.; Bowen, J.; Lukka, H.; et al. Long-Term Results of Hypofractionated Radiation Therapy for Breast Cancer. N. Engl. J. Med. 2010, 362, 513–520. [Google Scholar] [CrossRef]
- Widmark, A.; Gunnlaugsson, A.; Beckman, L.; Thellenberg-Karlsson, C.; Hoyer, M.; Lagerlund, M.; Kindblom, J.; Ginman, C.; Johansson, B.; Björnlinger, K.; et al. Ultra-hypofractionated versus conventionally fractionated radiotherapy for prostate cancer: 5-year outcomes of the HYPO-RT-PC randomised, non-inferiority, phase 3 trial. Lancet 2019, 394, 385–395. [Google Scholar] [CrossRef]
- Bujko, K.; Nowacki, M.P.; Nasierowska-Guttmejer, A.; Michalski, W.; Bebenek, M.; Kryj, M. Long-term results of a randomized trial comparing preoperative short-course radiotherapy with preoperative conventionally fractionated chemoradiation for rectal cancer. BJS 2006, 93, 1215–1223. [Google Scholar] [CrossRef]
- Koseła-Paterczyk, H.; Szacht, M.; Morysiński, T.; Ługowska, I.; Dziewirski, W.; Falkowski, S.; Zdzienicki, M.; Pieńkowski, A.; Szamotulska, K.; Świtaj, T.; et al. Preoperative hypofractionated radiotherapy in the treatment of localized soft tissue sarcomas. Eur. J. Surg. Oncol. (EJSO) 2014, 40, 1641–1647. [Google Scholar] [CrossRef]
- Grambsch, P.M.; Therneau, T.M. Proportional Hazards Tests and Diagnostics Based on Weighted Residuals. Biometrika 1994, 81, 515–526. [Google Scholar] [CrossRef]
- Cohen, W.; Jagendorf, A. Inhibition of energy-linked reactions in chloroplasts by polygalacturonate. Arch. Biochem. Biophys. 1972, 150, 235–243. [Google Scholar] [CrossRef]
- Reitan, J.B.; Kaalhus, O. Radiotherapy of liposarcomas. Br. J. Radiol. 1980, 53, 969–975. [Google Scholar] [CrossRef] [PubMed]
- Thames, H.; Suit, H. Tumor radioresponsiveness versus fractionation sensitivity. Int. J. Radiat. Oncol. 1986, 12, 687–691. [Google Scholar] [CrossRef]
- Fowler, J.F. Biological Factors Influencing Optimum Fractionation in Radiation Therapy. Acta Oncol. 2001, 40, 712–717. [Google Scholar] [CrossRef] [PubMed]
- Cahlon, O.; Brennan, M.F.; Jia, X.; Qin, L.-X.; Singer, S.; Alektiar, K.M. A Postoperative Nomogram for Local Recurrence Risk in Extremity Soft Tissue Sarcomas after Limb-Sparing Surgery without Adjuvant Radiation. Ann. Surg. 2012, 255, 343–347. [Google Scholar] [CrossRef]
- Pisters, P.W.; Leung, D.H.Y.; Woodruff, J.; Shi, W.; Brennan, M.F. Analysis of prognostic factors in 1,041 patients with localized soft tissue sarcomas of the extremities. J. Clin. Oncol. 1996, 14, 1679–1689. [Google Scholar] [CrossRef]
- Biau, D.J.; Ferguson, P.C.; Chung, P.; Griffin, A.M.; Catton, C.N.; O’Sullivan, B.; Wunder, J.S. Local recurrence of localized soft tissue sarcoma: A new look at old predictors. Cancer 2012, 118, 5867–5877. [Google Scholar] [CrossRef] [PubMed]
