A Comparison of Hypofractionated and Twice-Daily Thoracic Irradiation in Limited-Stage Small-Cell Lung Cancer: An Overlap-Weighted Analysis
Abstract
Simple Summary
Abstract
1. Introduction
2. Materials and Methods
2.1. Data Sources
2.2. Data Processing
2.3. Propensity Score Methods and Diagnostics
2.4. Outcome Analysis
2.5. Sensitivity to Unobserved Confounding
3. Results
3.1. Patient Characteristics
3.2. Overlap Weighting
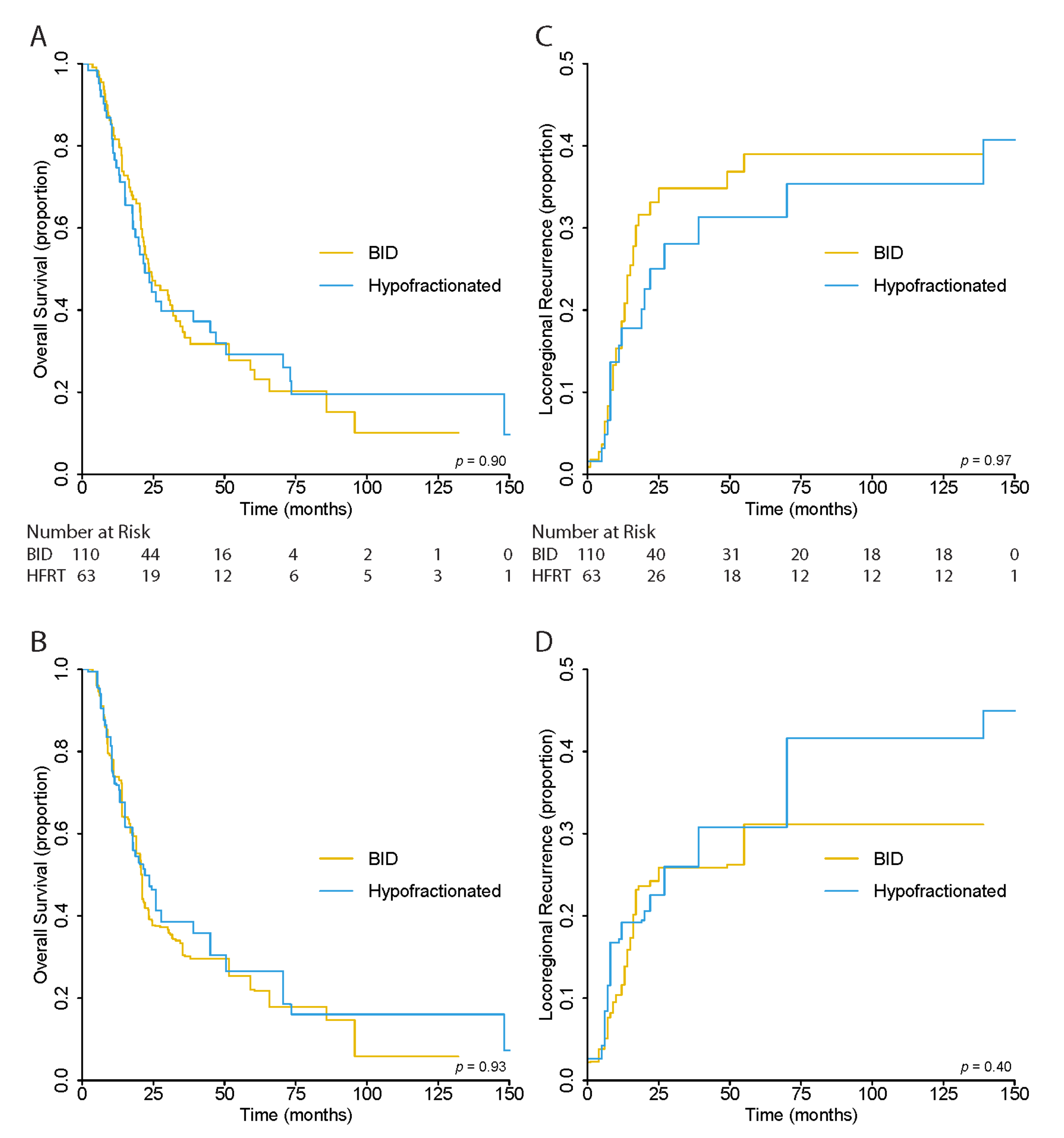
3.3. Overall Survival
3.4. Locoregional Recurrence Risk
3.5. Thoracic Response to Chemoradiotherapy
3.6. Toxicity
3.7. Sensitivity to Unobserved Confounding
4. Discussion
4.1. Establishment of BID as a Standard
4.2. Patterns of Practice
4.3. Evidence for HFRT
4.4. Potential Benefits of HFRT
4.5. Strengths and Limitations
5. Conclusions
Supplementary Materials
Author Contributions
Funding
Institutional Review Board Statement
Informed Consent Statement
Data Availability Statement
Acknowledgments
Conflicts of Interest
References
- Simone, C.B., 2nd; Bogart, J.A.; Cabrera, A.R.; Daly, M.E.; DeNuzio, N.J.; Detterbeck, F.; Faivre-Finn, C.; Gore, E.; Kruser, T.J.; Wu, A.J.; et al. Radiation Therapy for Small Cell Lung Cancer: An ASTRO Clinical Practice Guideline. Pract. Radiat. Oncol. 2020. [Google Scholar] [CrossRef]
- Pignon, J.-P.; Arriagada, R.; Ihde, D.C.; Johnson, D.H.; Perry, M.C.; Souhami, R.L.; Brodin, O.; Joss, R.A.; Kies, M.S.; Lebeau, B.; et al. A meta-analysis of thoracic radiotherapy for small-cell lung cancer. N. Engl. J. Med. 1992, 327, 1618–1624. [Google Scholar] [CrossRef] [PubMed]
- Turrisi, A.T., 3rd; Kim, K.; Blum, R.; Sause, W.T.; Livingston, R.B.; Komaki, R.; Wagner, H.; Aisner, S.; Johnson, D.H. Twice-daily compared with once-daily thoracic radiotherapy in limited small-cell lung cancer treated concurrently with cisplatin and etoposide. N. Engl. J. Med. 1999, 340, 265–271. [Google Scholar] [CrossRef] [PubMed]
- Faivre-Finn, C.; Snee, M.; Ashcroft, L.; Appel, W.; Barlesi, F.; Bhatnagar, A.; Bezjak, A.; Cardenal, F.; Fournel, P.; Harden, S.V.; et al. Concurrent once-daily versus twice-daily chemoradiotherapy in patients with limited-stage small-cell lung cancer (CONVERT): An open-label, phase 3, randomised, superiority trial. Lancet Oncol. 2017, 18, 1116–1125. [Google Scholar] [CrossRef]
- Shahi, J.; Wright, J.; Gabos, Z.; Swaminath, A. Management of Small-Cell Lung Cancer with Radiotherapy—A Pan-Canadian Survey of Radiation Oncologists. Curr. Oncol. 2016, 23, 184–195. [Google Scholar] [CrossRef]
