Prognostic Significance of CHIP and RIPK3 in Non-Small Cell Lung Cancer
Abstract
1. Introduction
2. Results
2.1. Clinicopathologic Characteristics
2.2. Expression of CHIP and RIPK3
2.3. Correlation between CHIP/RIPK3 Expression and Clinicopathologic Parameters
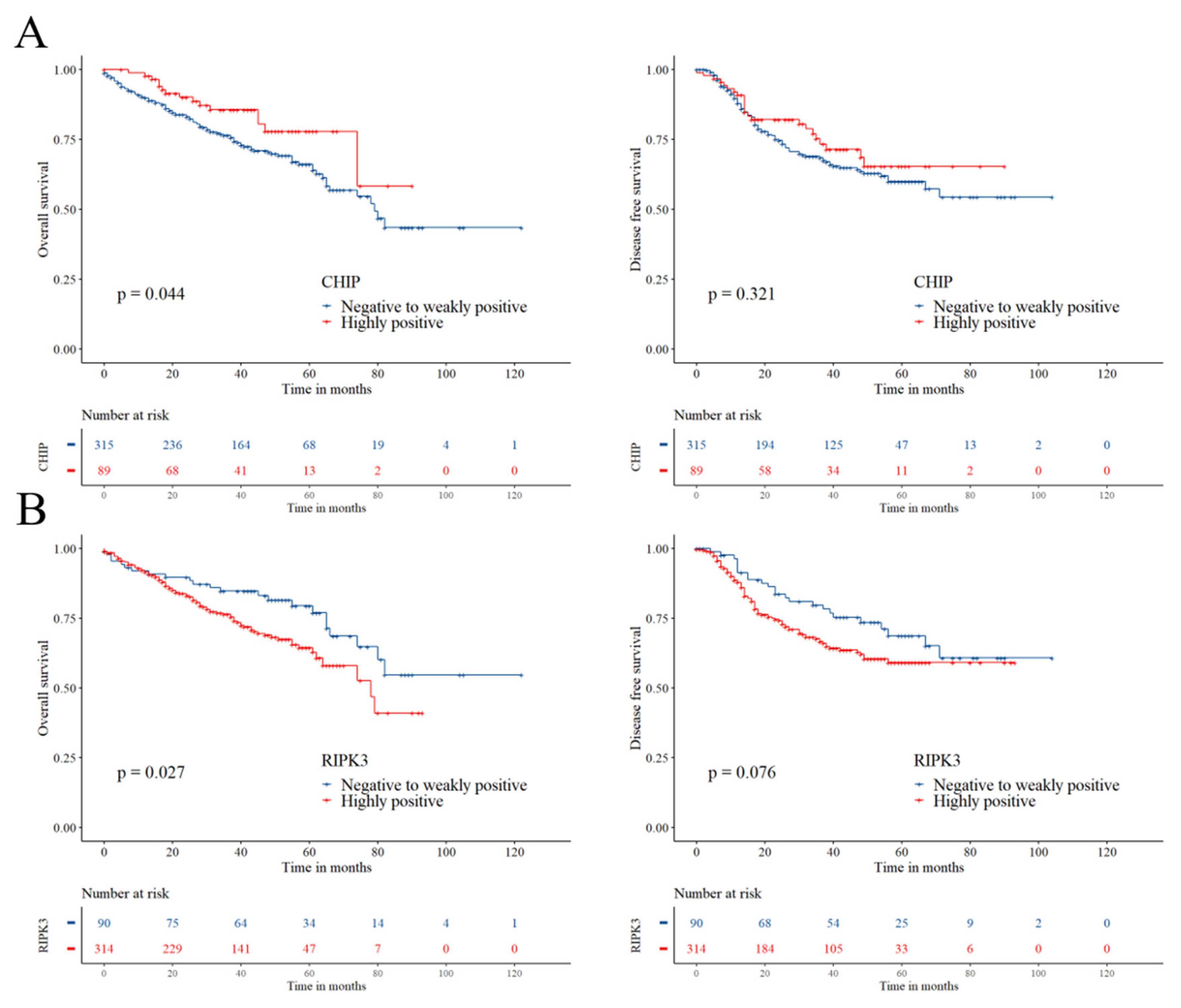
2.4. Prognostic Significance of CHIP and RIPK3
2.5. Prognostic Significance of the Combinations of CHIP and RIPK3 Expression
3. Discussion
4. Materials and Methods
4.1. Tumor Samples
4.2. Immunohistochemistry
4.3. Statistical Analysis
5. Conclusions
Supplementary Materials
Author Contributions
Funding
Acknowledgments
Conflicts of Interest
References
- Vercammen, D.; Beyaert, R.; Denecker, G.; Goossens, V.; Van Loo, G.; Declercq, W.; Grooten, J.; Fiers, W.; Vandenabeele, P. Inhibition of caspases increases the sensitivity of L929 cells to necrosis mediated by tumor necrosis factor. J. Exp. Med. 1998, 187, 1477–1485. [Google Scholar] [CrossRef] [PubMed]
- Johnstone, R.W.; Ruefli, A.A.; Lowe, S.W. Apoptosis. Cell 2002, 108, 153–164. [Google Scholar] [CrossRef]
- Gong, Y.; Fan, Z.; Luo, G.; Yang, C.; Huang, Q.; Fan, K.; Cheng, H.; Jin, K.; Ni, Q.; Yu, X.; et al. The role of necroptosis in cancer biology and therapy. Mol. Cancer 2019, 18. [Google Scholar] [CrossRef] [PubMed]
- Vandenabeele, P.; Galluzzi, L.; Vanden Berghe, T.; Kroemer, G. Molecular mechanisms of necroptosis: An ordered cellular explosion. Nat. Rev. Mol. Cell Biol. 2010, 11, 700–714. [Google Scholar] [CrossRef] [PubMed]
- Christofferson, D.E.; Yuan, J. Necroptosis as an alternative form of programmed cell death. Curr. Opin. Cell Biol. 2010, 22, 263–268. [Google Scholar] [CrossRef]
- Cho, Y.; Challa, S.; Moquin, D.; Genga, R.; Ray, T.D.; Guildford, M.; Chan, F.K.-M. Phosphorylation-driven assembly of the RIP1-RIP3 complex regulates programmed necrosis and virus-induced inflammation. Cell 2009, 137, 1112–1123. [Google Scholar] [CrossRef]
- Scaffidi, P.; Misteli, T.; Bianchi, M.E. Release of chromatin protein HMGB1 by necrotic cells triggers inflammation. Nature 2002, 418, 191–195. [Google Scholar] [CrossRef]
- Zhang, Q.; Raoof, M.; Chen, Y.; Sumi, Y.; Sursal, T.; Junger, W.; Brohi, K.; Itagaki, K.; Hauser, C.J. Circulating mitochondrial DAMPs cause inflammatory responses to injury. Nature 2010, 464, 104–107. [Google Scholar] [CrossRef]
