Generation of Concentration Gradients by a Outer-Circumference-Driven On-Chip Mixer
Abstract
:1. Introduction
2. Materials and Methods
2.1. Experimental Method and Channel Design
2.2. Microchip Fabrication
2.3. Experimental Setup
2.4. Evaluation
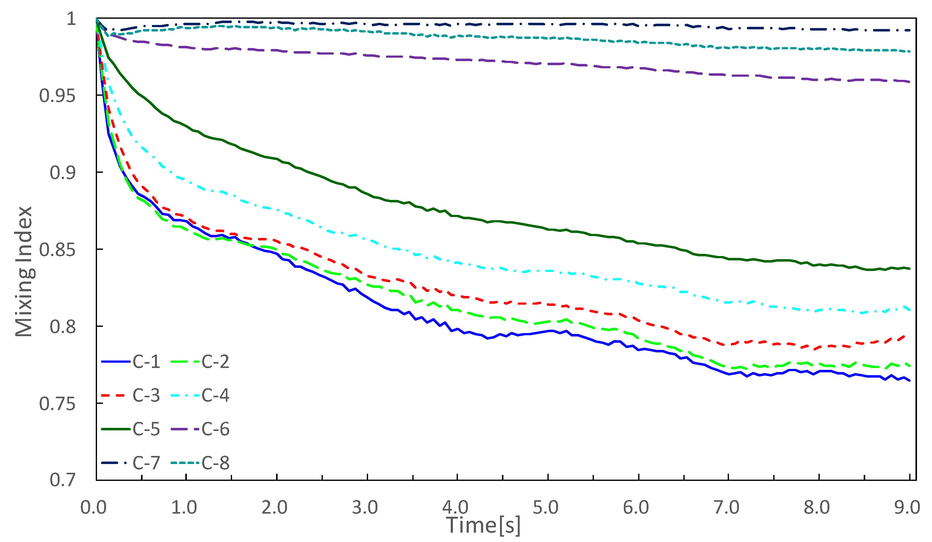
3. Result
4. Discussion
4.1. Experiment Evaluation
4.2. Experiments Using Colored Water
4.3. Evaluation of Pressure Gradient
5. Conclusions
Author Contributions
Funding
Data Availability Statement
Conflicts of Interest
Appendix A. Determination of Channel Design
Appendix A.1. Concentration Gradient Generation Method
- Equalize pressure in each driving chamber and adjust the concentration on the basis of enclosure angle.
- Make the enclosure angle of each driving chamber uniform, and adjust the concentration on the basis of pressure.

Appendix A.2. Verification of Ability to Generate Chambers with Uniform Concentration Using Branch Channels

Appendix A.3. Generation of Concentration Gradients Based on Serial-Type Flow Paths