- Pollack, A.; Zagars, G.K.; Goswitz, M.S.; Pollock, R.A.; Feig, B.W.; Pisters, P.W. Preoperative vs. postoperative radiotherapy in the treatment of soft tissue sarcomas: A matter of presentation. Int. J. Radiat. Oncol. Biol. Phys. 1998, 42, 563–572. [Google Scholar] [CrossRef]
- Zagars, G.K.; Ballo, M.T.; Pisters, P.W.; Pollock, R.E.; Patel, S.R.; Benjamin, R.S. Preoperative vs. postoperative radiation therapy for soft tissue sarcoma: A retrospective comparative evaluation of disease outcome. Int. J. Radiat. Oncol. Biol. Phys. 2003, 56, 482–488. [Google Scholar] [CrossRef]
- Folkert, M.R.; Singer, S.; Brennan, M.; Kuk, D.; Qin, L.-X.; Kobayashi, W.K.; Crago, A.M.; Alektiar, K.M. Comparison of Local Recurrence with Conventional and Intensity-Modulated Radiation Therapy for Primary Soft-Tissue Sarcomas of the Extremity. J. Clin. Oncol. 2014, 32, 3236–3241. [Google Scholar] [CrossRef]
- Haas, R.L. Preoperative radiotherapy in soft tissue sarcoma: From general guidelines to personalized medicine. Chin. Clin. Oncol. 2018, 7, 41. [Google Scholar] [CrossRef]
- Bedi, M.; Ethun, C.G.; Charlson, J.; Tran, T.B.; Poultsides, G.; Grignol, V.; Howard, J.H.; Tseng, J.; Roggin, K.K.; Chouliaras, K.; et al. Is a Nomogram Able to Predict Postoperative Wound Complications in Localized Soft-tissue Sarcomas of the Extremity? Clin. Orthop. Relat. Res. 2020, 478, 550–559. [Google Scholar] [CrossRef]
- Wang, D.; Zhang, Q.; Eisenberg, B.L.; Kane, J.M.; Li, X.A.; Lucas, D.; Petersen, I.A.; DeLaney, T.F.; Freeman, C.R.; Finkelstein, S.E.; et al. Significant Reduction of Late Toxicities in Patients With Extremity Sarcoma Treated With Image-Guided Radiation Therapy to a Reduced Target Volume: Results of Radiation Therapy Oncology Group RTOG-0630 Trial. J. Clin. Oncol. 2015, 33, 2231–2238. [Google Scholar] [CrossRef]
- O’Sullivan, B.; Griffin, A.M.; Dickie, C.I.; Sharpe, M.B.; Chung, P.W.; Catton, C.N.; Ferguson, P.C.; Wunder, J.S.; Deheshi, B.M.; White, L.M.; et al. Phase 2 study of preoperative image-guided intensity-modulated radiation therapy to reduce wound and combined modality morbidities in lower extremity soft tissue sarcoma. Cancer 2013, 119, 1878–1884. [Google Scholar] [CrossRef]
- Haas, R.L.; Miah, A.B.; LePechoux, C.; DeLaney, T.F.; Baldini, E.H.; Alektiar, K.; O’Sullivan, B. Preoperative radiotherapy for extremity soft tissue sarcoma; past, present and future perspectives on dose fractionation regimens and combined modality strategies. Radiother. Oncol. 2016, 119, 14–21. [Google Scholar] [CrossRef] [PubMed]