- Farrell, M.J.; Yahya, J.B.; Degnin, C.; Chen, Y.; Holland, J.M.; Henderson, M.A.; Jaboin, J.J.; Harkenrider, M.M.; Thomas, C.R.; Mitin, T. Radiation Dose and Fractionation for Limited-stage Small-cell Lung Cancer: Survey of US Radiation Oncologists on Practice Patterns. Clin. Lung Cancer 2019, 20, 13–19. [Google Scholar] [CrossRef] [PubMed]
- Grønberg, B.H.; Halvorsen, T.O.; Fløtten, Ø.; Brustugun, O.T.; Brunsvig, P.F.; Aasebø, U.; Bremnes, R.M.; Tollåli, T.; Hornslien, K.; Aksnessæther, B.Y.; et al. Randomized phase II trial comparing twice daily hyperfractionated with once daily hypofractionated thoracic radiotherapy in limited disease small cell lung cancer. Acta Oncol. 2015, 55, 591–597. [Google Scholar] [CrossRef]
- Bettington, C.S.; Tripcony, L.; Bryant, G.; Hickey, B.; Pratt, G.; Fay, M. A retrospective analysis of survival outcomes for two different radiotherapy fractionation schedules given in the same overall time for limited stage small cell lung cancer. J. Med. Imaging Radiat. Oncol. 2013, 57, 105–112. [Google Scholar] [CrossRef]
- Zayed, S.; Chen, H.; Ali, E.; Rodrigues, G.B.; Warner, A.; Palma, D.A.; Louie, A.V. Is There a Role for Hypofractionated Thoracic Radiation Therapy in Limited-Stage Small Cell Lung Cancer? A Propensity Score Matched Analysis. Int. J. Radiat. Oncol. 2020, 108, 575–586. [Google Scholar] [CrossRef]
- Murray, N.; Coy, P.; Pater, J.L.; Hodson, I.; Arnold, A.; Zee, B.C.-Y.; Payne, D.; Kostashuk, E.C.; Evans, W.K.; Dixon, P.; et al. Importance of timing for thoracic irradiation in the combined modality treatment of limited-stage small-cell lung cancer. J. Clin. Oncol. 1993, 11, 336–344. [Google Scholar] [CrossRef]
- Harris, P.A.; Taylor, R.; Thielke, R.; Payne, J.; Gonzalez, N.; Conde, J.G. Research electronic data capture (REDCap)—A metadata-driven methodology and workflow process for providing translational research informatics support. J. Biomed. Inform. 2009, 42, 377–381. [Google Scholar] [CrossRef]
- Rami-Porta, R.; Bolejack, V.; Giroux, D.J.; Chansky, K.; Crowley, J.; Asamura, H.; Goldstraw, P. The IASLC Lung Cancer Staging Project: The New Database to Inform the Eighth Edition of the TNM Classification of Lung Cancer. J. Thorac. Oncol. 2014, 9, 1618–1624. [Google Scholar] [CrossRef]
