The Prognostic Value of the Detection of Microbial Translocation in the Blood of Colorectal Cancer Patients
Abstract
1. Introduction
2. Results
2.1. Patients’ Characteristics
2.2. Microbial DNA Detection in the Blood of CRC Patients and Controls
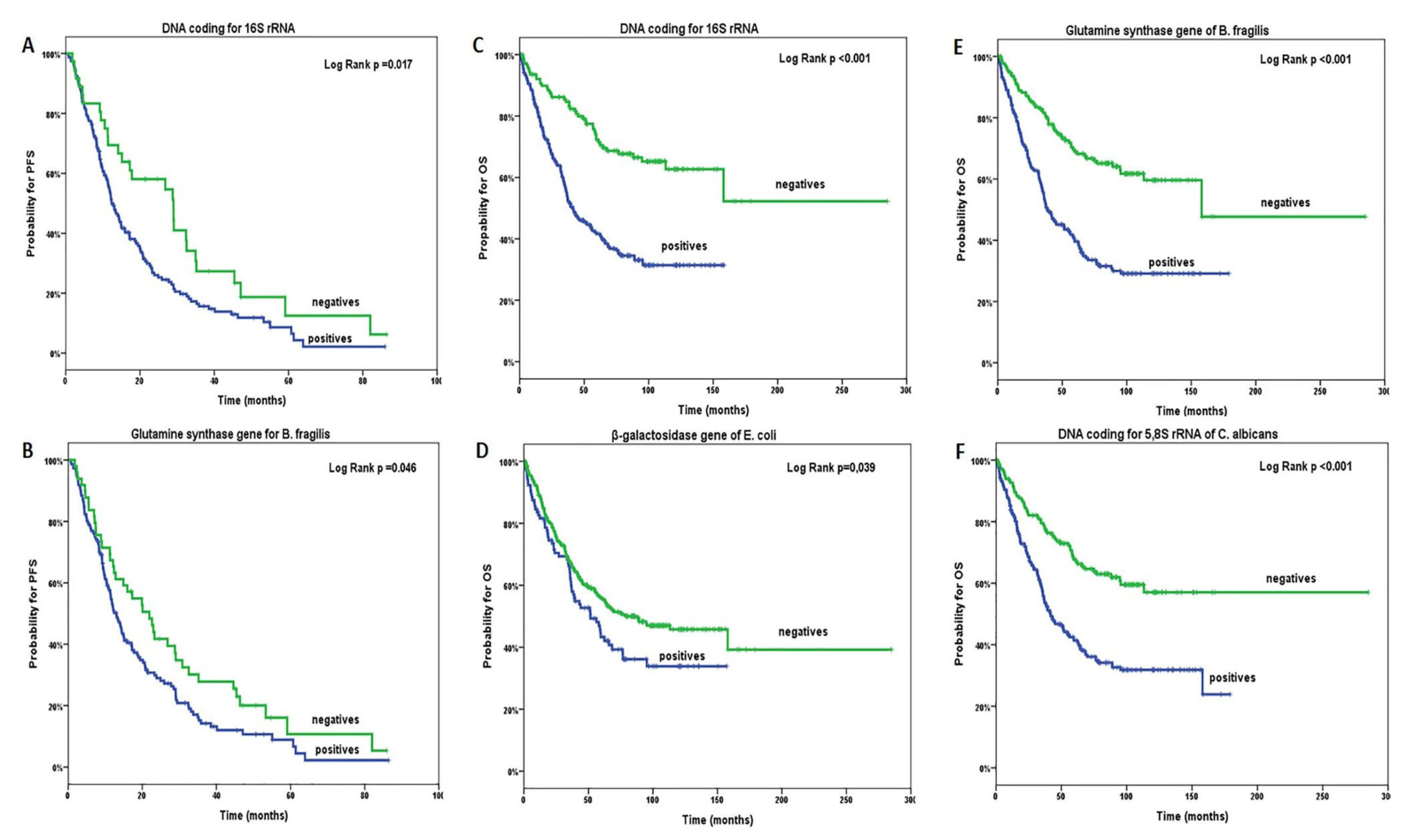
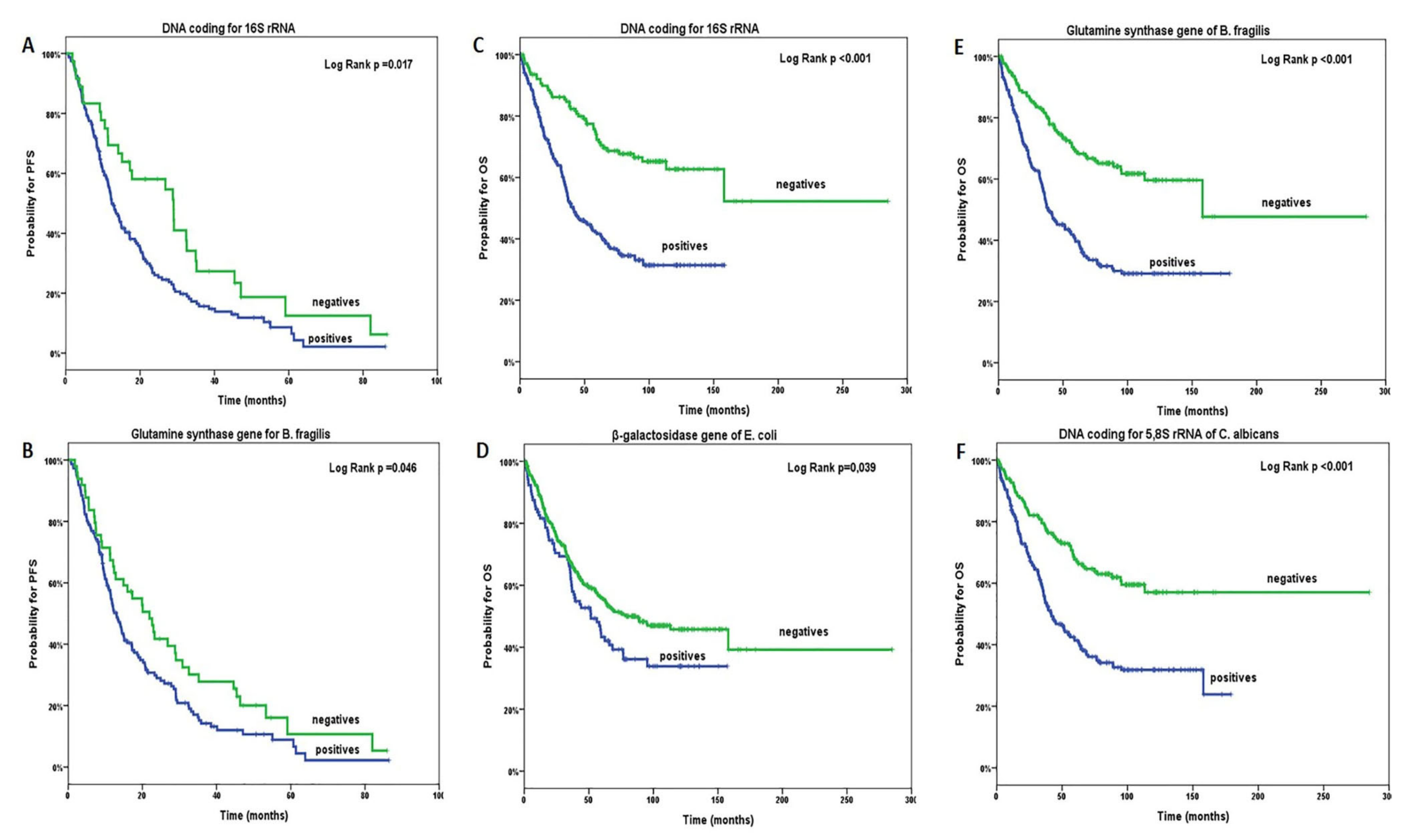
2.3. Association of Microbial DNA Detection and Clinical Outcome
2.4. Association of Tumor Location and Clinical Outcome
2.5. Correlation of Microbial DNA Presence and TLR and VDR Polymorphisms
2.6. Univariate and Multivariate Analysis
3. Discussion
4. Materials and Methods
4.1. Enrollment of Patients
4.2. Ethics Approval and Consent to Participate
4.3. Blood Samples and Genomic DNA Extraction
4.4. Microbial DNA Amplification by PCR
4.5. Study Design and Statistics
5. Conclusions
Supplementary Materials
Author Contributions
Funding
Conflicts of Interest
References
- Cho, I.; Blaser, M.J. The human microbiome: At the interface of health and disease. Nat. Rev. Genet. 2012, 13, 260–270. [Google Scholar] [CrossRef] [PubMed]
- Hollister, E.B.; Gao, C.; Versalovic, J. Compositional and functional features of the gastrointestinal microbiome and their effects on human health. Gastroenterology 2014, 146, 1449–1458. [Google Scholar] [CrossRef] [PubMed]
- Arroyo, V.; Moreau, R.; Kamath, P.S.; Jalan, R.; Gines, P.; Nevens, F.; Fernandez, J.; To, U.; Garcia-Tsao, G.; Schnabl, B. Acute-on-chronic liver failure in cirrhosis. Nat. Rev. Dis. Primers 2016, 2, 16041. [Google Scholar] [CrossRef] [PubMed]
- Fowlie, G.; Cohen, N.; Ming, X. The Perturbance of Microbiome and Gut-Brain Axis in Autism Spectrum Disorders. Int. J. Mol. Sci. 2018, 19, 2251. [Google Scholar] [CrossRef] [PubMed]
- Wree, A.; Geisler, L.J.; Tacke, F. [Microbiome & NASH—partners in crime driving progression of fatty liver disease]. Z. Gastroenterol. 2019, 57, 871–882. [Google Scholar] [CrossRef] [PubMed]
- De Melo, L.G.P.; Nunes, S.O.V.; Anderson, G.; Vargas, H.O.; Barbosa, D.S.; Galecki, P.; Carvalho, A.F.; Maes, M. Shared metabolic and immune-inflammatory, oxidative and nitrosative stress pathways in the metabolic syndrome and mood disorders. Prog. Neuropsychopharmacol. Biol. Psychiatry 2017, 78, 34–50. [Google Scholar] [CrossRef]
- Fukui, H. Increased Intestinal Permeability and Decreased Barrier Function: Does It Really Influence the Risk of Inflammation? Inflamm. Intest. Dis. 2016, 1, 135–145. [Google Scholar] [CrossRef]
- Yu, L.C. Microbiota dysbiosis and barrier dysfunction in inflammatory bowel disease and colorectal cancers: Exploring a common ground hypothesis. J. Biomed. Sci. 2018, 25, 79. [Google Scholar] [CrossRef]