- Galluzzi, L.; Bravo-San Pedro, J.M.; Vitale, I.; Aaronson, S.A.; Abrams, J.M.; Adam, D.; Alnemri, E.S.; Altucci, L.; Andrews, D.; Annicchiarico-Petruzzelli, M.; et al. Essential versus accessory aspects of cell death: Recommendations of the NCCD 2015. Cell Death Differ. 2015, 22, 58–73. [Google Scholar] [CrossRef]
- Linkermann, A.; Green, D.R. Necroptosis. N. Engl. J. Med. 2014, 370, 455–465. [Google Scholar] [CrossRef]
- Mizumura, K.; Maruoka, S.; Gon, Y.; Choi, A.M.K.; Hashimoto, S. The role of necroptosis in pulmonary diseases. Respir. Investig. 2016, 54, 407–412. [Google Scholar] [CrossRef] [PubMed]
- Sheridan, C. Death by inflammation: Drug makers chase the master controller. Nat. Biotechnol. 2019, 37, 111–113. [Google Scholar] [CrossRef] [PubMed]
- Chen, D.; Yu, J.; Zhang, L. Necroptosis: An alternative cell death program defending against cancer. Biochim. Biophys. Acta (BBA) Rev. Cancer 2016, 1865, 228–236. [Google Scholar] [CrossRef] [PubMed]
- Seifert, L.; Werba, G.; Tiwari, S.; Giao Ly, N.N.; Alothman, S.; Alqunaibit, D.; Avanzi, A.; Barilla, R.; Daley, D.; Greco, S.H.; et al. The necrosome promotes pancreatic oncogenesis via CXCL1 and Mincle-induced immune suppression. Nature 2016, 532, 245–249. [Google Scholar] [CrossRef] [PubMed]
- Strilic, B.; Yang, L.; Albarrán-Juárez, J.; Wachsmuth, L.; Han, K.; Müller, U.C.; Pasparakis, M.; Offermanns, S. Tumour-cell-induced endothelial cell necroptosis via death receptor 6 promotes metastasis. Nature 2016, 536, 215–218. [Google Scholar] [CrossRef]
- Seo, J.; Lee, E.-W.; Sung, H.; Seong, D.; Dondelinger, Y.; Shin, J.; Jeong, M.; Lee, H.-K.; Kim, J.-H.; Han, S.Y.; et al. CHIP controls necroptosis through ubiquitylation- and lysosome-dependent degradation of RIPK3. Nat. Cell Biol. 2016, 18, 291–302. [Google Scholar] [CrossRef]
- Paul, I.; Ghosh, M.K. The E3 ligase CHIP: Insights into its structure and regulation. BioMed Res. Int. 2014, 2014, 918183. [Google Scholar] [CrossRef]
- Seo, J.; Han, S.Y.; Seong, D.; Han, H.-J.; Song, J. Multifaceted C-terminus of HSP70-interacting protein regulates tumorigenesis via protein quality control. Arch. Pharmacal Res. 2019, 42, 63–75. [Google Scholar] [CrossRef]
- Liu, X.; Shi, F.; Li, Y.; Yu, X.; Peng, S.; Li, W.; Luo, X.; Cao, Y. Post-translational modifications as key regulators of TNF-induced necroptosis. Cell Death Dis. 2016, 7, e2293. [Google Scholar] [CrossRef]
- Najafov, A.; Chen, H.; Yuan, J. Necroptosis and cancer. Trends Cancer 2017, 3, 294–301. [Google Scholar] [CrossRef]
