Next Article in Journal
Inflammatory Mechanisms of HCC Development
Next Article in Special Issue
The Polemic Diagnostic Role of TP53 Mutations in Liquid Biopsies from Breast, Colon and Lung Cancers
Previous Article in Journal
Crosstalk between HER2 and PD-1/PD-L1 in Breast Cancer: From Clinical Applications to Mathematical Models
 
 
Font Type:
Arial Georgia Verdana
Font Size:
Aa Aa Aa
Line Spacing:
Column Width:
Background:
Article

Functional Classification of TP53 Mutations in Acute Myeloid Leukemia

1
Division of Hematology, Medical University of Graz, A-8036 Graz, Austria
2
Institute for Medical Informatics, Statistics and Documentation, Medical University of Graz, A-8036 Graz, Austria
3
Department of Internal Medicine III, University Hospital of Ulm, D-89081 Ulm, Germany
4
Institute of Human Genetics, Diagnostic and Research Center for Molecular Biomedicine, Medical University of Graz, A-8010 Graz, Austria
5
Otto-Loewi-Research Center for Vascular Biology, Immunology and Inflammation, Division of Pharmacology, Medical University of Graz, A-8010 Graz, Austria
6
Department of Hematology, Oncology and Tumor Immunology, Charité University Medicine, D-10117 Berlin, Germany
*
Author to whom correspondence should be addressed.
These authors contributed equally to this paper.
Cancers 2020, 12(3), 637; https://doi.org/10.3390/cancers12030637
Submission received: 18 February 2020 / Revised: 3 March 2020 / Accepted: 7 March 2020 / Published: 10 March 2020
(This article belongs to the Special Issue P53 and Hallmarks of Cancer)

Abstract

Mutations of the TP53 gene occur in a subset of patients with acute myeloid leukemia (AML) and confer an exceedingly adverse prognosis. However, whether different types of TP53 mutations exert a uniformly poor outcome has not been investigated yet. Here, we addressed this issue by analyzing data of 1537 patients intensively treated within protocols of the German-Austrian AML study group. We classified TP53 mutations depending on their impact on protein structure and according to the evolutionary action (EAp53) score and the relative fitness score (RFS). In 98/1537 (6.4%) patients, 108 TP53 mutations were detected. While the discrimination depending on the protein structure and the EAp53 score did not show a survival difference, patients with low-risk and high-risk AML-specific RFS showed a different overall survival (OS; median, 12.9 versus 5.5 months, p = 0.017) and event-free survival (EFS; median, 7.3 versus 5.2 months, p = 0.054). In multivariable analyses adjusting for age, gender, white blood cell count, cytogenetic risk, type of AML, and TP53 variant allele frequency, these differences were statistically significant for both OS (HR, 2.14; 95% CI, 1.15–4.0; p = 0.017) and EFS (HR, 1.97; 95% CI, 1.06–3.69; p = 0.033). We conclude that the AML-specific RFS is of prognostic value in patients with TP53-mutated AML and a useful tool for therapeutic decision-making.

1. Introduction

Acute myeloid leukemia (AML) is a heterogeneous aggressive malignancy occurring de novo, secondary to antecedent hematological disorders, or following cytotoxic treatments for a primary disease [1,2,3,4]. It is the most common acute leukemia in adults with an annual age-adjusted incidence rate of 3.5/100,000 men and women rising to 15–20/100,000 above the age of 60 years [5]. Extensive work over the last decade employing next generation sequencing technologies has decoded the AML genome. The pathogenesis of AML represents a multistep process involving mutagenesis, epigenetic dysregulation, and formation of copy number aberrations [6,7,8,9]. Thereby, initial genetic aberrations transform hematopoietic stem and progenitor cells (HSPCs) into preleukemic stem cells (preLSCs) that retain their capability to differentiate into normal blood cells [10,11,12]. While preLSCs do not generate leukemia in vivo, leukemic stem cells (LSCs) representing a distinct population with self-renewal capacity are capable to induce and perpetuate leukemia [13]. Importantly, in the vast majority of AMLs, multiple and diverse genetic subclones are observed [14].
Although novel targeted treatment approaches have been developed for patients with AML, their prognosis is still dismal with 5-year-survival rates of 40%–45% in patients below the age of 65 years and less than 20% in patients aged 65 years or older [7,15]. Relapsed disease as a consequence of diverse molecular aberrations affecting dormant LSCs is the main reason for this dismal outcome [16,17,18,19,20]. In AML, parameters influencing treatment decisions as well as outcome include both patient-specific characteristics and leukemia-specific aberrations. Among the former, patient´s age and comorbidities are important variables; among the latter, the type of leukemia, white blood cell count, and genetic aberrations significantly influence response to induction therapy, type of consolidation treatment, and survival [21,22,23]. An AML risk classification scheme based on cytogenetic abnormalities was proposed as early as in 1998 [24]. In the updated 2017 risk stratification of the European Leukemia Net (ELN), mutational aberrations play an increasingly important role [25]. Mutated NPM1 as well as bi-allelic CEBPA mutations constitute favorable-risk parameters. Furthermore, the allelic burden of FLT3-internal tandem duplications was included as a prognostic parameter as assessed in a semi-quantitative manner. Importantly, mutations in the TP53, RUNX1 and ASXL1 genes, respectively, arose as novel, adverse risk factors.
Encoded by the tumor protein p53 (TP53) gene on chromosome 17p13.1, p53 is an essential cellular protein with response to cellular stress being one of its main functions [26,27]. It is expressed in HSPCs modulating quiescence and self-renewal thereby contributing to a constant lifelong pool of blood cells [28]. Aberrations of TP53 are encountered in more than 50% of human malignancies. Thereby, the contribution of this gene towards tumorigenesis encompasses loss of wild type alleles and/or TP53 mutations with certain mutant alleles exerting either dominant-negative or novel “gain-of-function” properties distinct from the null genotype [27,29,30,31]. Germline TP53 mutations characterize the Li–Fraumeni and Li–Fraumeni-like syndromes conveying familial cancer predisposition with autosomal-dominant inheritance [32]. We described deleterious germline TP53 mutations in patients with AML, preferably in therapy-related subtypes developing after ionizing irradiation [33,34]. In AML, somatically acquired TP53 mutations constitute early events characterizing preLSCs [12,35]. They have been demonstrated to occur at a frequency of up to 10% in de novo cases, more than 20% in therapy-related myeloid leukemias, and up to 90% in erythroleukemias [7,36,37]. The majority of TP53 aberrations represent missense mutations, in a number of cases accompanied by loss of the wild type allele. Most importantly, AML patients with TP53 mutations show resistance to intensive treatment strategies, including allogeneic hematopoietic stem cell transplantation (HSCT) with 3-year overall survival rates between 0% and 15% [38,39,40]. Recently, a dismal outcome has also been described when TP53 mutations occur in leukemic subclones with a variant allele frequency (VAF) of less than 20% [41].
However, it is largely unknown whether different types of TP53 mutations—missense, nonsense, splice site mutations, as well as small insertions and deletions—exert a uniformly poor outcome in patients with AML. In this study, we investigated the prognostic impact of different TP53 mutations using four TP53-specific functional scoring systems in a large cohort of intensively treated patients of the German-Austrian AML study group (AMLSG). We demonstrate that the AML-specific “Relative Fitness Score” (RFS) is capable of discriminating patients showing a significantly different overall survival (OS) and event-free survival (EFS), thereby serving as a novel tool for therapeutic decision-making.