- Fukushima, R.; Gianotti, L.; Alexander, J.W.; Pyles, T. The degree of bacterial translocation is a determinant factor for mortality after burn injury and is improved by prostaglandin analogs. Ann. Surg. 1992, 216, 438–444. [Google Scholar] [CrossRef]
- Ono, S.; Tsujimoto, H.; Yamauchi, A.; Hiraki, S.; Takayama, E.; Mochizuki, H. Detection of microbial DNA in the blood of surgical patients for diagnosing bacterial translocation. World J. Surg. 2005, 29, 535–539. [Google Scholar] [CrossRef]
- Kane, T.D.; Alexander, J.W.; Johannigman, J.A. The detection of microbial DNA in the blood: A sensitive method for diagnosing bacteremia and/or bacterial translocation in surgical patients. Ann. Surg. 1998, 227, 1–9. [Google Scholar] [CrossRef] [PubMed]
- Sibbald, W.J.; Vincent, J.L. Round table conference on clinical trials for the treatment of sepsis. Crit. Care Med. 1995, 23, 394–399. [Google Scholar] [CrossRef] [PubMed]
- Barriere, S.L.; Lowry, S.F. An overview of mortality risk prediction in sepsis. Crit. Care Med. 1995, 23, 376–393. [Google Scholar] [CrossRef] [PubMed]
- Bruns, T.; Reuken, P.A.; Stengel, S.; Gerber, L.; Appenrodt, B.; Schade, J.H.; Lammert, F.; Zeuzem, S.; Stallmach, A. The prognostic significance of bacterial DNA in patients with decompensated cirrhosis and suspected infection. Liver Int. 2016, 36, 1133–1142. [Google Scholar] [CrossRef]
- Merlini, E.; Bellistri, G.M.; Tincati, C.; d’Arminio Monforte, A.; Marchetti, G. Sequencing of bacterial microflora in peripheral blood: Our experience with HIV-infected patients. J. Vis. Exp. 2011, 2830. [Google Scholar] [CrossRef]
- Siegel, R.L.; Miller, K.D.; Jemal, A. Cancer Statistics, 2017. CA Cancer J. Clin. 2017, 67, 7–30. [Google Scholar] [CrossRef]
- Preidis, G.A.; Versalovic, J. Targeting the human microbiome with antibiotics, probiotics, and prebiotics: Gastroenterology enters the metagenomics era. Gastroenterology 2009, 136, 2015–2031. [Google Scholar] [CrossRef]
- Messaritakis, I.; Stogiannitsi, M.; Koulouridi, A.; Sfakianaki, M.; Voutsina, A.; Sotiriou, A.; Athanasakis, E.; Xynos, E.; Mavroudis, D.; Tzardi, M.; et al. Evaluation of the detection of Toll-like receptors (TLRs) in cancer development and progression in patients with colorectal cancer. PLoS ONE 2018, 13, e0197327. [Google Scholar] [CrossRef]
- Messaritakis, I.; Koulouridi, A.; Sfakianaki, M.; Gouvas, N.; Athanasakis, E.; Tsiaoussis, I.; Xynos, E.; Mavroudis, D.; Tzardi, M.; Jouglakos, J. The Role of Vitamin D Receptor Gene Polymorphisms in Colorectal Cancer Risk; Research Square: Heraklion, Greece, 2019. [Google Scholar] [CrossRef]