- Kalbasi, A.; Kamrava, M.; Chu, F.-I.; Telesca, D.; Van Dams, R.; Yang, Y.; Ruan, D.; Nelson, S.D.; Dry, S.M.; Hernandez, J.; et al. A Phase II Trial of 5-Day Neoadjuvant Radiotherapy for Patients with High-Risk Primary Soft Tissue Sarcoma. Clin. Cancer Res. 2020, 26, 1829–1836. [Google Scholar] [CrossRef]
- Haas, R.L.; Gronchi, A.; Van De Sande, M.A.; Baldini, E.H.; Gelderblom, H.; Messiou, C.; Wardelmann, E.; Le Cesne, A. Perioperative Management of Extremity Soft Tissue Sarcomas. J. Clin. Oncol. 2018, 36, 118–124. [Google Scholar] [CrossRef]
- Koseła-Paterczyk, H.; Spałek, M.; Borkowska, A.; Teterycz, P.; Wągrodzki, M.; Szumera-Ciećkiewicz, A.; Morysiński, T.; Castaneda-Wysocka, P.; Cieszanowski, A.; Zdzienicki, M.; et al. Hypofractionated Radiotherapy in Locally Advanced Myxoid Liposarcomas of Extremities or Trunk Wall: Results of a Single-Arm Prospective Clinical Trial. J. Clin. Med. 2020, 9, 2471. [Google Scholar] [CrossRef]
- Spalek, M.J.; Kosela-Paterczyk, H.; Borkowska, A.; Wagrodzki, M.; Szumera-Cieckiewicz, A.; Czarnecka, A.M.; Castaneda-Wysocka, P.; Kalinowska, I.; Poleszczuk, J.; Dabrowska-Szewczyk, E.; et al. Combined preoperative hypofractionated radiotherapy with doxorubicin-ifosfamide chemotherapy in marginally resectable soft tissue sarcomas: Results of a phase II clinical trial. Int. J. Radiat. Oncol. Biol. Phys. 2021. [Google Scholar] [CrossRef]

| Patient Characteristics | Overall n (%) | LRFS | DFS | OS | ||||||||||
|---|---|---|---|---|---|---|---|---|---|---|---|---|---|---|
| 311 | 5-Year Survival (%) | 95% CI | p | 5-Year Survival (%) | 95% CI | p | 5-Year Survival (%) | 95% CI | p | |||||
| Sex | Female | 162 (52.1) | 81.4 | 73.3 | 90.3 | 0.4 | 48.3 | 40.4 | 57.7 | 0.3 | 67.5 | 59.6 | 76.5 | 0.08 |
| Male | 149 (47.9) | 80.6 | 73.6 | 88.4 | 43.4 | 35.5 | 53.1 | 58.5 | 50.1 | 68.1 | ||||
| Age | ≤60 years | 179 (57.6) | 83.1 | 76.7 | 90 | 0.36 | 44.6 | 37.4 | 53.1 | 0.78 | 66.2 | 58.8 | 74.6 | 0.025 |
| >60 years | 132 (42.4) | 76.6 | 65.8 | 89.2 | 47.6 | 38.3 | 59.2 | 59.2 | 50.3 | 69.7 | ||||
| Subtype | Pleomorphic sarcoma | 142 (45.7) | 82 | 73.7 | 91.2 | 0.017 | 42.6 | 34.4 | 52.6 | 0.31 | 59.2 | 50.5 | 69.5 | 0.29 |
| Other | 50 (16.1) | 88.9 | 78.4 | 100 | 56 | 42.3 | 74.2 | 75.7 | 62.6 | 91.5 | ||||
| Synovial sarcoma | 49 (15.8) | 88.4 | 78 | 100 | 51 | 38 | 68.4 | 65.2 | 50.7 | 83.8 | ||||
| Liposarcoma | 29 (9.3) | 72 | 54.6 | 95.1 | 33.1 | 18.8 | 58.1 | 61 | 45.3 | 82.1 | ||||
| MPNST | 26 (8.4) | 67.7 | 51.5 | 89 | 49 | 32.7 | 73.2 | 67.1 | 50.5 | 89.2 | ||||
| Leiomyosarcoma | 15 (4.8) | 66.2 | 42.5 | 100 | 55 | 32.9 | 91.9 | 46.4 | 25.9 | 83.3 | ||||