2. Results

108 TP53 mutations were detected in 98 of the 1537 patients investigated—88 (81.4%) missense, eight (7.4%) nonsense, and six (5.6%) splice site mutations, as well as six (5.6%) small insertions and deletions. In seven patients, we found two TP53 mutations, and in one patient—four mutations (Table 1). According to the cytogenetic analysis, a sufficient number of metaphases was obtained in 84/98 (86%) patients showing a complex karyotype in 77 (92%) of them. The median VAF of the 108 TP53 mutations detected in this cohort was 48.7% (range, 4.7% to 97%); concurrent gene mutations were reported previously [41]. The median follow-up of patients with wild type TP53 AML (n = 1439) was 895 days, and of patients showing TP53 mutations—195 days, respectively.
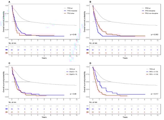
Patients with a wild type TP53 status showed a significantly better outcome than those with TP53 mutations (median OS, 33.6 months versus 6.5 months; median EFS, 16.5 months versus 5.7 months) as described previously by our group and being in accordance with further reports [38,41,42]. The TP53-specific scoring systems applied in this study are described in detail in the “Materials and Methods” section. When comparing the impact of TP53 missense mutations versus truncating mutations, we found 84 patients in the former group and 14 patients in the latter group, respectively. However, we did not find a significant difference with respect to OS and EFS using this scoring system. Next, we classified mutations into “disruptive” and “non-disruptive”, and identified 42 patients with at least one disruptive mutation and 56 with only non-disruptive mutations in the AMLSG cohort. Again, no significant difference in the outcome parameters analyzed was observed. We then investigated the EAp53 score focusing on patients with missense TP53 mutations and found 49 patients in the high-risk and 35 patients in the low-risk group. Using this functional scoring system, we did not detect a significant survival difference between the two groups, either (Figure 1, Table 1 and Table 2, Figure S1, and Tables S1–S3).
The RFS was extracted for those 83 patients with TP53 mutations located in the DNA-binding domain (DBD); 76 patients were classified as high-risk (RFS > −1), and seven patients—as low-risk (≤−1). Notably, patients with a low-risk RFS showed a significantly better OS (median, 13.4 versus 6.3 months; p = 0.019) and EFS (median, 11.7 versus 5.3 months; p = 0.024) (Table 1 and Table S1, Figure S2). These parameters remained borderline significant in multivariable analyses adjusting for age, gender, white blood cell count, cytogenetic risk, type of AML and TP53 VAF, indicating a potential prognostic value of this score (Table 3). In a subsequent receiver operating characteristic (ROC) analysis, the optimal RFS cut-off value for AML patients was −0.135 (Figure S3) resulting in 25 low-risk and 58 high-risk patients, respectively. Using this leukemia-specific threshold, we found a significantly better OS (median, 12.9 versus 5.5 months, p = 0.017) and a trend towards improved EFS (median, 7.3 versus 5.2 months, p = 0.054) for patients with a low-risk RFS (Figure 1, Tables S2 and S3, Figure S1). In multivariable regression analyses including the established AML risk factors, the difference revealed statistically significance for both OS (HR, 2.14; 95% CI, 1.15–4.0; p = 0.017) and EFS (HR, 1.97; 95% CI, 1.06–3.69; p = 0.033) (Table 3).

3. Discussion

In patients with AML, TP53 mutations confer an exceedingly adverse prognosis. Here, we applied four different TP53-specifc functional scoring systems to test whether particular mutations are associated with a better therapeutic outcome. Comparing missense TP53 mutations with truncating aberrations did not show a difference with respect to OS and EFS of intensively treated AML patients. Our results, therefore, suggest that gain-of-function properties postulated for at least some of missense TP53 mutations are not the predominant mechanism of therapeutic resistance in that cohort [43,44]. They are in accordance with recently published data indicating a dominant-negative effect of missense TP53 mutations rather than acquisition of novel oncogenic properties in myeloid malignancies based on in vitro and in vivo analyses, as well as clinical data [45]. Discrimination of TP53 mutations into disruptive and non-disruptive ones showed a statistically significant impact on survival in patients with head and neck cancers [46]. Furthermore, the EAp53 score was successfully used to predict outcome in patients with larynx cancer [47]. However, both TP53 functional scoring systems did not show a survival difference in the AML patients investigated here. This points to the fact that the cellular context of TP53 aberrations plays a pivotal role with respect to biology as well as therapeutic resistance [27].
Treatment of patients with TP53-mutated AML remains challenging. Non-intensive therapies with hypomethylating agents—azacitidine and decitabine—are frequently offered, especially to elderly patients [48,49]. These drugs show acceptable response rates and favorable toxicity profiles. However, they represent a non-curative treatment, and patients usually succumb to leukemic progression within months. Recently, experimental approaches targeting TP53 mutations in myeloid disorders have reached the clinical stage of development. APR-246 is a small molecule designed to shift mutant p53 towards a wild type confirmation, thus inducing apoptosis of neoplastic cells [50,51,52]. Synergistic effects of this drug and azacitidine have been demonstrated in vitro using cells from patients with TP53-mutated AML and myelodysplastic syndromes (MDS) [53]. In a multiphase 1b/2 trial, APR-246 was given in combination with azacitidine to patients with TP53-mutated MDS and oligoblastic AML with preliminary results showing encouraging response rates of 85% [54]. Nevertheless, to date, intensive chemotherapy followed by allogeneic hematopoietic stem cell transplantation (HSCT) remains the only curative approach for AML and MDS patients with TP53 aberrations [39,40]. Facing different therapeutic options, it is, therefore, of importance to develop tools supporting proper therapeutic decision-making in this cohort of patients. In a recently published article, clinical parameters—preferably performance status and achievement of a complete remission following induction therapy—have been shown to be of prognostic relevance in patients with TP53-mutated AML [55]. Analyzing a large cohort of patients treated with intensive chemotherapy and HSCT here, we were able to show that the AML-specific RFS enables discrimination of a low-risk group with a median OS of 12.9 months and a high-risk group with a median OS of only 5.5 months. We, therefore, conclude that in addition to clinical parameters, the AML-specific RFS may be a useful tool to identify those patients with TP53 mutations who still benefit from intensive treatment approaches.