- Wang, T.; Jin, Y.; Yang, W.; Zhang, L.; Jin, X.; Liu, X.; He, Y.; Li, X. Necroptosis in cancer: An angel or a demon? Tumor Biol. 2017, 39. [Google Scholar] [CrossRef] [PubMed]
- Qin, X.; Ma, D.; Tan, Y.-X.; Wang, H.-Y.; Cai, Z. The role of necroptosis in cancer: A double-edged sword? Biochim. Biophys. Acta (BBA) Rev. Cancer 2019, 1871, 259–266. [Google Scholar] [CrossRef] [PubMed]
- American Cancer Society. Cancer Facts & Figures 2020; American Cancer Society: Atlanta, GA, USA, 2020. [Google Scholar]
- Jang, K.W.; Lee, J.E.; Kim, S.Y.; Kang, M.-W.; Na, M.H.; Lee, C.S.; Song, K.S.; Lim, S.P. The C-terminus of Hsp70-interacting protein promotes met receptor degradation. J. Thorac. Oncol. 2011, 6, 679–687. [Google Scholar] [CrossRef] [PubMed]
- Qian, T.T.; Wang, J.; Wang, Q.F.; Liu, Y.C.; Yu, S.J.; Wang, Z.Q.; Sun, D.M.; Wang, S.L.; Qian, T.T. CHIP involves in non-small cell lung cancer prognosis through VEGF pathway. Biomed. Pharmacother. 2016, 83, 271–276. [Google Scholar] [CrossRef]
- Lee, S.H.; Jeong, D.; Han, Y.S.; Baek, M.J. Pivotal role of vascular endothelial growth factor pathway in tumor angiogenesis. Ann. Surg. Treat. Res. 2015, 89, 1–8. [Google Scholar] [CrossRef] [PubMed]
- Esser, C.; Scheffner, M.; Höhfeld, J. The chaperone-associated ubiquitin ligase CHIP is able to target p53 for proteasomal degradation. J. Biol. Chem. 2005, 280, 27443–27448. [Google Scholar] [CrossRef]
- Xu, J.; Zhou, J.; Dai, H.; Liu, F.; Li, W.; Wang, W.; Guo, F. CHIP functions as an oncogene by promoting colorectal cancer metastasis via activation of MAPK and AKT signaling and suppression of E-cadherin. J. Transl. Med. 2018, 16. [Google Scholar] [CrossRef]
- Liang, Z.L.; Kim, M.; Huang, S.M.; Lee, H.J.; Kim, J.M. Expression of carboxyl terminus of Hsp70-interacting protein (CHIP) indicates poor prognosis in human gallbladder carcinoma. Oncol. Lett. 2013, 5, 813–818. [Google Scholar] [CrossRef]
- Luan, H.; Mohapatra, B.; Bielecki, T.A.; Mushtaq, I.; Mirza, S.; Jennings, T.A.; Clubb, R.J.; An, W.; Ahmed, D.; El-Ansari, R.; et al. Loss of the nuclear pool of ubiquitin ligase CHIP/STUB1 in breast cancer unleashes the MZF1-cathepsin pro-oncogenic program. Cancer Res. 2018, 78, 2524–2535. [Google Scholar] [CrossRef]
- Xiao, M.; Yan, M.; Zhang, J.; Xu, Q.; Chen, W. Carboxy-terminus Hsc70 interacting protein exerts a tumor inhibition function in head and neck cancer. Oncol. Rep. 2017, 38, 1629–1636. [Google Scholar] [CrossRef][Green Version]