- Quan, H.; Li, B.; Couris, C.M.; Fushimi, K.; Graham, P.; Hider, P.; Januel, J.-M.; Sundararajan, V. Updating and Validating the Charlson Comorbidity Index and Score for Risk Adjustment in Hospital Discharge Abstracts Using Data From 6 Countries. Am. J. Epidemiol. 2011, 173, 676–682. [Google Scholar] [CrossRef]
- De Ruysscher, D.; Pijls-Johannesma, M.; Bentzen, S.M.; Minken, A.; Wanders, R.; Lutgens, L.; Hochstenbag, M.; Boersma, L.; Wouters, B.; Lammering, G.; et al. Time Between the First Day of Chemotherapy and the Last Day of Chest Radiation Is the Most Important Predictor of Survival in Limited-Disease Small-Cell Lung Cancer. J. Clin. Oncol. 2006, 24, 1057–1063. [Google Scholar] [CrossRef]
- Graham, J.W. Missing Data Analysis: Making It Work in the Real World. Annu. Rev. Psychol. 2009, 60, 549–576. [Google Scholar] [CrossRef] [PubMed]
- Woolf, D.; Slotman, B.; Faivre-Finn, C. The Current Role of Radiotherapy in the Treatment of Small Cell Lung Cancer. Clin. Oncol. 2016, 28, 712–719. [Google Scholar] [CrossRef]
- Stuart, E.A. Matching Methods for Causal Inference: A Review and a Look Forward. Stat. Sci. 2010, 25, 1–21. [Google Scholar] [CrossRef]
- Thomas, E.L.; Li, F.; Pencina, M.J. Overlap Weighting: A Propensity Score Method That Mimics Attributes of a Randomized Clinical Trial. JAMA 2020, 323, 2417–2418. [Google Scholar] [CrossRef]
- Mao, H.; Li, L.; Greene, T. Propensity score weighting analysis and treatment effect discovery. Stat. Methods Med. Res. 2018, 28, 2439–2454. [Google Scholar] [CrossRef]
- Xie, J.; Liu, C. Adjusted Kaplan–Meier estimator and log-rank test with inverse probability of treatment weighting for survival data. Stat. Med. 2005, 24, 3089–3110. [Google Scholar] [CrossRef] [PubMed]
- Schwartz, L.H.; Litière, S.; De Vries, E.; Ford, R.; Gwyther, S.; Mandrekar, S.; Shankar, L.; Bogaerts, J.; Chen, A.; Dancey, J.; et al. RECIST 1.1—Update and clarification: From the RECIST committee. Eur. J. Cancer 2016, 62, 132–137. [Google Scholar] [CrossRef] [PubMed]
- U.S Department of Health and Human Services. Common Terminology Criteria for Adverse Events. Version 5; 2017. Available online: https://ctep.cancer.gov/protocoldevelopment/electronic_applications/docs/ctcae_v5_quick_reference_5x7.pdf (accessed on 10 January 2021).
- Fine, J.P.; Gray, R.J. A Proportional Hazards Model for the Subdistribution of a Competing Risk. J. Am. Stat. Assoc. 1999, 94, 496–509. [Google Scholar] [CrossRef]
- VanderWeele, T.J.; Ding, P. Sensitivity Analysis in Observational Research: Introducing the E-Value. Ann. Intern. Med. 2017, 167, 268–274. [Google Scholar] [CrossRef] [PubMed]