4. Materials and Methods

The study was approved by the ethics committee of the University of Ulm, Ulm, Germany (vote number 148/10) and registered under “ClinicalTrials.gov NCT00146120”. It was conducted according to the Declaration of Helsinki, all the patients gave written informed consent. A list of study investigators and centers is provided in the Supplementary Material.
The AMLSG cohort analyzed consisted of 1537 patients with newly diagnosed AML (de novo AML, n = 1408; secondary AML, n = 61; therapy-related AML, n = 68) who received intensive treatments, including allogeneic HSCT within three multicenter clinical trials. Treatment protocols, patient characteristics, and outcome data have been reported previously [56,57,58]. Briefly, in trial AML-HD98A, 627 patients aged 18 to 65 years received induction therapy with idarubicin, cytarabine, and etoposide (ICE). High-risk subjects were offered allogeneic HSCT, intermediate-risk subjects—either allogeneic HSCT from a suitable related donor or, alternatively, intensive chemotherapy, and low-risk subjects received intensive chemotherapy. Trial AMLSG 07-04 had a similar design to AML-HD98A and included 737 patients aged 18 to 61 years who were randomized to induction therapy with ICE or ICE/all-trans retinoic acid (ATRA). Trial AML-HD98B included 173 patients aged 58 to 84 years who were randomized to ICE or ICE/ATRA induction therapy with further treatment based on response.
Diagnostic bone marrow (BM) or peripheral blood (PB) specimens were collected at the University of Ulm, Ulm, Germany, at study entry and processed by the Ficoll density gradient centrifugation to enrich for mononuclear cells (BM, n = 579; PB, n = 800; unknown, n = 158). In this respect, it is important to emphasize that the mutational landscape is conserved in PB specimens of patients with AML and myelodysplastic syndromes at diagnosis and during treatment, respectively [59]. Genomic DNA was analyzed by a targeted sequencing approach focusing on 111 genes associated with myeloid neoplasms as described previously [7]. With respect to TP53, all coding exons and flanking exon-intron boundaries were sequenced. The median coverage for TP53 was 157×, and the lower limit of detection was set at 5% mutant allele reads. Sequencing results were deposited in the European Genome-Phenome Archive (www.ebi.ac.uk/ega, accession number EGAS0000100275).
To assess the functional impact of TP53 mutations in AML, we investigated four different TP53-specific scoring systems. First, we compared the impact of missense TP53 mutations versus all other types of mutations—nonsense and splice site mutations, as well as small insertions and deletions. This classification is based on the fact that novel gain-of-function properties may predominantly be associated with missense mutations [44,60]. Next, we analyzed whether the location of a particular TP53 mutation and the amino acid alteration is of prognostic value in our AML cohort, as this had previously been demonstrated for patients with solid tumors [46]. Therefore, “disruptive mutations” were classified as DNA sequence alterations that introduce a STOP sequence resulting in disruption of p53 protein production or DNA sequence alterations that occur within the L2 or L3 binding domains (codons 163–195 or 236–251) and replace an amino acid from one polarity/charge category with an amino acid from another category (Table 4). “Non-disruptive mutations” were classified as any mutation occurring outside the L2 or L3 binding domain (except stop mutations) or mutations within the L2 or L3 binding domains that result in replacement of an amino acid with another one from the same polarity/charge category.
We then investigated the evolutionary action score (EAp53) that focuses on missense TP53 mutations and was designed and validated in patients with head and neck cancers [47]. This algorithm takes evolutionary sensitivity to sequence variation and amino acid conservation into account and scores mutations from 0 to 100 with wild type TP53 sequences having a score of 0. We extracted the EAp53 score of those AMLSG patients showing missense mutations from the respective server (http://mammoth.bcm.tmc.edu/EAp53) and used the threshold of 75 from the initial publication to discriminate between low-risk (<75) and high-risk groups (≥75). Finally, we assessed the relative fitness score (RFS) recently developed for TP53 mutations located within the DBD of the gene as another indicator of their functional impact [61]. In that work, a catalogue of 9833 unique DNA sequence variants was generated in human p53-null cells, and their selective growth was assessed in in vitro cultures. Thereby, RFS represents the logarithm (base 2) of the median of the relative enrichment or depletion of a particular TP53 variant assessed at three time points. A high RFS indicates preferential expansion in culture representing higher fitness of the variant, whereas a low RFS pinpoints preferential depletion. We extracted the RFS for the DBD TP53 mutations of the AMLSG cohort using an online data resource (GSE115072) and classified patients into high-risk (RFS > −1) and low-risk (≤−1) groups. This threshold was based on data from individuals with Li–Fraumeni syndrome showing a statistically significant association between RFS and age at primary tumor detection [61].

Statistical Analyses

For each TP53 functional score, we assessed its impact on OS and EFS as defined by the European Leukemia Net [25]. Thereby, OS is measured from trial entry until the date of death from any cause or last follow-up, EFS—from trial entry until the date of refractory disease, relapse from complete remission, death, or last follow-up. Survival times were compared between different functional TP53-mutated groups using Kaplan–Meier curves and the log-rank test. Wild type TP53 patients are shown in the plots as a reference but were not considered when assessing group differences. We estimated median survival rates along with their 95% confidence intervals (CIs) from these analyses. Furthermore, we performed Cox regression analyses determining hazard ratios (HRs) with 95% CIs for each of the TP53 functional scores and assessed the influence of age, gender, white blood cell count, cytogenetic risk, type of AML (de novo, secondary, therapy-related), and TP53 VAF on OS and EFS. In the eight patients with multiple TP53 mutations, only that mutation with the severest predicted impact was used for each of the respective scoring systems as depicted in Table 1.
Since the threshold for the RFS was determined in a cohort of patients with different types of cancer, we performed a ROC analysis to determine the optimal threshold for patients with AML. Given that only 6/98 (6.1%) TP53-mutated patients survived the whole observation time, we considered 1-year mortality as the outcome. We determined the best threshold using the Youden’s index that weights sensitivity and specificity equally [62]. The EAp53 score was not considered for this analysis as the boxplots showed similar scores for survivors and non-survivors after one year as shown in Figure S4 and Table S4. All statistical analyses were conducted using R version 3.5.3.

5. Conclusions

In this study, four different TP53-specific scores were evaluated for their prognostic impact in patients with TP53-mutated AML. The AML-specific relative fitness score was capable of identifying patients with a significantly better prognosis. We conclude that—in addition to clinical parameters—this score should be incorporated into the therapeutic decision algorithm of patients with such a malignancy.

Supplementary Materials

The following are available online at https://www.mdpi.com/2072-6694/12/3/637/s1. Table S1: Median event-free survival rates of AMLSG patients with and without TP53-mutated AML and with respect to TP53 functional scoring systems; Table S2: Cox proportional hazards regression analysis of the effect of different functional mutation scoring systems and patient characteristics on overall survival—univariate analysis; Table S3: Cox proportional hazards regression analysis of the effect of different functional mutation scoring systems and patient characteristics on event-free survival—univariate analysis; Table S4: Sensitivity and specificity values of the various thresholds for the EAp53 score and the “Relative Fitness Score” (RFS); Figure S1: Event-free survival probabilities for patients with TP53-mutated AML according to functional mutation scoring systems; Figure S2: Overall and event-free survival probabilities for patients with TP53-mutated AML according to the RFS with a cut-off set at −1; Figure S3: Receiver operating characteristics analysis for the “Relative Fitness Score” as a predictor for 1-year mortality; Figure S4: Boxplots of the “EAp53 score” and the “Relative Fitness Score” for patients with TP53-mutated AML according to the survival status at 1 year.

Author Contributions

Conceptualization, H.S., A.B., and E.H.; methodology, G.P. and A.B.; software, G.P.; validation, S.D., A.Z., A.B.; formal analysis, S.D., G.P., A.B., and H.S.; resources, F.G.R., L.B., and K.D.; writing—original draft preparation, H.S., G.P., and S.D.; writing—review and editing, F.G.R., E.H., A.Z., L.B., A.B., and K.D.; funding acquisition, H.S. and K.D. All authors have read and agreed to the published version of the manuscript.

Funding

This work was supported by the Austrian Science Fund (P31430-B26, to H.S.) and DFG Forschergruppe FOR 2674 “Aging-related epigenetic remodeling in acute myeloid leukemia”, subproject A02 (to K.D.).

Conflicts of Interest

The authors declare no conflict of interest.