- Chung, J.H.; Yoon, S.H.; Kang, Y.J.; Kim, Y.S.; Son, B.S.; Kwon, R.J.; Han, J.H.; Kim, D.H. Receptor-interacting protein kinase 3 as a predictive adjuvant chemotherapy marker after lung adenocarcinoma resection. Ann. Transl. Med. 2019, 7, 42. [Google Scholar] [CrossRef] [PubMed]
- Liu, X.; Zhou, M.; Mei, L.; Ruan, J.; Hu, Q.; Peng, J.; Su, H.; Liao, H.; Liu, S.; Liu, W.; et al. Key roles of necroptotic factors in promoting tumor growth. Oncotarget 2016, 7, 22219–22233. [Google Scholar] [CrossRef] [PubMed]
- Hanahan, D.; Weinberg, R.A. Hallmarks of cancer: The next generation. Cell 2011, 144, 646–674. [Google Scholar] [CrossRef] [PubMed]
- Rudenko, I.N.; Kaganovich, A.; Langston, R.G.; Beilina, A.; Ndukwe, K.; Kumaran, R.; Dillman, A.A.; Chia, R.; Cookson, M.R. The G2385R risk factor for Parkinson’s disease enhances CHIP-dependent intracellular degradation of LRRK2. Biochem. J. 2017, 474, 1547–1558. [Google Scholar] [CrossRef] [PubMed]
- Zhang, H.-T.; Zeng, L.-F.; He, Q.-Y.; Tao, W.A.; Zha, Z.-G.; Hu, C.-D. The E3 ubiquitin ligase CHIP mediates ubiquitination and proteasomal degradation of PRMT5. Biochim. Biophys. Acta (BBA) Mol. Cell Res. 2016, 1863, 335–346. [Google Scholar] [CrossRef]
- Haque, A.; Alam, Q.; Alam, M.Z.; Azhar, E.I.; Sait, K.H.; Anfinan, N.; Mushtaq, G.; Kamal, M.A.; Rasool, M. Current understanding of HSP90 as a novel therapeutic target: An emerging approach for the treatment of cancer. Curr. Pharm. Des. 2016, 22, 2947–2959. [Google Scholar] [CrossRef]
- Hothorn, T.; Lausen, B. On the exact distribution of maximally selected rank statistics. Comput. Stat. Data Anal. 2003, 43, 121–137. [Google Scholar] [CrossRef]




| Clinicopathologic Variables | All (n = 404) | CHIP (-) (n = 315) | CHIP (+) (n = 89) | p | RIPK3 (−) (n = 90) | RIPK3 (+) (n = 314) | p |
|---|---|---|---|---|---|---|---|
| Age | |||||||
| <65 yrs | 245 (60.6%) | 193 (61.3%) | 52 (58.4%) | 0.628 | 59 (65.6%) | 186 (59.2%) | 0.279 |
| ≥65 yrs | 159 (39.4%) | 122 (38.7%) | 37 (41.6%) | 31 (34.4%) | 128 (40.8%) | ||
| Gender | |||||||
| Male | 283 (70.0%) | 218 (69.2%) | 65 (73.0%) | 0.486 | 64 (71.1%) | 219 (69.7%) | 0.803 |
| Female | 121 (30.0%) | 97 (30.8%) | 24 (27.0%) | 26 (28.9%) | 95 (30.3%) | ||
| Smoking | |||||||
| No smoking history | 146 (36.1%) | 119 (37.8%) | 27 (30.3%) | 0.197 | 32 (35.6%) | 114 (36.3%) | 0.896 |