- McFall-Ngai, M.; Hadfield, M.G.; Bosch, T.C.; Carey, H.V.; Domazet-Loso, T.; Douglas, A.E.; Dubilier, N.; Eberl, G.; Fukami, T.; Gilbert, S.F.; et al. Animals in a bacterial world, a new imperative for the life sciences. Proc. Natl. Acad. Sci. USA 2013, 110, 3229–3236. [Google Scholar] [CrossRef]
- Chu, H.; Mazmanian, S.K. Innate immune recognition of the microbiota promotes host-microbial symbiosis. Nat. Immunol. 2013, 14, 668–675. [Google Scholar] [CrossRef]
- Hansen, C.H.; Nielsen, D.S.; Kverka, M.; Zakostelska, Z.; Klimesova, K.; Hudcovic, T.; Tlaskalova-Hogenova, H.; Hansen, A.K. Patterns of early gut colonization shape future immune responses of the host. PLoS ONE 2012, 7, e34043. [Google Scholar] [CrossRef] [PubMed]
- Kremer, N.; Philipp, E.E.; Carpentier, M.C.; Brennan, C.A.; Kraemer, L.; Altura, M.A.; Augustin, R.; Hasler, R.; Heath-Heckman, E.A.; Peyer, S.M.; et al. Initial symbiont contact orchestrates host-organ-wide transcriptional changes that prime tissue colonization. Cell Host Microbe 2013, 14, 183–194. [Google Scholar] [CrossRef] [PubMed]
- Moore, W.E.; Moore, L.H. Intestinal floras of populations that have a high risk of colon cancer. Appl. Environ. Microbiol. 1995, 61, 3202–3207. [Google Scholar] [CrossRef] [PubMed]
- Marchesi, J.R.; Dutilh, B.E.; Hall, N.; Peters, W.H.; Roelofs, R.; Boleij, A.; Tjalsma, H. Towards the human colorectal cancer microbiome. PLoS ONE 2011, 6, e20447. [Google Scholar] [CrossRef] [PubMed]
- Sobhani, I.; Tap, J.; Roudot-Thoraval, F.; Roperch, J.P.; Letulle, S.; Langella, P.; Corthier, G.; Tran Van Nhieu, J.; Furet, J.P. Microbial dysbiosis in colorectal cancer (CRC) patients. PLoS ONE 2011, 6, e16393. [Google Scholar] [CrossRef]
- Swidsinski, A.; Khilkin, M.; Kerjaschki, D.; Schreiber, S.; Ortner, M.; Weber, J.; Lochs, H. Association between intraepithelial Escherichia coli and colorectal cancer. Gastroenterology 1998, 115, 281–286. [Google Scholar] [CrossRef]
- Weir, T.L.; Manter, D.K.; Sheflin, A.M.; Barnett, B.A.; Heuberger, A.L.; Ryan, E.P. Stool microbiome and metabolome differences between colorectal cancer patients and healthy adults. PLoS ONE 2013, 8, e70803. [Google Scholar] [CrossRef]
- Proal, A.D.; Albert, P.J.; Marshall, T.G. Inflammatory disease and the human microbiome. Discov. Med. 2014, 17, 257–265. [Google Scholar]
- Gombart, A.F.; Luong, Q.T.; Koeffler, H.P. Vitamin D compounds: Activity against microbes and cancer. Anticancer Res. 2006, 26, 2531–2542. [Google Scholar]
- Mukherjee, S.; Huda, S.; Sinha Babu, S.P. Toll-like receptor polymorphism in host immune response to infectious diseases: A review. Scand. J. Immunol. 2019, 90, e12771. [Google Scholar] [CrossRef]