- Van Burren, S.; Groothuis-Oudshoorn, K. Mice: Multivariate Imputation by Chained Equations in R. J. Stat. Softw. 2011, 45, 1–67. [Google Scholar]
- Lumley, T. Mitools: Tools for Multiple Imputation of Missing Data. 2019. Available online: https://cran.r-project.org/web/packages/mitools/mitools.pdf (accessed on 20 January 2021).
- Pishgar, F.; Greifer, N. MatchThem: Matching and Weighting Multiply Imputed Datasets. arXiv 2009. [Google Scholar]
- Therneau, T.M.; Grambsch, P.M. Modeling Survival Data: Extending the Cox Model; Springer: New York, NY, USA, 2000. [Google Scholar]
- Grønberg, B.H.; Killingberg, K.T.; Fløtten, Ø.; Brustugun, O.T.; Hornslien, K.; Madebo, T.; Langer, S.W.; Schytte, T.; Nyman, J.; Risum, S.; et al. High-dose versus standard-dose twice-daily thoracic radiotherapy for patients with limited stage small-cell lung cancer: An open-label, randomised, phase 2 trial. Lancet Oncol. 2021, 22, 321–331. [Google Scholar] [CrossRef]
- Schreiber, D.; Wong, A.T.; Schwartz, D.; Rineer, J. Utilization of Hyperfractionated Radiation in Small-Cell Lung Cancer and Its Impact on Survival. J. Thorac. Oncol. 2015, 10, 1770–1775. [Google Scholar] [CrossRef] [PubMed]
- Turgeon, G.; Souhami, L.; Kopek, N.; Hirsh, V.; Ofiara, L.; Faria, S. Thoracic irradiation in 3 weeks for limited-stage small cell lung cancer: Is twice a day fractionation really needed? Cancer/Radiothér. 2017, 21, 89–98. [Google Scholar] [CrossRef]
- Videtic, G.M.M.; Truong, P.T.; Dar, A.R.; Ye, E.W.; Stitt, L.W. Shifting from hypofractionated to “conventionally” fractionated thoracic radiotherapy: A single institution’s 10-year experience in the management of limited-stage small-cell lung cancer using concurrent chemoradiation. Int. J. Radiat. Oncol. Biol. Phys. 2003, 57, 709–716. [Google Scholar] [CrossRef]
- Socha, J.; Guzowska, A.; Tyc-Szczepaniak, D.; Wierzchowski, M.; Sprawka, A.; Szczesna, A.; Kepka, L. Accelerated hypofractionated thoracic radiotherapy in limited disease small cell lung cancer: Comparison with the results of conventionally fractionated radiotherapy. J. BUON 2015, 20, 146–157. [Google Scholar]
- Zhang, J.; Fan, M.; Liu, D.; Zhao, K.-L.; Wu, K.-L.; Zhao, W.-X.; Zhu, Z.-F.; Fu, X.-L. Hypo- or conventionally fractionated radiotherapy combined with chemotherapy in patients with limited stage small cell lung cancer. Radiat. Oncol. 2017, 12, 51. [Google Scholar] [CrossRef]