| Smoking history | 258 (63.9%) | 196 (62.2%) | 62 (69.7%) | 58 (64.4%) | 200 (63.7%) | ||
| Operation type | |||||||
| Lobectomy | 348 (86.1%) | 273 (86.7%) | 75 (84.3%) | 0.412 | 81 (90.0%) | 267 (85.0%) | 0.576 |
| Bilobectomy | 26 (6.4%) | 20 (6.3%) | 6 6.7%) | 3 (3.3%) | 23 (7.3%) | ||
| Pneumonectomy | 25 (6.2%) | 17 (5.4%) | 8 (9.0%) | 5 (5.6%) | 20 (6.4%) | ||
| Others a | 5 (1.2%) | 5 (1.6%) | 0 (0%) | 1 (1.1%) | 4 (1.3%) | ||
| Stage | |||||||
| I | 177 (43.8%) | 146 (46.3%) | 31 (34.8%) | 0.053 | 63 (70.0%) | 114 (36.3%) | <0.001 |
| II–III | 227 (56.2%) | 169 (53.7%) | 58 (65.2%) | 27 (30.0%) | 200 (63.7%) | ||
| Histology | |||||||
| Adenocarcinoma | 247 (61.1%) | 209 (66.3%) | 38 (42.7%) | <0.001 | 64 (71.1%) | 183 (58.3%) | 0.077 |
| Squamous cell carcinoma | 146 (36.1%) | 97 (30.8%) | 49 (55.1%) | 24 (26.7%) | 122 (38.9%) | ||
| Other types b | 11 (2.7%) | 9 (2.9%) | 2 (2.2%) | 2 (2.2%) | 9 (2.9%) | ||
| Grade | |||||||
| 1 | 86 (21.9%) | 78 (25.4%) | 8 (9.3%) | 0.001 | 31 (35.6%) | 55 (18.0%) | <0.001 |
| 2–3 | 307 (76.0%) | 229 (74.6%) | 78 (90.7%) | 56 (64.4%) | 251 (82.0%) | ||
| Adjuvant therapy | |||||||
| Not performed | 217 (53.7%) | 172 (54.6%) | 45 (50.6%) | 0.500 | 70 (77.8%) | 147 (46.8%) | <0.001 |
| Performed | 187 (46.3%) | 143 (45.4%) | 44 (49.4%) | 20 (22.2%) | 167 (53.2%) | ||
| RIPK3 | |||||||
| Negative-to-weakly positive | 90 (22.3%) | 84 (26.7%) | 6 (6.7%) | <0.001 | N/A | N/A | N/A |
| Highly positive | 314 (77.7%) | 231 (73.3%) | 83 (93.3%) | N/A | N/A |
| Variable | Overall Survival | Disease-Free Survival | ||
|---|---|---|---|---|
| HR (95% CI) | p | HR (95% CI) | p | |
| General population | ||||
| Age ≥ 65 (vs. <65) | 1.640 (1.134–2.372) | 0.009 | 1.052 (0.729–1.518) | 0.787 |
| Male (vs. female) | 1.678 (1.087–2.589) | 0.019 | 1.137 (0.771–1.676) | 0.516 |
| Smoking history (vs. no smoking history) | 1.611 (1.076–2.414) | 0.021 | 0.949 (0.658–1.368) | 0.779 |
| Operation type | ||||
| Lobectomy | 1 | 1 | ||
| Bilobectomy | 1.649 (0.857–3.174) | 0.134 | 1.226 (0.620–2.423) | 0.557 |
| Pneumonectomy | 2.123 (1.065–4.232) | 0.032 | 0.911 (0.400–2.075) | 0.825 |
| Others a | 2.343 (1.015–5.406) | 0.046 | 2.088 (0.291–14.994) | 0.464 |
| Adjuvant therapy (+ vs. −) | 2.322 (1.565–3.445) | <0.001 | 2.460 (1.696–3.567) | <0.001 |
| Histology | ||||
| Adenocarcinoma | 1 | 1 | ||
| Squamous cell carcinoma (vs. adenocarcinoma) | 1.154 (0.781–1.708) | 0.472 | 0.603 (0.400–0.910) | 0.016 |