- Uzun, O.; Akalin, H.E.; Hayran, M.; Unal, S. Factors influencing prognosis in bacteremia due to gram-negative organisms: Evaluation of 448 episodes in a Turkish university hospital. Clin. Infect. Dis. 1992, 15, 866–873. [Google Scholar] [CrossRef] [PubMed]
- Hilf, M.; Yu, V.L.; Sharp, J.; Zuravleff, J.J.; Korvick, J.A.; Muder, R.R. Antibiotic therapy for Pseudomonas aeruginosa bacteremia: Outcome correlations in a prospective study of 200 patients. Am. J. Med. 1989, 87, 540–546. [Google Scholar] [CrossRef]
- Li, Y.; Zuo, L.; Zhu, W.; Gong, J.; Zhang, W.; Gu, L.; Guo, Z.; Li, N.; Li, J. The impact of bacterial DNA translocation on early postoperative outcomes in Crohn’s patients undergoing abdominal surgery. J. Crohns Colitis 2015, 9, 259–265. [Google Scholar] [CrossRef] [PubMed]
- Rodriguez-Laiz, G.P.; Zapater, P.; Melgar, P.; Alcazar, C.; Franco, M.; Gimenez, P.; Pascual, S.; Bellot, P.; Palazon, J.M.; Rodriguez, M.; et al. Bacterial DNA translocation contributes to systemic inflammation and to minor changes in the clinical outcome of liver transplantation. Sci. Rep. 2019, 9, 835. [Google Scholar] [CrossRef] [PubMed]
- Frey, M.; Jaulhac, B.; Piemont, Y.; Marcellin, L.; Boohs, P.M.; Vautravers, P.; Jesel, M.; Kuntz, J.L.; Monteil, H.; Sibilia, J. Detection of Borrelia burgdorferi DNA in muscle of patients with chronic myalgia related to Lyme disease. Am. J. Med. 1998, 104, 591–594. [Google Scholar] [CrossRef]
- Ota, A.; Morita, S.; Matsuoka, A.; Shimokata, T.; Maeda, O.; Mitsuma, A.; Yagi, T.; Asahara, T.; Ando, Y. Detection of bacteria in blood circulation in patients receiving cancer chemotherapy. Int. J. Clin. Oncol. 2020, 25, 210–215. [Google Scholar] [CrossRef]
- Lescut, D.; Colombel, J.F.; Vincent, P.; Cortot, A.; Fournier, L.; Quandalle, P.; Vankemmel, M.; Triboulet, J.P.; Wurtz, A.; Paris, J.C.; et al. Bacterial translocation in colorectal cancers. Gastroenterol. Clin. Biol. 1990, 14, 811–814. [Google Scholar]
- Baran, B.; Mert Ozupek, N.; Yerli Tetik, N.; Acar, E.; Bekcioglu, O.; Baskin, Y. Difference Between Left-Sided and Right-Sided Colorectal Cancer: A Focused Review of Literature. Gastroenterol. Res. 2018, 11, 264–273. [Google Scholar] [CrossRef]
- Dejea, C.M.; Wick, E.C.; Hechenbleikner, E.M.; White, J.R.; Mark Welch, J.L.; Rossetti, B.J.; Peterson, S.N.; Snesrud, E.C.; Borisy, G.G.; Lazarev, M.; et al. Microbiota organization is a distinct feature of proximal colorectal cancers. Proc. Natl. Acad. Sci. USA 2014, 111, 18321–18326. [Google Scholar] [CrossRef]
- Lim, D.R.; Kuk, J.K.; Kim, T.; Shin, E.J. Comparison of oncological outcomes of right-sided colon cancer versus left-sided colon cancer after curative resection: Which side is better outcome? Medicine (Baltimore) 2017, 96, e8241. [Google Scholar] [CrossRef]