References

  1. Dohner, H.; Weisdorf, D.J.; Bloomfield, C.D. Acute Myeloid Leukemia. N. Engl. J. Med. 2015, 373, 1136–1152. [Google Scholar] [CrossRef]
  2. Noguera, N.I.; Catalano, G.; Banella, C.; Divona, M.; Faraoni, I.; Ottone, T.; Arcese, W.; Voso, M.T. Acute Promyelocytic Leukemia: Update on the Mechanisms of Leukemogenesis, Resistance and on Innovative Treatment Strategies. Cancers 2019, 11, 1591. [Google Scholar] [CrossRef] [PubMed]
  3. Cheung, E.; Perissinotti, A.J.; Bixby, D.L.; Burke, P.W.; Pettit, K.M.; Benitez, L.L.; Brown, J.; Scappaticci, G.B.; Marini, B.L. The Leukemia Strikes Back: A Review of Pathogenesis and Treatment of Secondary AML. Ann. Hematol. 2019, 98, 541–559. [Google Scholar] [CrossRef] [PubMed]
  4. Sill, H.; Olipitz, W.; Zebisch, A.; Schulz, E.; Wolfler, A. Therapy-Related Myeloid Neoplasms: Pathobiology and Clinical Characteristics. Br. J. Pharmacol. 2011, 162, 792–805. [Google Scholar] [CrossRef] [PubMed]
  5. Dores, G.M.; Devesa, S.S.; Curtis, R.E.; Linet, M.S.; Morton, L.M. Acute Leukemia Incidence and Patient Survival among Children and Adults in the United States, 2001–2007. Blood 2012, 119, 34–43. [Google Scholar] [CrossRef] [PubMed]
  6. Cancer Genome Atlas Research Network. Genomic and Epigenomic Landscapes of Adult de Novo Acute Myeloid Leukemia. N. Engl. J. Med. 2013, 368, 2059–2074. [Google Scholar] [CrossRef] [PubMed]
  7. Papaemmanuil, E.; Gerstung, M.; Bullinger, L.; Gaidzik, V.I.; Paschka, P.; Roberts, N.D.; Potter, N.E.; Heuser, M.; Thol, F.; Bolli, N.; et al. Genomic Classification and Prognosis in Acute Myeloid Leukemia. N. Engl. J. Med. 2016, 374, 2209–2221. [Google Scholar] [CrossRef] [PubMed]
  8. Tyner, J.W.; Tognon, C.E.; Bottomly, D.; Wilmot, B.; Kurtz, S.E.; Savage, S.L.; Long, N.; Schultz, A.R.; Traer, E.; Abel, M.; et al. Functional Genomic Landscape of Acute Myeloid Leukaemia. Nature 2018, 562, 526–531. [Google Scholar] [CrossRef]
  9. Zjablovskaja, P.; Florian, M.C. Acute Myeloid Leukemia: Aging and Epigenetics. Cancers 2019, 12, 103. [Google Scholar] [CrossRef]
  10. Jan, M.; Snyder, T.M.; Corces-Zimmerman, M.R.; Vyas, P.; Weissman, I.L.; Quake, S.R.; Majeti, R. Clonal Evolution of Preleukemic Hematopoietic Stem Cells Precedes Human Acute Myeloid Leukemia. Sci. Transl. Med. 2012, 4. [Google Scholar] [CrossRef]
  11. Shlush, L.I.; Zandi, S.; Mitchell, A.; Chen, W.C.; Brandwein, J.M.; Gupta, V.; Kennedy, J.A.; Schimmer, A.D.; Schuh, A.C.; Yee, K.W.; et al. Identification of Pre-Leukaemic Haematopoietic Stem Cells in Acute Leukaemia. Nature 2014, 506, 328–333. [Google Scholar] [CrossRef] [PubMed]
  12. Lal, R.; Lind, K.; Heitzer, E.; Ulz, P.; Aubell, K.; Kashofer, K.; Middeke, J.M.; Thiede, C.; Schulz, E.; Rosenberger, A.; et al. Somatic TP53 Mutations Characterize Preleukemic Stem Cells in Acute Myeloid Leukemia. Blood 2017, 129, 2587–2591. [Google Scholar] [CrossRef]
  13. Reinisch, A.; Chan, S.M.; Thomas, D.; Majeti, R. Biology and Clinical Relevance of Acute Myeloid Leukemia Stem Cells. Semin. Hematol. 2015, 52, 150–164. [Google Scholar] [CrossRef] [PubMed]
  14. Klco, J.M.; Spencer, D.H.; Miller, C.A.; Griffith, M.; Lamprecht, T.L.; O’Laughlin, M.; Fronick, C.; Magrini, V.; Demeter, R.T.; Fulton, R.S.; et al. Functional Heterogeneity of Genetically Defined Subclones in Acute Myeloid Leukemia. Cancer Cell 2014, 25, 379–392. [Google Scholar] [CrossRef] [PubMed]
  15. Ferrara, F.; Schiffer, C.A. Acute Myeloid Leukaemia in Adults. Lancet 2013, 381, 484–495. [Google Scholar] [CrossRef]
  16. Gerstung, M.; Papaemmanuil, E.; Martincorena, I.; Bullinger, L.; Gaidzik, V.I.; Paschka, P.; Heuser, M.; Thol, F.; Bolli, N.; Ganly, P.; et al. Precision Oncology for Acute Myeloid Leukemia using a Knowledge Bank Approach. Nat. Genet. 2017, 49, 332–340. [Google Scholar] [CrossRef] [PubMed]
  17. Shlush, L.I.; Mitchell, A.; Heisler, L.; Abelson, S.; Ng, S.W.K.; Trotman-Grant, A.; Medeiros, J.J.F.; Rao-Bhatia, A.; Jaciw-Zurakowsky, I.; Marke, R.; et al. Tracing the Origins of Relapse in Acute Myeloid Leukaemia to Stem Cells. Nature 2017, 547, 104–108. [Google Scholar] [CrossRef]
  18. Zebisch, A.; Hatzl, S.; Pichler, M.; Wolfler, A.; Sill, H. Therapeutic Resistance in Acute Myeloid Leukemia: The Role of Non-Coding RNAs. Int. J. Mol. Sci. 2016, 17, 2080. [Google Scholar] [CrossRef]
  19. Hatzl, S.; Perfler, B.; Wurm, S.; Uhl, B.; Quehenberger, F.; Ebner, S.; Troppmair, J.; Reinisch, A.; Wolfler, A.; Sill, H.; et al. Increased Expression of Micro-RNA-23a Mediates Chemoresistance to Cytarabine in Acute Myeloid Leukemia. Cancers 2020, 12, 496. [Google Scholar] [CrossRef]
  20. Ferrara, F.; Lessi, F.; Vitagliano, O.; Birkenghi, E.; Rossi, G. Current Therapeutic Results and Treatment Options for Older Patients with Relapsed Acute Myeloid Leukemia. Cancers 2019, 11, 224. [Google Scholar] [CrossRef]
  21. Dohner, H.; Estey, E.H.; Amadori, S.; Appelbaum, F.R.; Buchner, T.; Burnett, A.K.; Dombret, H.; Fenaux, P.; Grimwade, D.; Larson, R.A.; et al. Diagnosis and Management of Acute Myeloid Leukemia in Adults: Recommendations from an International Expert Panel, on Behalf of the European LeukemiaNet. Blood 2010, 115, 453–474. [Google Scholar] [CrossRef] [PubMed]
  22. Koreth, J.; Schlenk, R.; Kopecky, K.J.; Honda, S.; Sierra, J.; Djulbegovic, B.J.; Wadleigh, M.; DeAngelo, D.J.; Stone, R.M.; Sakamaki, H.; et al. Allogeneic Stem Cell Transplantation for Acute Myeloid Leukemia in First Complete Remission: Systematic Review and Meta-Analysis of Prospective Clinical Trials. JAMA 2009, 301, 2349–2361. [Google Scholar] [CrossRef] [PubMed]
  23. Magina, K.N.; Pregartner, G.; Zebisch, A.; Wolfler, A.; Neumeister, P.; Greinix, H.T.; Berghold, A.; Sill, H. Cytarabine Dose in the Consolidation Treatment of AML: A Systematic Review and Meta-Analysis. Blood 2017, 130, 946–948. [Google Scholar] [CrossRef] [PubMed]
  24. Grimwade, D.; Walker, H.; Oliver, F.; Wheatley, K.; Harrison, C.; Harrison, G.; Rees, J.; Hann, I.; Stevens, R.; Burnett, A.; et al. The Importance of Diagnostic Cytogenetics on Outcome in AML: Analysis of 1612 Patients Entered into the MRC AML 10 Trial. The Medical Research Council Adult and Children’s Leukaemia Working Parties. Blood 1998, 92, 2322–2333. [Google Scholar] [CrossRef] [PubMed]
  25. Dohner, H.; Estey, E.; Grimwade, D.; Amadori, S.; Appelbaum, F.R.; Buchner, T.; Dombret, H.; Ebert, B.L.; Fenaux, P.; Larson, R.A.; et al. Diagnosis and Management of AML in Adults: 2017 ELN Recommendations from an International Expert Panel. Blood 2017, 129, 424–447. [Google Scholar] [CrossRef]
  26. Vousden, K.H.; Prives, C. Blinded by the Light: The Growing Complexity of p53. Cell 2009, 137, 413–431. [Google Scholar] [CrossRef]