| Other types b (vs. adenocarcinoma) | 5.064 (2.309–11.107) | <0.001 | 2.199 (0.805–6.003) | 0.124 |
| Stage II–III (vs. Stage I) | 4.758 (2.952–7.669) | <0.001 | 2.257 (1.539–3.309) | <0.001 |
| Grade 2–3 (vs. Grade 1) | 3.127 (1.743–5.609) | <0.001 | 1.719 (1.077–2.745) | 0.023 |
| CHIP expression (+ vs. −) | 0.576 (0.334–0.993) | 0.047 | 0.795 (0.504–1.252) | 0.322 |
| RIPK3 expression (+ vs. −) | 1.697 (1.058–2.721) | 0.028 | 1.501 (0.955–2.361) | 0.078 |
| CHIP(-)/RIPK3(+) (vs. Others c) | 1.999 (1.341–2.980) | 0.001 | 1.566 (1.080–2.272) | 0.018 |
| Adjuvant chemotherapy recipients | ||||
| CHIP expression (+ vs. −) | 0.526 (0.235–1.178) | 0.118 | 0.571 (0.288–1.133) | 0.109 |
| RIPK3 expression (+ vs. −) | 1.219 (0.436–3.409) | 0.706 | 1.310 (0.521–3.297) | 0.566 |
| Adjuvant chemotherapy non-recipients | ||||
| CHIP expression (+ vs. −) | 0.584 (0.279–1.225) | 0.155 | 0.968 (0.527–1.780) | 0.918 |
| RIPK3 expression (+ vs. −) | 1.652 (0.958–2.850) | 0.071 | 1.301 (0.757–2.236) | 0.340 |
| Adjuvant radiotherapy recipients | ||||
| CHIP expression (+ vs. −) | 0.555 (0.236–1.305) | 0.177 | 0.977 (0.473–2.015) | 0.949 |
| RIPK3 expression (+ vs. −) | 2.143 (0.770–5.969) | 0.145 | 2.100 (0.829–5.324) | 0.118 |
| Adjuvant radiotherapy non-recipients | ||||
| CHIP expression (+ vs. −) | 0.624 (0.307–1.267) | 0.192 | 0.795 (0.442–1.428) | 0.442 |
| RIPK3 expression (+ vs. −) | 1.322 (0.756–2.310) | 0.327 | 1.199 (0.703–2.045) | 0.506 |
| Variable | Overall Survival | |
|---|---|---|
| HR (95% CI) | p | |
| Age ≥ 65 (vs. <65) | 1.445 (0.926–2.255) | 0.105 |
| Male (vs. female) | 1.435 (0.673–3.057) | 0.350 |
| Smoking history (vs. no smoking history) | 0.992 (0.490–2.009) | 0.982 |
| Operation type | ||
| Lobectomy | 1 | |
| Bilobectomy | 1.036 (0.498–2.153) | 0.926 |
| Pneumonectomy | 1.432 (0.669–3.068) | 0.355 |
| Others a | 7.375 (2.232–24.370) | 0.001 |
| Adjuvant therapy (+ vs. −) | 0.526 (0.291–0.949) | 0.033 |
| Histology | ||
| Adenocarcinoma | 1 | |
| Squamous cell carcinoma (vs. adenocarcinoma) | 0.609 (0.366–1.012) | 0.056 |
| Other types b (vs. adenocarcinoma) | 4.836 (1.603–14.590) | 0.005 |
| Stage II–III (vs. Stage I) | 7.101 (3.562–14.156) | <0.001 |
| Grade 2–3 (vs. Grade 1) | 2.245 (1.176–4.288) | 0.014 |
| CHIP expression (+ vs. −) | 0.500 (0.279–0.899) | 0.021 |
| RIPK3 expression (+ vs. −) | 1.251 (0.734–2.130) | 0.410 |