- Ulanja, M.B.; Rishi, M.; Beutler, B.D.; Sharma, M.; Patterson, D.R.; Gullapalli, N.; Ambika, S. Colon Cancer Sidedness, Presentation, and Survival at Different Stages. J. Oncol. 2019, 2019, 4315032. [Google Scholar] [CrossRef] [PubMed]
- Triest, L.; Debeuckelaere, C.; Vandamme, T.; Van Den Heuvel, B.; Van Den Brande, J.; Papadimitriou, K.; Rasschaert, M.; Prenen, H.; Peeters, M. Should Anti-EGFR Agents Be Used in Right-Sided RAS Wild-type Advanced Colorectal Cancer? Curr. Colorectal Cancer Rep. 2019, 15, 130–134. [Google Scholar] [CrossRef]
- Holch, J.W.; Ricard, I.; Stintzing, S.; Modest, D.P.; Heinemann, V. The relevance of primary tumour location in patients with metastatic colorectal cancer: A meta-analysis of first-line clinical trials. Eur. J. Cancer 2017, 70, 87–98. [Google Scholar] [CrossRef] [PubMed]
- Snyder, M.; Bottiglieri, S.; Almhanna, K. Impact of Primary Tumor Location on First-line Bevacizumab or Cetuximab in Metastatic Colorectal Cancer. Rev. Recent Clin. Trials 2018, 13, 139–149. [Google Scholar] [CrossRef]
- Yuequan, S.; Zifang, Z.; Kerr, D. Why Don’t Immune Checkpoint Inhibitors Work in Colorectal Cancer? J. Cancer Sci. Res. 2017, 2, e2. [Google Scholar] [CrossRef]
- Qin, Q.; Yang, L.; Sun, Y.K.; Ying, J.M.; Song, Y.; Zhang, W.; Wang, J.W.; Zhou, A.P. Comparison of 627 patients with right- and left-sided colon cancer in China: Differences in clinicopathology, recurrence, and survival. Chronic Dis. Transl. Med. 2017, 3, 51–59. [Google Scholar] [CrossRef]
- Cancer Genome Atlas, N. Comprehensive molecular characterization of human colon and rectal cancer. Nature 2012, 487, 330–337. [Google Scholar] [CrossRef]
- Nihon-Yanagi, Y.; Terai, K.; Murano, T.; Matsumoto, T.; Okazumi, S. Tissue expression of Toll-like receptors 2 and 4 in sporadic human colorectal cancer. Cancer Immunol. Immunother. 2012, 61, 71–77. [Google Scholar] [CrossRef]
- Gandini, S.; Gnagnarella, P.; Serrano, D.; Pasquali, E.; Raimondi, S. Vitamin D receptor polymorphisms and cancer. Adv. Exp. Med. Biol. 2014, 810, 69–105. [Google Scholar]
- Akira, S.; Takeda, K. Toll-like receptor signalling. Nat. Rev. Immunol. 2004, 4, 499–511. [Google Scholar] [CrossRef]
- Kopp, E.; Medzhitov, R. Recognition of microbial infection by Toll-like receptors. Curr. Opin. Immunol. 2003, 15, 396–401. [Google Scholar] [CrossRef]
- Wang, J.; Thingholm, L.B.; Skieceviciene, J.; Rausch, P.; Kummen, M.; Hov, J.R.; Degenhardt, F.; Heinsen, F.A.; Ruhlemann, M.C.; Szymczak, S.; et al. Genome-wide association analysis identifies variation in vitamin D receptor and other host factors influencing the gut microbiota. Nat. Genet. 2016, 48, 1396–1406. [Google Scholar] [CrossRef] [PubMed]