  27. Kastenhuber, E.R.; Lowe, S.W. Putting p53 in Context. Cell 2017, 170, 1062–1078. [Google Scholar] [CrossRef]
  28. Liu, Y.; Elf, S.E.; Asai, T.; Miyata, Y.; Liu, Y.; Sashida, G.; Huang, G.; Di Giandomenico, S.; Koff, A.; Nimer, S.D. The p53 Tumor Suppressor Protein is a Critical Regulator of Hematopoietic Stem Cell Behavior. Cell Cycle 2009, 8, 3120–3124. [Google Scholar] [CrossRef]
  29. Muller, P.A.; Vousden, K.H. Mutant p53 in Cancer: New Functions and Therapeutic Opportunities. Cancer. Cell 2014, 25, 304–317. [Google Scholar] [CrossRef]
  30. Hainaut, P.; Pfeifer, G.P. Somatic TP53 Mutations in the Era of Genome Sequencing. Cold Spring Harb Perspect. Med. 2016, 6. [Google Scholar] [CrossRef]
  31. Merkel, O.; Taylor, N.; Prutsch, N.; Staber, P.B.; Moriggl, R.; Turner, S.D.; Kenner, L. When the Guardian Sleeps: Reactivation of the p53 Pathway in Cancer. Mutat. Res. 2017, 773, 1–13. [Google Scholar] [CrossRef] [PubMed]
  32. Bougeard, G.; Renaux-Petel, M.; Flaman, J.M.; Charbonnier, C.; Fermey, P.; Belotti, M.; Gauthier-Villars, M.; Stoppa-Lyonnet, D.; Consolino, E.; Brugieres, L.; et al. Revisiting Li-Fraumeni Syndrome from TP53 Mutation Carriers. J. Clin. Oncol. 2015, 33, 2345–2352. [Google Scholar] [CrossRef] [PubMed]
  33. Schulz, E.; Valentin, A.; Ulz, P.; Beham-Schmid, C.; Lind, K.; Rupp, V.; Lackner, H.; Wolfler, A.; Zebisch, A.; Olipitz, W.; et al. Germline Mutations in the DNA Damage Response Genes BRCA1, BRCA2, BARD1 and TP53 in Patients with Therapy Related Myeloid Neoplasms. J. Med. Genet. 2012, 49, 422–428. [Google Scholar] [CrossRef] [PubMed]
  34. Zebisch, A.; Lal, R.; Muller, M.; Lind, K.; Kashofer, K.; Girschikofsky, M.; Fuchs, D.; Wolfler, A.; Geigl, J.B.; Sill, H. Acute Myeloid Leukemia with TP53 Germ Line Mutations. Blood 2016, 128, 2270–2272. [Google Scholar] [CrossRef] [PubMed]
  35. Pabst, G.; Lind, K.; Graf, R.; Zebisch, A.; Stolzel, F.; Dohner, K.; Heitzer, E.; Reinisch, A.; Sill, H. TP53 Mutated AML Subclones Exhibit Engraftment in a Humanized Bone Marrow Ossicle Mouse Model. Ann. Hematol. 2020. [Google Scholar] [CrossRef] [PubMed]
  36. Andersen, M.K.; Christiansen, D.H.; Pedersen-Bjergaard, J. Centromeric Breakage and Highly Rearranged Chromosome Derivatives Associated with Mutations of TP53 are Common in Therapy-Related MDS and AML after Therapy with Alkylating Agents: An M-FISH Study. Genes Chromosomes Cancer 2005, 42, 358–371. [Google Scholar] [CrossRef]
  37. Montalban-Bravo, G.; Benton, C.B.; Wang, S.A.; Ravandi, F.; Kadia, T.; Cortes, J.; Daver, N.; Takahashi, K.; DiNardo, C.; Jabbour, E.; et al. More than 1 TP53 Abnormality is a Dominant Characteristic of Pure Erythroid Leukemia. Blood 2017, 129, 2584–2587. [Google Scholar] [CrossRef]
  38. Grossmann, V.; Schnittger, S.; Kohlmann, A.; Eder, C.; Roller, A.; Dicker, F.; Schmid, C.; Wendtner, C.M.; Staib, P.; Serve, H.; et al. A Novel Hierarchical Prognostic Model of AML Solely Based on Molecular Mutations. Blood 2012, 120, 2963–2972. [Google Scholar] [CrossRef]
  39. Middeke, J.M.; Fang, M.; Cornelissen, J.J.; Mohr, B.; Appelbaum, F.R.; Stadler, M.; Sanz, J.; Baurmann, H.; Bug, G.; Schafer-Eckart, K.; et al. Outcome of Patients with Abnl(17p) Acute Myeloid Leukemia after Allogeneic Hematopoietic Stem Cell Transplantation. Blood 2014, 123, 2960–2967. [Google Scholar] [CrossRef]
  40. Middeke, J.M.; Herold, S.; Rucker-Braun, E.; Berdel, W.E.; Stelljes, M.; Kaufmann, M.; Schafer-Eckart, K.; Baldus, C.D.; Stuhlmann, R.; Ho, A.D.; et al. TP53 Mutation in Patients with High-Risk Acute Myeloid Leukaemia Treated with Allogeneic Haematopoietic Stem Cell Transplantation. Br. J. Haematol. 2016, 172, 914–922. [Google Scholar] [CrossRef]
  41. Prochazka, K.T.; Pregartner, G.; Rucker, F.G.; Heitzer, E.; Pabst, G.; Wolfler, A.; Zebisch, A.; Berghold, A.; Dohner, K.; Sill, H. Clinical Implications of Subclonal TP53 Mutations in Acute Myeloid Leukemia. Haematologica 2019, 104, 516–523. [Google Scholar] [CrossRef] [PubMed]
  42. Rucker, F.G.; Schlenk, R.F.; Bullinger, L.; Kayser, S.; Teleanu, V.; Kett, H.; Habdank, M.; Kugler, C.M.; Holzmann, K.; Gaidzik, V.I.; et al. TP53 Alterations in Acute Myeloid Leukemia with Complex Karyotype Correlate with Specific Copy Number Alterations, Monosomal Karyotype, and Dismal Outcome. Blood 2012, 119, 2114–2121. [Google Scholar] [CrossRef] [PubMed]
  43. Brosh, R.; Rotter, V. When Mutants Gain New Powers: News from the Mutant p53 Field. Nat. Rev. Cancer 2009, 9, 701–713. [Google Scholar] [CrossRef] [PubMed]
  44. Loizou, E.; Banito, A.; Livshits, G.; Ho, Y.J.; Koche, R.P.; Sanchez-Rivera, F.J.; Mayle, A.; Chen, C.C.; Kinalis, S.; Bagger, F.O.; et al. A Gain-of-Function p53-Mutant Oncogene Promotes Cell Fate Plasticity and Myeloid Leukemia through the Pluripotency Factor FOXH1. Cancer Discov. 2019, 9, 962–979. [Google Scholar] [CrossRef] [PubMed]
  45. Boettcher, S.; Miller, P.G.; Sharma, R.; McConkey, M.; Leventhal, M.; Krivtsov, A.V.; Giacomelli, A.O.; Wong, W.; Kim, J.; Chao, S.; et al. A Dominant-Negative Effect Drives Selection of TP53 Missense Mutations in Myeloid Malignancies. Science 2019, 365, 599–604. [Google Scholar] [CrossRef] [PubMed]
  46. Poeta, M.L.; Manola, J.; Goldwasser, M.A.; Forastiere, A.; Benoit, N.; Califano, J.A.; Ridge, J.A.; Goodwin, J.; Kenady, D.; Saunders, J.; et al. TP53 Mutations and Survival in Squamous-Cell Carcinoma of the Head and Neck. N. Engl. J. Med. 2007, 357, 2552–2561. [Google Scholar] [CrossRef]
  47. Neskey, D.M.; Osman, A.A.; Ow, T.J.; Katsonis, P.; McDonald, T.; Hicks, S.C.; Hsu, T.K.; Pickering, C.R.; Ward, A.; Patel, A.; et al. Evolutionary Action Score of TP53 Identifies High-Risk Mutations Associated with Decreased Survival and Increased Distant Metastases in Head and Neck Cancer. Cancer Res. 2015, 75, 1527–1536. [Google Scholar] [CrossRef]
  48. Short, N.J.; Kantarjian, H.M.; Loghavi, S.; Huang, X.; Qiao, W.; Borthakur, G.; Kadia, T.M.; Daver, N.; Ohanian, M.; Dinardo, C.D.; et al. Treatment with a 5-Day Versus a 10-Day Schedule of Decitabine in Older Patients with Newly Diagnosed Acute Myeloid Leukaemia: A Randomised Phase 2 Trial. Lancet Haematol. 2019, 6, 29–37. [Google Scholar] [CrossRef]
  49. Dohner, H.; Dolnik, A.; Tang, L.; Seymour, J.F.; Minden, M.D.; Stone, R.M.; Del Castillo, T.B.; Al-Ali, H.K.; Santini, V.; Vyas, P.; et al. Cytogenetics and Gene Mutations Influence Survival in Older Patients with Acute Myeloid Leukemia Treated with Azacitidine or Conventional Care. Leukemia 2018, 32, 2546–2557. [Google Scholar] [CrossRef]
  50. Bykov, V.J.; Issaeva, N.; Shilov, A.; Hultcrantz, M.; Pugacheva, E.; Chumakov, P.; Bergman, J.; Wiman, K.G.; Selivanova, G. Restoration of the Tumor Suppressor Function to Mutant p53 by a Low-Molecular-Weight Compound. Nat. Med. 2002, 8, 282–288. [Google Scholar] [CrossRef]