| Grade | Low | 30 (9.7) | 92 | 81.7 | 100 | 0.15 | 84.9 | 72.2 | 99.9 | 0.0003 | 96.3 | 89.4 | 100 | 0.0047 |
| High | 259 (84.1) | 78.1 | 71.5 | 85.3 | 40.6 | 34.4 | 47.8 | 58.4 | 51.8 | 65.8 | ||||
| Unknown | 19 (6.2) | 94.7 | 85.2 | 100 | 51.8 | 32.1 | 83.6 | 76.5 | 58.6 | 100 | ||||
| Anatomic site of the primary tumor | Trunk | 35 (11.3) | 72.8 | 54.3 | 97.5 | 0.09 | 56.4 | 39.8 | 79.9 | 0.33 | 62.1 | 46.4 | 83.2 | 0.89 |
| Upper extremity | 52 (16.7) | 72.6 | 60 | 87.8 | 41.4 | 28.2 | 59.9 | 71.8 | 59.1 | 87.2 | ||||
| Lower extremity | 224 (72) | 84.4 | 78.3 | 90.9 | 45.2 | 38.7 | 52.9 | 61.3 | 54.4 | 69.1 | ||||
| Lower extremity tumor location | Adductor compartment | 50 (22.3) | 73.3 | 55.8 | 96.3 | 0.54 | 45.2 | 32.7 | 62.5 | 0.84 | 53.7 | 39.2 | 73.7 | 0.73 |
| Thigh other | 111 (49.6) | 88.1 | 81 | 95.8 | 44.1 | 34.8 | 56 | 61 | 51.5 | 72.2 | ||||
| Lower leg | 63 (28.1) | 86.7 | 77.7 | 96.8 | 48.4 | 37.1 | 63.2 | 69.5 | 57.8 | 83.6 | ||||
| Maximal size of the tumor | T1 (≤5 cm) | 47 (15.2) | 88.1 | 74.9 | 100 | 0.1 | 75.4 | 60.2 | 94.5 | <0.0001 | 95.4 | 89.3 | 100 | <0.0001 |
| T2 (>5, ≤10 cm) | 108 (35) | 84.8 | 77.3 | 93 | 49.2 | 40.1 | 60.3 | 69 | 59.5 | 79.9 | ||||
| T3 (>10, ≤15 cm) | 85 (27.5) | 76.6 | 66.7 | 87.9 | 35.3 | 52.5 | 48.9 | 55.3 | 44.5 | 68.7 | ||||
| T4 (>15 cm) | 69 (22.3) | 72.8 | 56.3 | 94.2 | 34.7 | 24.4 | 49.4 | 44.3 | 32.5 | 60.3 | ||||
| Tumor stage (AJCC 8th edition) | IA | 6 (1.9) | 100 | 100 | 100 | 0.04 | 100 | 100 | 100 | <0.0001 | 100 | 100 | 100 | <0.0001 |
| IB | 27 (8.7) | 91 | 80 | 100 | 80 | 66 | 97 | 91 | 81 | 100 | ||||
| II | 41 (13.1) | 87 | 74 | 100 | 73 | 57 | 93 | 94 | 87 | 100 | ||||
| IIIA | 98 (31.5) | 84 | 76 | 93 | 45 | 36 | 57 | 68 | 58 | 80 | ||||
| IIIB | 137 (44) | 73 | 63 | 84 | 29 | 21 | 29 | 43 | 35 | 54 | ||||
| Unknown | 2 (0.6) | - | - | - | - | - | - | - | - | - | ||||
| Preoperative chemotherapy | YES | 94 (30.2) | 82.3 | 74 | 91.5 | 0.82 | 39.9 | 30.5 | 52.2 | 0.09 | 62 | 51.3 | 74.8 | 0.33 |
| NO | 217 (69.8) | 80.4 | 73.5 | 88 | 48.7 | 41.8 | 56.8 | 63.7 | 56.9 | 71.3 | ||||
| Margin status | R0 | 260 (83.6) | 82.3 | 76.1 | 88.9 | 0.01 | 46.6 | 40.2 | 54 | 0.08 | 63.5 | 57.1 | 70.7 | 0.38 |
| R1 | 51 (16.4) | 73.5 | 61.5 | 87.8 | 41.5 | 29.7 | 58 | 60.6 | 47.7 | 76.9 | ||||
| Postoperative radiotherapy (boost) | YES | 18 (5.8) | 68 | 48.1 | 96 | 0.05 | 26.6 | 11.3 | 62.5 | 0.06 | 61.9 | 41.6 | 92.1 | 0.59 |
| NO | 291 (94.2) | 82 | 76.2 | 88.1 | 47 | 41 | 53.9 | 63.2 | 57.2 | 70 | ||||
| Patient Characteristics | Without Chemotherapy | With Chemotherapy | p | |
|---|---|---|---|---|