- Wu, S.; Zhang, Y.G.; Lu, R.; Xia, Y.; Zhou, D.; Petrof, E.O.; Claud, E.C.; Chen, D.; Chang, E.B.; Carmeliet, G.; et al. Intestinal epithelial vitamin D receptor deletion leads to defective autophagy in colitis. Gut 2015, 64, 1082–1094. [Google Scholar] [CrossRef] [PubMed]
- Takeuchi, O.; Hoshino, K.; Kawai, T.; Sanjo, H.; Takada, H.; Ogawa, T.; Takeda, K.; Akira, S. Differential roles of TLR2 and TLR4 in recognition of gram-negative and gram-positive bacterial cell wall components. Immunity 1999, 11, 443–451. [Google Scholar] [CrossRef]
- Chuang, T.H.; Lee, J.; Kline, L.; Mathison, J.C.; Ulevitch, R.J. Toll-like receptor 9 mediates CpG-DNA signaling. J. Leukoc. Biol. 2002, 71, 538–544. [Google Scholar]
- Kazumi, Y.; Mitarai, S. The evaluation of an identification algorithm for Mycobacterium species using the 16S rRNA coding gene and rpoB. Int. J. Mycobacteriol. 2012, 1, 21–28. [Google Scholar] [CrossRef]
- Srinivasan, R.; Karaoz, U.; Volegova, M.; MacKichan, J.; Kato-Maeda, M.; Miller, S.; Nadarajan, R.; Brodie, E.L.; Lynch, S.V. Use of 16S rRNA gene for identification of a broad range of clinically relevant bacterial pathogens. PLoS ONE 2015, 10, e0117617. [Google Scholar] [CrossRef]
- Relman, D.A.; Schmidt, T.M.; MacDermott, R.P.; Falkow, S. Identification of the uncultured bacillus of Whipple’s disease. N. Engl. J. Med. 1992, 327, 293–301. [Google Scholar] [CrossRef] [PubMed]
- RDD, C. Plant. Molecular Biology; Bios Scientific Publishers: Durham, UK; Academic Press: Cambridge, MA, USA, 1992. [Google Scholar]
- Yamashita, Y.; Kohno, S.; Koga, H.; Tomono, K.; Kaku, M. Detection of Bacteroides fragilis in clinical specimens by PCR. J. Clin. Microbiol. 1994, 32, 679–683. [Google Scholar] [CrossRef]
- Korabecna, M.; Liska, V.; Fajfrlik, K. Primers ITS1, ITS2 and ITS4 detect the intraspecies variability in the internal transcribed spacers and 5.8S rRNA gene region in clinical isolates of fungi. Folia Microbiol. (Praha) 2003, 48, 233–238. [Google Scholar] [CrossRef]




| Characteristics | Frequency (n = 397) | % |
|---|---|---|
| Age (range) | 65 (18–88) | |
| 18–50 | 52 | 13.1 |
| 51–70 | 221 | 55.7 |
| >70 | 124 | 31.2 |
| Gender | ||
| Male | 246 | 62 |
| Female | 151 | 38 |
| Stage | ||
| IIA–IIIC | 202 | 50.9 |
| IV | 195 | 49.1 |
| Location | ||
| Left colon | 221 | 74.9 |
| Right colon | 74 | 25.1 |
| Site | ||
| Colon/sigmoid | 279 | 70.3 |
| Rectum | 118 | 29.7 |
| PS (ECOG) | ||
| 0–1 | 372 | 93.7 |
| ≥2 | 25 | 6.3 |
| Surgery | ||
| Yes | 347 | 87.4 |
| No | 50 | 12.6 |
| Adjuvant treatment | ||
| Yes | 230 | 57.9 |
| No | 167 | 42.1 |
| First-line treatment | ||
| Yes | 223 | 56.2 |
| No | 174 | 46.8 |
| Grade | ||