Appendix A.4. Influence of Deformation of Wall

Appendix B. Raw Data of the Experiments


References
- Lee, C.Y.; Fu, L.M. Recent advances and applications of micromixers. Sens. Actuators B Chem. 2018, 259, 677–702. [Google Scholar] [CrossRef]
- Kawai, K.; Arima, K.; Morita, M.; Shoji, S. Microfluidic valve array control system integrating a fluid demultiplexer circuit. J. Micromech. Microeng. 2015, 25, 065016. [Google Scholar] [CrossRef]
- Hardt, S.; Drese, K.; Hessel, V.; Schonfeld, F. Passive micro mixers for applications in the micro reactor and tas. In Proceedings of the Field the 2nd International Conference on Microchannels and Minichannels, New York, NY, USA, 17–19 June 2004. [Google Scholar]
- Chen, G.; Zhu, X.; Liao, Q.; Chen, R.; Ye, D.; Liu, M.; Wang, K. A novel structured foam microreactor with controllable gas and liquid flow path: Hydrodynamics and nitrobenzene conversion. Chem. Eng. Sci. 2021, 229, 116004. [Google Scholar] [CrossRef]
- Wu, Z.; Willing, B.; Bjerketorp, J.; Jansson, J.K.; Hjort, K. Soft inertial microfluidics for high throughput separation of bacteria from human blood cells. Lab Chip 2009, 9, 1193–1199. [Google Scholar] [CrossRef] [PubMed] [Green Version]
- Sassa, F.; Fukuda, J.; Suzuki, H. Microprocessing of Liquid Plugs for Bio/chemical Analyses. Anal. Chem. 2008, 80, 6206–6213. [Google Scholar] [CrossRef] [PubMed]
- Lee, W.S.; Jambovane, S.; Kim, D.; Hong, J.W. Predictive model on micro droplet generation through mechanical cutting. Microfluid Nanofluid 2009, 7, 431–438. [Google Scholar] [CrossRef]
- Alam, A.; Afzal, A.; Kim, K.-Y. Mixing performance of a planar micromixer with circular obstruct ions in a curved microchannel. Chem. Eng. Res. Des. 2014, 92, 423–434. [Google Scholar] [CrossRef]
- Huang, P.; Xie, Y.; Ahmed, D.; Rufo, J.; Nama, N.; Chen, Y.; Chan, C.Y.; Huang, T.J. An acoustofluidic micromixer based on oscillating sidewall sharp-edges. Lab Chip 2013, 13, 3847–3852. [Google Scholar] [CrossRef]
- Raza, W.; Hossain, S.; Kim, K.W. Review of Passive Micromixers with a Comparative Analysis. Micromachines 2020, 11, 455. [Google Scholar] [CrossRef]
- Bayareh, M.; Ashani, M.N.; Usefian, A. Active and passive micromixers: A comprehensive review. Chem. Eng. Process. 2020, 147, 107771. [Google Scholar] [CrossRef]
- Hong, H.; Choi, I.; Ahn, C.H. A novel in-plane passive microfluidic mixer with modified Tesla structures. Lab Chip 2004, 4, 109–113. [Google Scholar] [CrossRef]
- Park, S.; Kim, J.K.; Park, J.; Chung, S.; Chung, C.; Chang, J.K. Rapid three-dimensional passive rotation micromixer using the breakup process. J. Micromech. Microeng. 2003, 14, 6–14. [Google Scholar] [CrossRef]
- Zhou, T.; Wang, H.; Shi, L.; Liu, Z.; Joo, S.W. An enhanced electroosmotic micromixer with an efficient asymmetric lateral structure. Micromachines 2016, 7, 218. [Google Scholar] [CrossRef] [PubMed] [Green Version]
- Owen, D.; Ballard, M.; Alexeev, A.; Hesketh, P.J. Rapid microfluidic mixing via rotating magnetic microbeads. Sens. Actuators A Phys. 2016, 251, 84–91. [Google Scholar] [CrossRef] [Green Version]
- Abbas, Y.; Miwa, J.; Zengerle, R.; von Stetten, F. Active continuous-flow micromixer using an external braille pin actuator array. Micromachines 2013, 4, 80–89. [Google Scholar] [CrossRef] [Green Version]
- Ahmed, D.; Mao, X.; Juluri, B.K.; Huang, T.J. A fast microfluidic mixer based on acoustically driven sidewall-trapped microbubbles. Microfluid Nanofluid 2009, 7, 727–731. [Google Scholar] [CrossRef]
- Glasgow, I.; Lieber, S.; Aubry, N. Parameters Influencing Pulsed Flow Mixing in Microchannels. Anal. Chem. 2004, 76, 4825–4832. [Google Scholar] [CrossRef] [PubMed]
- Hong, B.; Xue, P.; Wu, Y.; Bao, J.; Chuah, Y.J.; Kang, Y. A concentration gradient generator on a paper-based microfluidic chip coupled with cell culture microarray for high-throughput drug screening. Biomed. Microdevices 2016, 18, 21. [Google Scholar] [CrossRef]
- Irimia, D. Dan A Geba and Mehmet Toner, Universal Microfluidic Gradient Generator. Anal. Chem. 2006, 78, 3472–3477. [Google Scholar] [CrossRef] [PubMed] [Green Version]
- Shourabi, A.Y.; Kashaninejad, N.; Saidy, M.S. An integrated microfluidic concentration gradient generator for mechanical stimulation and drug delivery. J. Sci. Adv. Mater. Devices 2021, 6, 280–290. [Google Scholar] [CrossRef]