| n = 217 (%) | n = 94 (%) | |||
| Sex (%) | Female | 108 (49.8) | 54 (57.4) | 0.26 |
| Male | 109 (50.2) | 40 (42.6) | ||
| Age (mean (SD)) | 59.12 (16.55) | 46.56 (14.45) | <0.001 | |
| Age | ≤60 | 106 (48.8) | 73 (77.7) | <0.001 |
| >60 | 111 (51.2) | 21 (22.3) | ||
| Subtype | Pleomorphic sarcoma | 105 (48.4) | 37 (39.4) | <0.001 |
| Leiomyosarcoma | 12 (5.5) | 3 (3.2) | ||
| Liposarcoma | 26 (12.0) | 3 (3.2) | ||
| MPNST | 23 (10.6) | 3 (3.2) | ||
| Other | 46 (21.2) | 4 (4.3) | ||
| Synovial sarcoma | 5 (2.3) | 44 (46.8) | ||
| Tumor grade | High | 168 (78.5) | 91 (96.8) | <0.001 |
| Low | 30 (14.0) | 0 (0.0) | ||
| Unknown | 16 (7.5) | 3 (3.2) | ||
| Tumor location | Upper extremity | 31 (14.3) | 21 (22.3) | 0.21 |
| Trunk wall | 25 (11.5) | 10 (10.6) | ||
| Lower extremity | 161 (74.2) | 63 (67.0) | ||
| Tumor size (mean (SD)) | 11.43 (6.04) | 11.08 (6.35) | 0.64 | |
| Tumor size | T1 (≤5 cm) | 29 (13.5) | 18 (19.1) | 0.5 |
| T2 (>5, ≤10 cm) | 74 (34.4) | 34 (36.2) | ||
| T3 (>10, ≤15 cm) | 63 (29.3) | 22 (23.4) | ||
| T4 (>15 cm) | 49 (22.8) | 20 (21.3) | ||
| Resection margin | R0 | 181 (83.4) | 79 (84.0) | 1 |
| R1 | 36 (16.6) | 15 (16.0) | ||
| Variable | Patient Characteristics | Univariable HR (95% CI) for LRFS [p-Value] | Univariable HR (95% CI) for OS [p-Value] |
|---|---|---|---|
| Sex | Female | - | - |
| Male | 1.29 (0.71–2.35), [p = 0.408] | 1.41 (0.96–2.06)., [p = 0.079] | |
| Age | Mean (SD) | 1.02 (1.00–1.04), [p = 0.027] | 1.02 (1.01–1.03), [p < 0.001] |
| ≤60 | - | - | |
| >60 | 1.32 (0.72–2.41), [p = 0.369] | 1.54 (1.05–2.26), [p = 0.027] | |
| Subtype | Pleomorphic sarcoma | - | - |
| Leiomyosarcoma | 2.85 (0.96–8.50), [p = 0.060] | 1.48 (0.67–3.25), [ p = 0.333] | |
| Liposarcoma | 1.55 (0.61–3.93), [p = 0.357] | 0.81 (0.43–1.52), [p = 0.503] | |
| MPNST | 2.57 (1.11–5.95), [p = 0.028] | 0.89 (0.44–1.81), [p = 0.753] | |
| Other | 0.61 (0.21–1.82), [p = 0.380] | 0.58 (0.30–1.11), [p = 0.101] | |
| Synovial sarcoma | 0.59 (0.20–1.74), [p = 0.335] | 0.66 (0.37–1.18), [p = 0.161] | |
| Grade | High | - | - |
| Low | 0.34 (0.08–1.40), [p = 0.135] | 0.15 (0.04–0.61), [p = 0.008] | |
| Unknown | 0.31 (0.04–2.27), [p = 0.249] | 0.53 (0.20–1.45), [p = 0.218] | |
| Localization | Upper extremity | - | - |
| Trunk | 0.70 (0.26–1.88), [p = 0.483] | 1.05 (0.50–2.21), [p = 0.890] | |
| Lower extremity | 0.48 (0.24–0.95), [p = 0.034] | 1.13 (0.67–1.91), [p = 0.658] | |
| Size | T1 (≤5 cm) | - | - |
| T2 (>5, ≤10 cm) | 1.99 (0.57–6.98), [p = 0.283] | 2.69 (1.04–6.94), [p = 0.040] | |
| T3(>10, ≤15 cm) | 3.58 (1.04–12.31), [p = 0.043] | 4.90 (1.92–12.52), [p = 0.001] | |