| High | 205 | 47.4 |
| Low | 232 | 52.6 |
| KRAS | ||
| Mutant | 104 | 42.4 |
| Wild type | 141 | 57.6 |
| Not Determined | 152 |
| Gene Target | Detection | Patients | Healthy Blood Donors | p-Value | Stage II/III | Stage IV | p-Value |
|---|---|---|---|---|---|---|---|
| DNA coding for 16S rRNA | Positive | 256 (64.5%) | 5 (15.6%) | <0.001 | 89 (42.8%) | 167 (88.4%) | <0.001 |
| Negative | 141 (35.5%) | 27 (84.4%) | 119 (57.2%) | 22 (11.6%) | |||
| β-galactosidase gene of E. coli | Positive | 104 (26.2%) | 5 (15.6%) | 0.186 | 44 (21.2%) | 60 (31.7%) | 0.017 |
| Negative | 293 (73.8%) | 27 (84.4%) | 164 (78.8%) | 129 (68.3%) | |||
| Glutamine synthase gene of B. fragilis | Positive | 220 (55.4%) | 0 (0%) | <0.001 | 65 (31.2%) | 155 (82.0%) | <0.001 |
| Negative | 177 (44.6%) | 32 (100%) | 143 (68.8%) | 34 (18.0%) | |||
| DNA coding for 5.8S rRNA of C. albicans | Positive | 230 (57.9%) | 0 (0%) | <0.001 | 77 (37.0%) | 153 (81.0%) | <0.001 |
| Negative | 167 (42.1%) | 32 (100%) | 131 (63.0%) | 36 (19.0%) |
| TLR | VDR | ||||||
|---|---|---|---|---|---|---|---|
| Gene Target | TLR2 | TLR4 | TLR9 | TaqI | ApaI | FokI | BsmI |
| DNA coding for 16S rRNA | <0.001 | <0.001 | <0.001 | <0.001 | <0.001 | <0.001 | <0.001 |
| β-galactosidase gene of E. coli | 0.365 | 0.823 | 0.233 | 0.028 | 0.001 | <0.001 | <0.001 |
| Glutamine synthase gene of B. fragilis | <0.001 | <0.001 | <0.001 | <0.001 | <0.001 | <0.001 | <0.001 |
| DNA coding for 5.8S rRNA of C. albicans | 0.002 | 0.001 | 0.002 | <0.001 | <0.001 | <0.001 | <0.001 |
| Parameters | Univariate Analysis | Multivariate Analysis | ||||||
|---|---|---|---|---|---|---|---|---|
| PFS | OS | PFS | OS | |||||
| HR (95% CI) | p-Value | HR (95% CI) | p-Value | HR (95% CI) | p-Value | HR (95% CI) | p-Value | |
| Tumor location (Right vs. Left Colon) | 1.1 (0.8–1.6) | 0.441 | 1.4 (1.0–1.8) | 0.05 | - | - | 1.3 (0.9–1.7) | 0.118 |
| Age | 1.1 (0.8–1.3) | 0.483 | 1.0 (0.99–1.02) | 0.103 | - | - | - | - |
| Stage (IV vs. II/III) | 2.0 (1.3–3.2) | 0.002 | 7.3 (5.2–10.2) | <0.001 | 1.7 (1.0–2.7) | 0.037 | 6.4 (4.3–9.3) | <0.001 |
| 16S rRNA | 1.6 (1.1–2.4) | 0.01 | 2.7 (1.9–3.8) | <0.001 | 1.5 (1.0–2.2) | 0.029 | 2.0 (1.4–2.9) | <0.001 |
| β-galactosidase of E. coli | 1.1 (0.8–1.4) | 0.738 | 1.4 (1.0–1.9) | 0.04 | - | - | 0.9 (0.6–1.2) | 0.282 |
| Glutamine synthase of B. fragilis | 1.5 (1.1–2.1) | 0.019 | 2.6 (1.9–3.5) | <0.001 | 1.4 (1.0–1.9) | 0.061 | 1.9 (1.3–2.8) | <0.001 |
| 5.8S rRNA of C. albicans | 1.1 (0.8–1.4) | 0.058 | 2.3 (1.7–3.1) | <0.001 | 1.1 (0.8–1.6) | 0.564 | 1.2 (0.8–1.7) | 0.378 |
| Target Gene | Primer | Sequence | PCR Conditions | Fragment Size |
|---|---|---|---|---|