- Li, Q.-W.; Qiu, B.; Wang, B.; Zhang, J.; Chen, L.; Zhou, Y.; Qin, J.-K.; Guo, S.-P.; Xie, W.-H.; Hui, Z.-G.; et al. Comparison of hyper- and hypofractionated radiation schemes with IMRT technique in small cell lung cancer: Clinical outcomes and the introduction of extended LQ and TCP models. Radiother. Oncol. 2019, 136, 98–105. [Google Scholar] [CrossRef] [PubMed]
- Glatzer, M.; Faivre-Finn, C.; De Ruysscher, D.; Widder, J.; Van Houtte, P.; Troost, E.G.; Dahele, M.R.; Slotman, B.J.; Ramella, S.; Pöttgen, C.; et al. Once daily versus twice-daily radiotherapy in the management of limited disease small cell lung cancer—Decision criteria in routine practise. Radiother. Oncol. 2020, 150, 26–29. [Google Scholar] [CrossRef] [PubMed]
- Katz, M.S.; Fernández, C.; Simcock, R. CONVERTed or not: What are the barriers to implementing the evidence? Lancet Oncol. 2017, 18, e627. [Google Scholar] [CrossRef][Green Version]
- Brade, A.M.; Tannock, I.F. Scheduling of Radiation and Chemotherapy for Limited-Stage Small-Cell Lung Cancer: Repopulation as a Cause of Treatment Failure? J. Clin. Oncol. 2006, 24, 1020–1022. [Google Scholar] [CrossRef]
- Withers, H.R.; Taylor, J.M.G.; Maciejewski, B. The hazard of accelerated tumor clonogen repopulation during radiotherapy. Acta Oncol. 1988, 27, 131–146. [Google Scholar] [CrossRef] [PubMed]
- De Ruysscher, D.; Lueza, B.; Le Péchoux, C.; Johnson, D.H.; O’Brien, M.; Murray, N.; Spiro, S.; Wang, X.; Takada, M.; Lebeau, B.; et al. Impact of thoracic radiotherapy timing in limited-stage small-cell lung cancer: Usefulness of the individual patient data meta-analysis. Ann. Oncol. 2016, 27, 1818–1828. [Google Scholar] [CrossRef] [PubMed]
- Guckenberger, M.; Belka, C.; Bezjak, A.; Bradley, J.; Daly, M.E.; DeRuysscher, D.; Dziadziuszko, R.; Faivre-Finn, C.; Flentje, M.; Gore, E.; et al. Practice Recommendations for Lung Cancer Radiotherapy During the COVID-19 Pandemic: An ESTRO-ASTRO Consensus Statement. Int. J. Radiat. Oncol. 2020, 107, 631–640. [Google Scholar] [CrossRef]
- Luo, Q.; Egger, S.; Yu, X.Q.; Smith, D.P.; O’Connell, D.L. Validity of using multiple imputation for “unknown” stage at diagnosis in population-based cancer registry data. PLoS ONE 2017, 12, e0180033. [Google Scholar] [CrossRef] [PubMed]