| T4 (>15 cm) | 3.13 (0.86–11.41), [p = 0.083) | 6.46 (2.53–16.51), [p < 0.001] | |
| Tumor stage (AJCC 8th edition) | I | - | - |
| II | 1.28 (0.21–7.68); [p = 0.785] | 1.27 (0.3–5.31); [p = 0.74] | |
| IIIA | 2.33 (0.52–10.42); [p = 0.268] | 3.14 (0.95–10.35); [p = 0.06] | |
| IIIB | 4.42(1.04–18.69); [p = 0.043] | 7.42 (2.33–23.61); [p = 0.001] | |
| Margin status | R0 | - | - |
| R1 | 2.27 (1.17–4.43), [p = 0.016] | 1.23 (0.76–1.99), [p = 0.390] | |
| Postoperative radiotherapy (boost) | No | - | - |
| Yes | 2.49 (0.98–6.33), [p = 0.056] | 1.22 (0.59–2.51), [p = 0.591] | |
| Preoperative chemotherapy | No | - | - |
| Yes | 1.08 (0.57–2.04), [p = 0.819] | 0.81 (0.53–1.24), [p = 0.333] |
| Local Recurrence-Free Survival | |||
|---|---|---|---|
| Patient Characteristics | HR | 95% CI | p-Value |
| Age (≤60 years) = ref | - | - | - |
| Age (>60 years) | 1.321 | 0.687–2.539 | 0.404 |
| Subtype (MPNST/Leiomyosarcoma vs. other) | 3.578 | 1.797–7.121 | <000.1 |
| Grade (high vs. other) | 2.824 | 0.848–9.404 | 0.091 |
| T1 = ref | - | - | - |
| T2 | 1.963 | 0.553–6.965 | 0.297 |
| T3 | 3.461 | 0.981–12.205 | 0.054 |
| T4 | 2.623 | 0.712–9.66 | 0.147 |
| Preoperative chemotherapy (Yes vs. No) | 1.272 | 0.635–2.548 | 0.496 |
| Postoperative radiotherapy (boost) | 1.628 | 0.484–5.475 | 0.431 |
| Margin R0 up to 1 year of observation | - | - | - |
| Margin R1 up to 1 year of observation | 3.763 | 1.215–11.657 | 0.022 |
| Margin R0 more than 1 year of observation | - | - | - |
| Margin R1 more than 1 year of observation | 0.907 | 0.265–3.099 | 0.876 |
| Overall Survival | |||
| Patient Characteristics | HR | 95% CI | p-Value |
| Sex (male vs. female) | 1.424 | 0.955–2.123 | 0.083 |
| Age (≤60 years) = ref | - | - | - |
| Age (>60 years) | 1.542 | 1.019–2.333 | 0.04 |
| Grade (high vs. other) | 4.552 | 1.831–11.319 | 0.001 |
| T1 = ref | - | - | - |
| T2 | 2.348 | 0.903–6.108 | 0.08 |
| T3 | 4.458 | 1.723–11.53 | 0.002 |
| T4 | 5.755 | 2.241–14.776 | <0.0001 |
| Preoperative chemotherapy (Yes vs. No) | 0.853 | 0.543–1.339 | 0.489 |
| Postoperative radiotherapy (boost) | 1.058 | 0.43–2.604 | 0.902 |
| Surgical margin (R1 vs. R0) | 1.096 | 0.598–2.012 | 0.766 |
| Factor N (%) | All Adverse Events | Acute Adverse Events | Late Adverse Events | |||||||||
|---|---|---|---|---|---|---|---|---|---|---|---|---|
| Infection N (%) | Wound Dehiscence N (%) | Prolonged Wound Healing N (%) | Prolonged Edema N (%) | Increased Tissue Fibrosis N (%) | ||||||||
| The anatomic site of the primary tumor | ||||||||||||
| Trunk (35) | 3 (8.6) | <0.001 | 0 | 0.016 | 0 | 0.004 | 0 | <0.001 | 1 (2.8) | 0.85 | 0 | 1 |