  51. Lambert, J.M.; Gorzov, P.; Veprintsev, D.B.; Soderqvist, M.; Segerback, D.; Bergman, J.; Fersht, A.R.; Hainaut, P.; Wiman, K.G.; Bykov, V.J. PRIMA-1 Reactivates Mutant p53 by Covalent Binding to the Core Domain. Cancer Cell 2009, 15, 376–388. [Google Scholar] [CrossRef] [PubMed]
  52. Lehmann, S.; Bykov, V.J.; Ali, D.; Andren, O.; Cherif, H.; Tidefelt, U.; Uggla, B.; Yachnin, J.; Juliusson, G.; Moshfegh, A.; et al. Targeting p53 in Vivo: A First-in-Human Study with p53-Targeting Compound APR-246 in Refractory Hematologic Malignancies and Prostate Cancer. J. Clin. Oncol. 2012, 30, 3633–3639. [Google Scholar] [CrossRef] [PubMed]
  53. Maslah, N.; Salomao, N.; Drevon, L.; Verger, E.; Partouche, N.; Ly, P.; Aubin, P.; Naoui, N.; Schlageter, M.H.; Bally, C.; et al. Synergistic Effects of PRIMA-1Met (APR-246) and Azacitidine in TP53-Mutated Myelodysplastic Syndromes and Acute Myeloid Leukemia. Haematologica 2019. [Google Scholar] [CrossRef] [PubMed]
  54. Sallman, D.A.; DeZern, A.E.; Garcia-Manero, G.; Steensma, D.P.; Roboz, G.; Sekkeres, M.A.; Cluzeau, T.; Sweet, K.L.; McLemore, A.F.; McGraw, K.; et al. Phase 2 results of PRIMA-1Met (APR-246) and azacitidine in TP53-mutated myelodysplastic syndromes and oligoblastic acute myeloid leukemia (AML). Blood 2019, 134, 676. [Google Scholar] [CrossRef]
  55. Ciurea, S.O.; Chilkulwar, A.; Saliba, R.M.; Chen, J.; Rondon, G.; Patel, K.P.; Khogeer, H.; Shah, A.R.; Randolph, B.V.; Perez, J.M.R.; et al. Prognostic Factors Influencing Survival after Allogeneic Transplantation for AML/MDS Patients with TP53 Mutations. Blood 2018, 131, 2989–2992. [Google Scholar] [CrossRef]
  56. Schlenk, R.F.; Dohner, K.; Mack, S.; Stoppel, M.; Kiraly, F.; Gotze, K.; Hartmann, F.; Horst, H.A.; Koller, E.; Petzer, A.; et al. Prospective Evaluation of Allogeneic Hematopoietic Stem-Cell Transplantation from Matched Related and Matched Unrelated Donors in Younger Adults with High-Risk Acute Myeloid Leukemia: German-Austrian Trial AMLHD98A. J. Clin. Oncol. 2010, 28, 4642–4648. [Google Scholar] [CrossRef]
  57. Schlenk, R.F.; Dohner, K.; Krauter, J.; Frohling, S.; Corbacioglu, A.; Bullinger, L.; Habdank, M.; Spath, D.; Morgan, M.; Benner, A.; et al. Mutations and Treatment Outcome in Cytogenetically Normal Acute Myeloid Leukemia. N. Engl. J. Med. 2008, 358, 1909–1918. [Google Scholar] [CrossRef]
  58. Schlenk, R.F.; Frohling, S.; Hartmann, F.; Fischer, J.T.; Glasmacher, A.; del Valle, F.; Grimminger, W.; Gotze, K.; Waterhouse, C.; Schoch, R.; et al. Phase III Study of all-Trans Retinoic Acid in Previously Untreated Patients 61 Years or Older with Acute Myeloid Leukemia. Leukemia 2004, 18, 1798–1803. [Google Scholar] [CrossRef]
  59. Duncavage, E.J.; Uy, G.L.; Petti, A.A.; Miller, C.A.; Lee, Y.S.; Tandon, B.; Gao, F.; Fronick, C.C.; O’Laughlin, M.; Fulton, R.S.; et al. Mutational Landscape and Response are Conserved in Peripheral Blood of AML and MDS Patients during Decitabine Therapy. Blood 2017, 129, 1397–1401. [Google Scholar] [CrossRef][Green Version]
  60. Oren, M.; Rotter, V. Mutant p53 Gain-of-Function in Cancer. Cold Spring Harb Perspect. Biol. 2010, 2, a001107. [Google Scholar] [CrossRef]
  61. Kotler, E.; Shani, O.; Goldfeld, G.; Lotan-Pompan, M.; Tarcic, O.; Gershoni, A.; Hopf, T.A.; Marks, D.S.; Oren, M.; Segal, E. A Systematic p53 Mutation Library Links Differential Functional Impact to Cancer Mutation Pattern and Evolutionary Conservation. Mol. Cell 2018, 71, 873. [Google Scholar] [CrossRef] [PubMed]
  62. Ruopp, M.D.; Perkins, N.J.; Whitcomb, B.W.; Schisterman, E.F. Youden Index and Optimal Cut-Point Estimated from Observations Affected by a Lower Limit of Detection. Biom. J. 2008, 50, 419–430. [Google Scholar] [CrossRef] [PubMed]
Figure 1. Overall survival (OS) probabilities for patients with TP53-mutated AML according to functional mutation scoring systems. (A) comparison of missense TP53 mutations versus other types of aberration (nonsense and splice site mutations, insertions and deletions). (B) comparison of disruptive versus non-disruptive TP53 mutations. (C) classification according to the “Evolutionary Action p53 Score”. (D) classification based on the “Relative Fitness Score” (RFS) with the AML-specific threshold of −0.135 showing a statistically significant survival difference (median OS, 12.9 versus 5.5 months). All p-values refer to the comparison of TP53-mutated groups. Abbreviation: wt, wild type.
Figure 1. Overall survival (OS) probabilities for patients with TP53-mutated AML according to functional mutation scoring systems. (A) comparison of missense TP53 mutations versus other types of aberration (nonsense and splice site mutations, insertions and deletions). (B) comparison of disruptive versus non-disruptive TP53 mutations. (C) classification according to the “Evolutionary Action p53 Score”. (D) classification based on the “Relative Fitness Score” (RFS) with the AML-specific threshold of −0.135 showing a statistically significant survival difference (median OS, 12.9 versus 5.5 months). All p-values refer to the comparison of TP53-mutated groups. Abbreviation: wt, wild type.
Cancers 12 00637 g001
Table 1. Characteristics of TP53 mutations found in AMLSG patients and their assessment in different scoring systems. In the 8 patients with more than one TP53 mutation (marked in grey), the mutation used for analysis is depicted in red. Abbreviations: non-disr., non-disruptive mutations; EAp53 Score, Evolutionary Action p53 Score; RFS, Relative Fitness Score; NA, not applicable; “other” refers to nonsense and splice site TP53 mutations, as well as to small insertions and deletions. “Frequency” refers to the cohort analyzed.
Table 1. Characteristics of TP53 mutations found in AMLSG patients and their assessment in different scoring systems. In the 8 patients with more than one TP53 mutation (marked in grey), the mutation used for analysis is depicted in red. Abbreviations: non-disr., non-disruptive mutations; EAp53 Score, Evolutionary Action p53 Score; RFS, Relative Fitness Score; NA, not applicable; “other” refers to nonsense and splice site TP53 mutations, as well as to small insertions and deletions. “Frequency” refers to the cohort analyzed.
StudyIDcDNA ChangeAmino Acid ChangeVariant Allele FrequencyFrequencyMissense (1) Other (0)Disruptive (1)
Non-Disr. (0)
EAp53 ScoreRFS
07-0417c.461G>Ap.G154D12.51070.67−2.09007995
07-0430c.773A>Cp.E258A23.281093.29−0.1473427
07-0432c.817C>Tp.R273C13.741084.5−0.12541853
07-0441c.524G>Ap.R175H71.931078.5−0.14494686
07-0476c.869G>Ap.R290H45.691016.59−1.5430162
07-04110c.658T>Cp.Y220H62.661043.94−0.68522627