- Sun, A.; Durocher-Allen, L.; Ellis, P.; Ung, Y.; Goffin, J.; Ramchandar, K.; Darling, G. Guideline for the Initial Management of Small Cell Lung Cancer (Limited and Extensive Stage) and the Role of Thoracic Radiotherapy and First-line Chemotherapy. Clin. Oncol. 2018, 30, 658–666. [Google Scholar] [CrossRef]


| Variables | All (n = 173) | 45 Gy/30 Fractions BID (n = 110) | 40 Gy/15 Fractions (n = 63) | p-Value *** | Pre-Weighting SMD * | Post-Weighting SMD * |
|---|---|---|---|---|---|---|
| Age (mean, SD) | 66.7 (9.7) | 65.7 (8.9) | 68.5 (10.8) | 0.12 | 0.33 | 0.001 |
| Gender (n, %) | 0.59 | 0.04 | 0 | |||
| Male | 98 (57) | 64 (58) | 34 (54) | |||
| Female | 75 (43) | 46 (42) | 29 (46) | |||
| Surgery (n, %) | 0.03 | 0.09 | 0 | |||
| Yes | 12 (7) | 4 (4) | 8 (13) | |||
| No | 161 (93) | 106 (96) | 55 (87) | |||
| ECOG (n, %) | 0.80 | 0.65 | 0 | |||
| 0 | 47 (27) | 29 (26) | 18 (29) | |||
| 1 | 84 (49) | 56 (51) | 28 (44) | |||
| 2 | 33 (19) | 19 (17) | 14 (22) | |||
| 3 | 9 (5) | 6 (6) | 3 (5) | |||
| Stage (n, %) | 0.13 | 0.13 | 0 | |||
| IA | 16 (9) | 5 (4) | 11 (17) | |||
| IB | 5 (3) | 1 (2) | 3 (5) | |||
| IIA | 5 (3) | 3 (3) | 2 (3) | |||
| IIB | 11 (6) | 8 (8) | 3 (5) | |||
| IIIA | 51 (29) | 35 (32) | 16 (25) | |||
| IIIB | 58 (34) | 39 (36) | 19 (30) | |||
| IIIC | 27 (16) | 18 (16) | 9 (14) | |||
| Year of Treatment (median, IQR) | 2013 (2009–2016) | 2014 (2010–2016) | 2011 (2008–2016) | 0.02 | 0.17 | 0 |
| Smoking Status (n, %) | 1.0 | 0.005 | 0 | |||
| Never/Not Documented | 6 (3) | 4 (4) | 2 (3) | |||
| Former | 112 (65) | 71 (64) | 41 (65) | |||
| Current | 55 (32) | 35 (32) | 20 (31) | |||
| Pack Years (mean, SD) | 43.34 (21.52) | 41.91 (21.66) | 45.84 (21.22) | 0.16 | 0.18 | 0 |
| Paraneoplastic Syndrome (n, %) | 0.89 | 0.007 | 0.003 | |||
| Yes | 20 (12) | 13 (12) | 7 (11) | |||
| No | 153 (88) | 97 (88) | 56 (89) | |||
| mCCI Score (n, %) | 0.79 | 0.05 | 0 | |||
| 0 | 114 (66) | 74 (67) | 40 (64) | |||
| 1 | 47 (27) | 28 (25) | 19 (30) | |||
| 2+ | 12 (7) | 8 (7) | 4 (6) | |||
| PET-CT scan (n, %) | <0.01 | 0.25 | 0 | |||
| Yes | 96 (55) | 71 (65) | 25 (40) | |||
| No | 77 (45) | 39 (35) | 38 (60) | |||
| Pre-treatment Brain Imaging (n, %) | 0.35 | 0.06 | 0 | |||
| None | 1 (1) | 0 (0) | 1 (1) | |||
| CT | 45 (26) | 27 (25) | 18 (29) | |||
| MRI | 127 (73) | 83 (75) | 44 (70) | |||
| 4D-CT Utilization (n, %) | 0.48 | 0.01 | 0 | |||
| Yes | 158 (91) | 101 (92) | 57 (90) | |||
| No | 15 (9) | 9 (8) | 6 (10) | |||
| Treatment Technique (n, %) | 0.01 | 0.20 | 0 | |||
| 3D-CRT | 22 (13) | 9 (8) | 13 (21) | |||