| Upper extremity (52) | 7(13.4) | 1 (1.9) | 1 (1.9) | 3 (5.7) | 0 | 1 (1.9) | ||||||
| Lower extremity (224) | 86 (38.3) | 24 (10.7) | 28 (12.5) | 48 (21.4) | 7 (3) | 0 | ||||||
| Preoperative chemotherapy | ||||||||||||
| Yes (94) | 27 (28.7) | 0.689 | 14 (14.8) | 0.006 | 13 (13.8) | 0.089 | 15 (15.9) | 1 | 3 (3) | 0.7 | 0 | 1 |
| No (217) | 69 (31.7) | 11 (5) | 16 (7.3) | 36 (16.5) | 5 (2.3) | 1 (0.4) | ||||||
| Postoperative radiotherapy (boost) | ||||||||||||
| Yes (18) | 5 (2.8) | 1 | 0 | 0.38 | 1 (5.5) | 1 | 0 | 0.05 | 1 (5) | 0.38 | 0 | 0.3 |
| No (291) | 91 (31.2) | 25 (8.6) | 28 (9.6) | 51 (17.5) | 7 (2.4) | 1 | ||||||
Publisher’s Note: MDPI stays neutral with regard to jurisdictional claims in published maps and institutional affiliations. |
© 2021 by the authors. Licensee MDPI, Basel, Switzerland. This article is an open access article distributed under the terms and conditions of the Creative Commons Attribution (CC BY) license (https://creativecommons.org/licenses/by/4.0/).
Share and Cite
Koseła-Paterczyk, H.; Teterycz, P.; Spałek, M.J.; Borkowska, A.; Zawadzka, A.; Wągrodzki, M.; Szumera-Ciećkiewicz, A.; Morysiński, T.; Świtaj, T.; Ługowska, I.; et al. Efficacy and Safety of Hypofractionated Preoperative Radiotherapy for Primary Locally Advanced Soft Tissue Sarcomas of Limbs or Trunk Wall. Cancers 2021, 13, 2981. https://doi.org/10.3390/cancers13122981
Koseła-Paterczyk H, Teterycz P, Spałek MJ, Borkowska A, Zawadzka A, Wągrodzki M, Szumera-Ciećkiewicz A, Morysiński T, Świtaj T, Ługowska I, et al. Efficacy and Safety of Hypofractionated Preoperative Radiotherapy for Primary Locally Advanced Soft Tissue Sarcomas of Limbs or Trunk Wall. Cancers. 2021; 13(12):2981. https://doi.org/10.3390/cancers13122981
Chicago/Turabian StyleKoseła-Paterczyk, Hanna, Paweł Teterycz, Mateusz J. Spałek, Aneta Borkowska, Anna Zawadzka, Michał Wągrodzki, Anna Szumera-Ciećkiewicz, Tadeusz Morysiński, Tomasz Świtaj, Iwona Ługowska, and et al. 2021. "Efficacy and Safety of Hypofractionated Preoperative Radiotherapy for Primary Locally Advanced Soft Tissue Sarcomas of Limbs or Trunk Wall" Cancers 13, no. 12: 2981. https://doi.org/10.3390/cancers13122981
APA StyleKoseła-Paterczyk, H., Teterycz, P., Spałek, M. J., Borkowska, A., Zawadzka, A., Wągrodzki, M., Szumera-Ciećkiewicz, A., Morysiński, T., Świtaj, T., Ługowska, I., Castaneda-Wysocka, P., Zdzienicki, M., Goryń, T., & Rutkowski, P. (2021). Efficacy and Safety of Hypofractionated Preoperative Radiotherapy for Primary Locally Advanced Soft Tissue Sarcomas of Limbs or Trunk Wall. Cancers, 13(12), 2981. https://doi.org/10.3390/cancers13122981