07-04129c.488A>Gp.Y163C58.9310700.12544937
07-04133c.713G>Ap.C238Y96.331092.660.2148364
07-04139c.427G>Ap.V143M8.71051.7−1.33071158
07-04177c.524G>Ap.R175H89.011078.5−0.14494686
07-04197c.743G>Ap.R248Q88.021178.95−0.03958725
07-04198c.659A>Gp.Y220C30.771072.520.21906403
07-04204c.1024C>Tp.R342*44.3601
07-04204c.796G>Cp.G266R46.251 91.410.30570903
07-04214c.743G>Ap.R248Q77.721178.95−0.03958725
07-04228c.503A>Cp.H168P94.441178.86−0.31621125
07-04241c.994-1G>ANA87.9401
07-04246c.799C>Tp.R267W46.361089.04−0.64560831
07-04251c.817C>Tp.R273C70.951084.5−0.12541853
07-04302c.824G>Ap.C275Y86.521093.470.40550255
07-04421c.826G>Cp.A276P5.781 73.15−0.16222675
07-04421c.743G>Ap.R248Q12.841178.95−0.03958725
07-04421c.587G>Ap.R196Q13.981 82.24−1.35549764
07-04421c.395A>Gp.K132R38.551 690.46452687
07-04439c.613T>Gp.Y205D9.961094.270.41838153
07-04462c.583A>Tp.I195F84.751055.720.23930621
07-04475c.659A>Gp.Y220C37.621072.520.21906403
07-04578c.524G>Ap.R175H71.641078.5−0.14494686
07-04583c.818G>Ap.R273H8.791066.120.25030959
07-04654c.524G>Ap.R175H13.411078.5−0.14494686
07-04690c.437G>Ap.W146*17.3101 0.34844348
07-04705c.524G>Ap.R175H22.861 78.5−0.14494686
07-04705c.673-1G>ANA20.5501
07-04743c.493C>Tp.Q165*36.6201 −0.35599844
07-04873c.524G>Ap.R175H76.991078.5−0.14494686
07-04890c.527G>Tp.C176F69.661196.330.19435669
07-04909c.667C>Tp.P223S4.661070.78-2.66136766
07-04911c.832C>Tp.P278S26.961084.340.16959628
07-04913c.761T>Ap.I254N5.151088.5−0.11720409
07-04944c.517G>Tp.V173L881082.640.08713433
07-04954c.742C>Tp.R248W47.221184.110.07397455
07-04975c.524G>Ap.R175H28.921078.5−0.14494686
07-041015c.743G>Ap.R248Q83.791178.95−0.03958725
07-041056c.722C>Tp.S241F7.691190.38−0.0294578
07-041096c.817C>Tp.R273C89.471084.5−0.12541853
07-041100c.734G>Ap.G245D22.481189.5−0.00312039
07-041107c.1154delTp.F385fs*3752.3801
07-041120c.388C>Gp.L130V12.241077.51−0.25882638
07-041135c.659A>Gp.Y220C33.151072.520.21906403
07-041156c.710T>Ap.M237K94.531185.520.29707147
07-041169c.645T>Gp.S215R11.031089.070.00332001
07-041171c.743G>Ap.R248Q77.721178.95-0.03958725
07-041216c.584T>Ap.I195N49.471187.790.11355885
98A28c.400T>Ap.F134I54.371056.10.18555266
98A69c.701A>Gp.Y234C67.951062.90.23555926
98A152c.1022_1023insTp.R342fs*525.2201
98A213c.743G>Ap.R248Q94.061178.95−0.03958725
98A233c.760A>Gp.I254V53.281034.31−2.12561332
98A266c.490A>Gp.K164E58.821174.740.45663438
98A296c.419C>Ap.T140N44.191068−3.19750232
98A320c.31G>Ap.E11K52.611010.43
98A409c.814G>Ap.V272M14.851063.40.22735985
98A434c.823T>Cp.C275R33.851097.760.32999589
98A477c.818G>Ap.R273H37.851066.120.25030959
98A498c.722C>Tp.S241F7.21190.38−0.0294578
98A536c.488A>Gp.Y163C96.7710700.12544937
98A551c.800G>Cp.R267P25.481094.880.59067636
98A554c.722C>Tp.S241F84.351190.38−0.0294578
98A568c.794T>Cp.L265P90.911084−0.31706353
98A598c.814G>Ap.V272M34.381063.40.22735985
98A624c.711G>Ap.M237I73.651063.680.19340041
98A630c.159G>Ap.W53*96.9701
98A661c.439delGp.V147fs*71.7301
98A691c.848G>Ap.R283H481048.44−1.7891287
98A692c.722C>Tp.S241F72.281190.38−0.0294578
98A695c.722C>Ap.S241Y69.831089.87−0.60425762
98A739c.376-1G>ANA89.1901
98A799c.742C>Tp.R248W64.371184.110.07397455
98A839c.711G>Ap.M237I79.381063.680.19340041
98A840c.493C>Tp.Q165*91.4901 −0.35599844
98A870c.608T>Ap.V203E31.781071.79−0.45171065
98A919c.160T>Cp.F54L16.94102.55
98A941c.376-2A>GNA78.1301
98A1076c.395A>Gp.K132R76.6710690.46452687
98B35c.725G>Cp.C242S28.981086.740.26799062
98B49c.637C>Tp.R213*87.2101
98B69c.25A>Gp.S9G15.711016.9
98B71c.154C>Tp.Q52*84.0801
98B87c.577C>Ap.H193N69.931173.110.17590301
98B98c.711G>Ap.M237I15.511 63.680.19340041
98B98c.490A>Gp.K164E16.231174.740.45663438
98B103c.993+1G>ANA89.8601
98B126c.785G>Tp.G262V43.671 88.20.28619807
98B126c.553_559+
2delAGCGATGgt
p.?47.5701
98B199c.645T>Gp.S215R26.991 89.070.00332001
98B199c.560-1G>ANA19.4401
98B201c.472delCp.R158fs*16.660
98B201c.320_321insAp.Y107fs*118.9601
98B220c.715A>Gp.N239D57.031149.44−0.02472517
98B226c.818G>Ap.R273H81.21066.120.25030959
98B275c.329G>Tp.R110L34.881028.14
98B292c.659A>Gp.Y220C64.21072.520.21906403
98B332c.388C>Gp.L130V58.541077.51−0.25882638
98B352c.659A>Gp.Y220C72.051 72.520.21906403
98B352c.438G>Ap.W146*7.6901 0.34844348
98B358c.817C>Tp.R273C761084.5−0.12541853
98B408c.743G>Ap.R248Q77.171178.95−0.03958725
98B458c.734G>Ap.G245D54.11189.5−0.00312039
Table 2. Median overall survival rates of AMLSG patients with and without TP53-mutated acute myeloid leukemia (AML) and with respect to TP53-specific functional scoring systems.
Table 2. Median overall survival rates of AMLSG patients with and without TP53-mutated acute myeloid leukemia (AML) and with respect to TP53-specific functional scoring systems.
VariableGroupMedian95% CI
TP53mut6.55.0–8.2
wt33.628.4–45.0
Disruptiveno7.35.0–11.7
yes5.53.7–7.9
Missenseno5.12.9–14.0
yes6.65.0–8.9
EAp53<758.25.4–12.9
≥755.54.6–8.7
RFS≤−113.412.9–NA
>−16.35.0–8.2
RFS AML≤−0.13512.96.9–24.7
>−0.1355.53.8–8.2
Abbreviations: CI, confidence interval; mut, TP53-mutated; wt, wild type TP53; Disruptive, disruptive mutations; Missense, missense mutations; EAp53, Evolutionary Action p53 Score; RFS, Relative Fitness Score; RFS AML, AML-specific RFS; NA, not applicable—median survival not reached.
Table 3. Multivariable Cox proportional hazards regression analysis of the effect of different functional mutation scoring systems on overall survival (OS) and event-free survival (EFS) in patients with TP53-mutated acute myeloid leukemia (AML).
Table 3. Multivariable Cox proportional hazards regression analysis of the effect of different functional mutation scoring systems on overall survival (OS) and event-free survival (EFS) in patients with TP53-mutated acute myeloid leukemia (AML).
OS EFS
VariableCategoryHR (95% CI)pHR (95% CI)p
Missenseno1 1
yes1.0 (0.49–2.05)0.9981.49 (0.73–3.06)0.277
Disruptiveno1 1
yes1.68 (0.99–2.86)0.0561.18 (0.71–1.96)0.533
EAp53<751 1
≥751.12 (0.65–1.93)0.6781.41 (0.82–2.4)0.212
RFS≤−11 1
>−14.26 (0.91–19.88)0.0654.08 (0.88–18.94)0.072
RFS AML≤−0.1351 1
>−0.1352.14 (1.15–4.0)0.0171.97 (1.06–3.69)0.033
The models are adjusted for age, gender, white blood cell count, cytogenetic risk, type of AML, and TP53 variant allele frequency. Abbreviations: HR, hazard ratio; CI, confidence interval; EAp53, Evolutionary Action p53 Score; RFS, Relative Fitness Score; RFS AML, AML-specific RFS.
Table 4. Classification of amino acids by polarity and charge.
Table 4. Classification of amino acids by polarity and charge.
NonpolarPolar,
Negatively Charged
Polar, No ChargePolar,
Positively Charged
Phenylalanine FAspartic acid DCysteine CHistidine H
Methionine MGlutamic acid EAsparagine NLysine K
Tryptophan W Glutamine QArginine R
Isoleucine I Threonine T
Valine V Tyrosine Y
Leucine L Serine S
Alanine A Glycine G
Proline P