| GAPDH | F | 5′-TCT CCA GAA CAT CAT CCT G-3′ | Denaturation at 95 °C for 5 min. Then, samples were exposed to 35 cycles of denaturing (95 °C, 1 min), annealing (60 °C, 1 min), and extension (72 °C, 1 min), followed by a final extension step at 72 °C for 10 min | 324 bp |
| R | 5′-GAG CTT GAC AAA GTG GTC GT-3′ | |||
| 16S ribosomal RNA for Gram+ and Gram- bacteria | F | 5′-AGT TTG ATC CTG GCT CAG-3′ | 798 bp | |
| R | 5′-GGA CTA CCA GGG TAT CTA AT-3′ | |||
| β-galactosidase to detect E. coli | F | 5′-CTT GCC TGG TTT CCG GCA CCA GAA-3′ | 762 bp | |
| R | 5′-AAC CAC CGC ACG ATA GAG ATT CGG G-3′ | |||
| lutamine synthase to detect B. fragilis | F | 5′-ACT CTT TGT ATC CCG ACG ACG ATT-3′ | 581 bp | |
| R | 5′-GAG GTT GAT GCC TGT ATA TCG GT-3′ | |||
| 45.8S ribosomal RNA to detect C. albicans | F | 5′-TCC GTA GGT GAA CCT TGC GG-3′ | Denaturation at 95 °C for 5 min. Then, samples were exposed to 35 cycles of denaturing (94 °C, 1 min), annealing (56 °C, 2 min), and extension (72 °C, 2 min), followed by a final extension step at 72 °C for 10 min | 550 bp |
| R | 5′-TCC TCC GCT TAT TGA TAT GC-3′ |
© 2020 by the authors. Licensee MDPI, Basel, Switzerland. This article is an open access article distributed under the terms and conditions of the Creative Commons Attribution (CC BY) license (http://creativecommons.org/licenses/by/4.0/).
Share and Cite
Messaritakis, I.; Vogiatzoglou, K.; Tsantaki, K.; Ntretaki, A.; Sfakianaki, M.; Koulouridi, A.; Tsiaoussis, J.; Mavroudis, D.; Souglakos, J. The Prognostic Value of the Detection of Microbial Translocation in the Blood of Colorectal Cancer Patients. Cancers 2020, 12, 1058. https://doi.org/10.3390/cancers12041058
Messaritakis I, Vogiatzoglou K, Tsantaki K, Ntretaki A, Sfakianaki M, Koulouridi A, Tsiaoussis J, Mavroudis D, Souglakos J. The Prognostic Value of the Detection of Microbial Translocation in the Blood of Colorectal Cancer Patients. Cancers. 2020; 12(4):1058. https://doi.org/10.3390/cancers12041058
Chicago/Turabian StyleMessaritakis, Ippokratis, Konstantinos Vogiatzoglou, Konstantina Tsantaki, Agapi Ntretaki, Maria Sfakianaki, Asimina Koulouridi, John Tsiaoussis, Dimitrios Mavroudis, and John Souglakos. 2020. "The Prognostic Value of the Detection of Microbial Translocation in the Blood of Colorectal Cancer Patients" Cancers 12, no. 4: 1058. https://doi.org/10.3390/cancers12041058
APA StyleMessaritakis, I., Vogiatzoglou, K., Tsantaki, K., Ntretaki, A., Sfakianaki, M., Koulouridi, A., Tsiaoussis, J., Mavroudis, D., & Souglakos, J. (2020). The Prognostic Value of the Detection of Microbial Translocation in the Blood of Colorectal Cancer Patients. Cancers, 12(4), 1058. https://doi.org/10.3390/cancers12041058