| Variable | Overall Survival | Disease-Free Survival | ||
|---|---|---|---|---|
| HR (95% CI) | p | HR (95% CI) | p | |
| Age ≥ 65 (vs. <65) | 1.407 (0.904–2.190) | 0.131 | – | – |
| Male (vs. female) | 1.512 (0.714–3.204) | 0.280 | – | – |
| Smoking history (vs. no smoking history) | 0.984 (0.487–1.988) | 0.964 | – | – |
| Operation type | ||||
| Lobectomy | 1 | 1 | ||
| Bilobectomy | 1.042 (0.501–2.168) | 0.912 | 1.409 (0.667–2.977) | 0.369 |
| Pneumonectomy | 1.437 (0.671–3.078) | 0.351 | 1.098 (0.412–2.926) | 0.851 |
| Others a | 8.085 (2.527–25.873) | <0.001 | 2.957 (0.399–21.910) | 0.289 |
| Adjuvant therapy (+ vs. −) | 0.516 (0.286–0.931) | 0.028 | 1.538 (0.767–3.087) | 0.225 |
| Histology | ||||
| Adenocarcinoma | 1 | 1 | ||
| Squamous cell carcinoma (vs. adenocarcinoma) | 0.575 (0.348–0.948) | 0.030 | 0.385 (0.235–0.632) | <0.001 |
| Other types b (vs. adenocarcinoma) | 5.112 (1.737–15.039) | 0.003 | 3.655 (1.038–12.872) | 0.044 |
| Stage II–III (vs. Stage I) | 6.820 (3.435–13.539) | <0.001 | 1.683 (0.819–3.461) | 0.157 |
| Grade 2–3 (vs. Grade 1) | 2.198 (1.150–4.201) | 0.017 | 1.678 (1.011–2.784) | 0.045 |
| CHIP(−)/RIPK3(+) (vs. Others c) | 1.624 (1.060–2.487) | 0.026 | 1.192 (0.804–1.767) | 0.381 |
© 2020 by the authors. Licensee MDPI, Basel, Switzerland. This article is an open access article distributed under the terms and conditions of the Creative Commons Attribution (CC BY) license (http://creativecommons.org/licenses/by/4.0/).
Share and Cite
Kim, J.; Chung, J.-Y.; Park, Y.S.; Jang, S.J.; Kim, H.R.; Choi, C.-M.; Song, J.S. Prognostic Significance of CHIP and RIPK3 in Non-Small Cell Lung Cancer. Cancers 2020, 12, 1496. https://doi.org/10.3390/cancers12061496
Kim J, Chung J-Y, Park YS, Jang SJ, Kim HR, Choi C-M, Song JS. Prognostic Significance of CHIP and RIPK3 in Non-Small Cell Lung Cancer. Cancers. 2020; 12(6):1496. https://doi.org/10.3390/cancers12061496
Chicago/Turabian StyleKim, Jisup, Joon-Yong Chung, Young Soo Park, Se Jin Jang, Hyeong Ryul Kim, Chang-Min Choi, and Joon Seon Song. 2020. "Prognostic Significance of CHIP and RIPK3 in Non-Small Cell Lung Cancer" Cancers 12, no. 6: 1496. https://doi.org/10.3390/cancers12061496
APA StyleKim, J., Chung, J.-Y., Park, Y. S., Jang, S. J., Kim, H. R., Choi, C.-M., & Song, J. S. (2020). Prognostic Significance of CHIP and RIPK3 in Non-Small Cell Lung Cancer. Cancers, 12(6), 1496. https://doi.org/10.3390/cancers12061496