- Zhou, B.; Gao, Y.; Tian, J.; Tong, R.; Wu, J.; Wen, W. Preparation of orthogonal physicochemical gradients on PDMS surface using microfluidic concentration gradient generator. Appl. Surf. Sci. 2019, 471, 213–221. [Google Scholar] [CrossRef]
- Alam, A.; Kim, K.W. Mixing performance of a planar micromixer with circular chambers and crossing constriction channels. Sens. Actuators B Chem. 2013, 176, 639–652. [Google Scholar] [CrossRef]
- Sundaram, N.; Tafti, D.K. Evaluation of Microchamber Geometries and Surface Conditions for Electrokinetic Driven Mixing. Anal. Chem. 2004, 76, 3785–3793. [Google Scholar] [CrossRef]
- Yang, C.; Xu, Z.; Lee, A.P.; Wang, J. A microfluidic concentration-gradient droplet array generator for the production of multi-color nanoparticles. Lab Chip 2013, 13, 2815–2820. [Google Scholar] [CrossRef] [PubMed]
- Guo, Y.; Gao, Z.; Liu, Y.; Li, S.; Zhu, J.; Chen, P.; Liu, B. Multichannel synchronous hydrodynamic gating coupling with concentration gradient generator for high-throughput probing dynamic signaling of single cells. Anal. Chem. 2020, 92, 12062–12070. [Google Scholar] [CrossRef] [PubMed]
- Tang, M.; Huang, X.; Chu, Q.; Ning, X.; Wang, Y.; Kong, S.; Zhang, X.; Wang, G.; Ho, H. A linear concentration gradient generator based on multilayered centrifugal microfluidics and its application in antimicrobial susceptibility testing. Lab Chip 2018, 18, 1452–1460. [Google Scholar] [CrossRef]
- Lim, W.; Park, S. A Microfluidic Spheroid Culture Device with a Concentration Gradient Generator for High-Throughput Screening of Drug Efficacy. Molecules 2018, 23, 3355. [Google Scholar] [CrossRef] [Green Version]
- Okuyama, T.; Yamazoe, H.; Seto, Y.; Suzuki, H.; Fukuda, J. Cell Micropatterning inside a microchannel and assays under a stable concentration gradient. J. Biosci. Bioeng. 2010, 110, 230–237. [Google Scholar] [CrossRef] [Green Version]
- Hung, P.J.; Lee, P.J.; Sabounchi, P.; Lin, R.; Lee, L.P. Continuous Perfusion Microfluidic Cell Culture Array for High-Throughput Cell-Based Assays. Biotechnol. Bioeng. 2005, 89, 1–8. [Google Scholar] [CrossRef]
- Dai, B.; Long, Y.; Wu, J.; Huang, S.; Zhao, Y.; Zheng, L.; Tao, C.; Guo, S.; Lin, F.; Fu, Y.; et al. Generation of flow and droplets with an ultra-long-range linear concentration gradient. Lab Chip 2021, 21, 4390–4400. [Google Scholar] [CrossRef]
- Takayama, T.; Horade, M.; Tsai, C.D.; Kaneko, M. Push/Pull Inequality Based On-Chip Density Mixer with Active Enhancer. In Proceedings of the 22nd International Conference on Miniaturized Systems for Chemistry and Life Sciences, Kaohsiung, Taiwan, 11–15 November 2018. [Google Scholar]
- Takayama, T.; Kaneko, M.; Tsai, C.D. On-Chip Micro Mixer Driven by Elastic Wall with Virtual Actuator. Micromachines 2021, 12, 217. [Google Scholar] [CrossRef] [PubMed]
- Takayama, T.; Hosokawa, N.; Tsai, C.; Kaneko, M. Push/Pull Inequality Based High-Speed On-Chip Mixer Enhanced by Wettability. Micromachines 2020, 11, 950. [Google Scholar] [CrossRef]
- Takayama, T.; Miyashiro, H.; Tsai, C.D.; Ito, H.; Kaneko, M. On-chip density mixer enhanced by air chamber. Biomicrofluidics 2018, 12, 044108. [Google Scholar] [CrossRef] [PubMed]
- Tsai, C.D.; Takayama, T.; Shimozyo, Y.; Akai, T.; Kaneko, M. Virtual vortex gear: Unique flow patterns driven by microfluidic inertia leading to pinpoint injection. Biomicrofluidics 2018, 12, 034114. [Google Scholar] [CrossRef] [PubMed]












Publisher’s Note: MDPI stays neutral with regard to jurisdictional claims in published maps and institutional affiliations. |
© 2021 by the authors. Licensee MDPI, Basel, Switzerland. This article is an open access article distributed under the terms and conditions of the Creative Commons Attribution (CC BY) license (https://creativecommons.org/licenses/by/4.0/).
Share and Cite
Koike, F.; Takayama, T. Generation of Concentration Gradients by a Outer-Circumference-Driven On-Chip Mixer. Micromachines 2022, 13, 68. https://doi.org/10.3390/mi13010068
Koike F, Takayama T. Generation of Concentration Gradients by a Outer-Circumference-Driven On-Chip Mixer. Micromachines. 2022; 13(1):68. https://doi.org/10.3390/mi13010068
Chicago/Turabian StyleKoike, Fumiya, and Toshio Takayama. 2022. "Generation of Concentration Gradients by a Outer-Circumference-Driven On-Chip Mixer" Micromachines 13, no. 1: 68. https://doi.org/10.3390/mi13010068
APA StyleKoike, F., & Takayama, T. (2022). Generation of Concentration Gradients by a Outer-Circumference-Driven On-Chip Mixer. Micromachines, 13(1), 68. https://doi.org/10.3390/mi13010068