Share and Cite

MDPI and ACS Style

Dutta, S.; Pregartner, G.; Rücker, F.G.; Heitzer, E.; Zebisch, A.; Bullinger, L.; Berghold, A.; Döhner, K.; Sill, H. Functional Classification of TP53 Mutations in Acute Myeloid Leukemia. Cancers 2020, 12, 637. https://doi.org/10.3390/cancers12030637

AMA Style

Dutta S, Pregartner G, Rücker FG, Heitzer E, Zebisch A, Bullinger L, Berghold A, Döhner K, Sill H. Functional Classification of TP53 Mutations in Acute Myeloid Leukemia. Cancers. 2020; 12(3):637. https://doi.org/10.3390/cancers12030637

Chicago/Turabian Style

Dutta, Sayantanee, Gudrun Pregartner, Frank G. Rücker, Ellen Heitzer, Armin Zebisch, Lars Bullinger, Andrea Berghold, Konstanze Döhner, and Heinz Sill. 2020. "Functional Classification of TP53 Mutations in Acute Myeloid Leukemia" Cancers 12, no. 3: 637. https://doi.org/10.3390/cancers12030637

APA Style

Dutta, S., Pregartner, G., Rücker, F. G., Heitzer, E., Zebisch, A., Bullinger, L., Berghold, A., Döhner, K., & Sill, H. (2020). Functional Classification of TP53 Mutations in Acute Myeloid Leukemia. Cancers, 12(3), 637. https://doi.org/10.3390/cancers12030637

Note that from the first issue of 2016, this journal uses article numbers instead of page numbers. See further details here.

Article Metrics

Back to TopTop