| IMRT | 135 (76) | 92 (84) | 40 (63) | |||
| VMAT | 19 (11) | 9 (8) | 10 (16) | |||
| IGRT Utilization (n, %) | <0.01 | 0.24 | 0 | |||
| Non-IGRT | 39 (23) | 16 (15) | 23 (37) | |||
| CBCT | 134 (77) | 94 (85) | 40 (63) | |||
| ** PCI Utilization (n, %) | 0.29 | |||||
| Yes | 121 (70) | 80 (73) | 41 (65) | |||
| No | 52 (30) | 30 (27) | 22 (35) | |||
| Chemotherapy (n, %) | <0.01 | 0.15 | 0 | |||
| Concurrent | 154 (89) | 104 (95) | 50 (79) | |||
| Sequential | 19 (11) | 6 (5) | 13 (21) | |||
| Cycles of Chemotherapy (n, %) | 0.12 | 0.36 | 0.03 | |||
| 0 | 1 (1) | 0 (0) | 1 (2) | |||
| 1 | 3 (2) | 1 (1) | 2 (3) | |||
| 2 | 9 (5) | 6 (5) | 3 (5) | |||
| 3 | 9 (5) | 3 (3) | 6 (10) | |||
| 4 | 63 (36) | 37 (34) | 26 (41) | |||
| 5 | 18 (10) | 13 (12) | 5 (8) | |||
| 6 | 70 (40) | 50 (45) | 20 (32) | |||
| Chemotherapy to RT Time in Days (mean, SD) | 56.05 (36.80) | 50.71 (32.37) | 65.38 (42.14) | 0.05 | 0.31 | 0 |
| Outcome | Unweighted | Overlap Weighted | ||||||
|---|---|---|---|---|---|---|---|---|
| Univariable | Multivariable | Univariable | Multivariable | |||||
| HR/OR (95% CI) | p-Value | HR/OR (95% CI) | p-Value | HR/OR (95% CI) | p-Value | HR/OR (95% CI) | p-Value | |
| OS | 0.84 (0.48–1.51) | 0.57 | 0.72 (0.36–1.40) | 0.32 | 1.16 (0.58–2.29) | 0.67 | 1.67 (0.70–3.95) | 0.25 |
| LRR risk | 0.86 (0.49–1.53) | 0.62 | 1.33 (0.64–2.75) | 0.44 | 1.29 (0.61–2.72) | 0.51 | 1.48 (0.62–3.54) | 0.38 |
| Thoracic Response | 3.89 (1.12–13.57) | 0.03 | 1.00 (0.22–4.64) | 1.00 | 1.00 (0.01–4.73) | 1.00 | 0.23 (0.02–2.23) | 0.21 |
| Toxicity | Unweighted | Overlap Weighted | ||||||
|---|---|---|---|---|---|---|---|---|
| Univariable | Multivariable | Univariable | Multivariable | |||||
| OR (95% CI) | p-Value | OR (95% CI) | p-Value | OR (95% CI) | p-Value | OR (95% CI) | p-Value | |
| Any Toxicity | 1.29 (0.14–0.36) | 0.52 | 1.31 (0.59–2.89) | 0.51 | 1.62 (0.58–4.53) | 0.36 | 1.67 (0.59–4.72) | 0.33 |
| Pulmonary | 1.29 (0.39–4.27) | 0.68 | 1.16 (0.31–4.30) | 0.82 | 1.06 (0.25–4.50) | 0.93 | 1.14 (0.32–4.10) | 0.84 |
| Esophageal | 1.15 (0.47–2.84) | 0.76 | 1.19 (0.47–3.02) | 0.72 | 1.38 (0.38–5.00) | 0.63 | 1.41 (0.36–5.51) | 0.62 |
| Author | Year | HFRT Schedule (Gy/fx) | n | Overall Survival (%) | ≥Grade 3 Esophageal Toxicity (%) | ≥Grade 3 Lung Toxicity (%) | |
|---|---|---|---|---|---|---|---|
| 2-Year | 5-Year | ||||||
| Murray et al. [10] * | 1993 | 40/15 | 155 # | 40 | 20 | 43.6 | 3.2 |
| Videtic et al. [32] | 2003 | 40/15 | 122 | 27 | 9 | - | - |
| Bettington et al. [8] | 2013 | 40/15 | 38 | - | 20 | - | - |
| Socha et al. [33] | 2015 | 42/15 | 100 | 52 | 31 | 0 | 0 |
| Grønberg et al. [7] | 2016 | 45/15 | 84 | 42 | - | 31 | 6 |
| Turgeon et al. [31] * | 2017 | 40/15 | 68 | 53 | 35 | 9 | 1 |
| Zhang et al. [34] | 2017 | 55/20 | 69 | 62 | - | 12 | 10 |
| Zayed et al. [9] | 2020 | 40–45/15–20 | 56 | - | 26 | 6+ | 3+ |
| Present study | 2020 | 40/15 | 63 | 47 | 24 | 14 | 8 |
Publisher’s Note: MDPI stays neutral with regard to jurisdictional claims in published maps and institutional affiliations. |
© 2021 by the authors. Licensee MDPI, Basel, Switzerland. This article is an open access article distributed under the terms and conditions of the Creative Commons Attribution (CC BY) license (https://creativecommons.org/licenses/by/4.0/).
Share and Cite
Yan, M.; Sigurdson, S.; Greifer, N.; Kennedy, T.A.C.; Toh, T.S.; Lindsay, P.E.; Weiss, J.; Hueniken, K.; Yeung, C.; Sugumar, V.; et al. A Comparison of Hypofractionated and Twice-Daily Thoracic Irradiation in Limited-Stage Small-Cell Lung Cancer: An Overlap-Weighted Analysis. Cancers 2021, 13, 2895. https://doi.org/10.3390/cancers13122895
Yan M, Sigurdson S, Greifer N, Kennedy TAC, Toh TS, Lindsay PE, Weiss J, Hueniken K, Yeung C, Sugumar V, et al. A Comparison of Hypofractionated and Twice-Daily Thoracic Irradiation in Limited-Stage Small-Cell Lung Cancer: An Overlap-Weighted Analysis. Cancers. 2021; 13(12):2895. https://doi.org/10.3390/cancers13122895
Chicago/Turabian StyleYan, Michael, Samantha Sigurdson, Noah Greifer, Thomas A. C. Kennedy, Tzen S. Toh, Patricia E. Lindsay, Jessica Weiss, Katrina Hueniken, Christy Yeung, Vijithan Sugumar, and et al. 2021. "A Comparison of Hypofractionated and Twice-Daily Thoracic Irradiation in Limited-Stage Small-Cell Lung Cancer: An Overlap-Weighted Analysis" Cancers 13, no. 12: 2895. https://doi.org/10.3390/cancers13122895
APA StyleYan, M., Sigurdson, S., Greifer, N., Kennedy, T. A. C., Toh, T. S., Lindsay, P. E., Weiss, J., Hueniken, K., Yeung, C., Sugumar, V., Sun, A., Bezjak, A., Cho, B. C. J., Raman, S., Hope, A. J., Giuliani, M. E., Stuart, E. A., Owen, T., Ashworth, A., ... Lok, B. H. (2021). A Comparison of Hypofractionated and Twice-Daily Thoracic Irradiation in Limited-Stage Small-Cell Lung Cancer: An Overlap-Weighted Analysis. Cancers, 13(12), 2895. https://doi.org/10.3390/cancers13122895

