Optimisation Design of Coupling Region Based on SOI Micro-Ring Resonator
Abstract
:1. Introduction
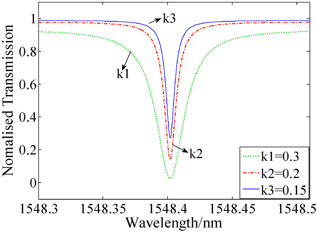
2. Transmission Characteristics in Micro-Cavity



3. Process and Experiment
3.1. Preparation of Optical Cavity


3.2. Coupling Test

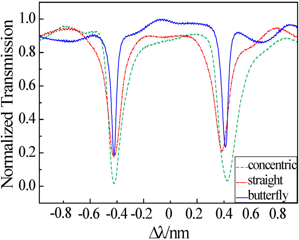
4. Results and Discussion




5. Conclusions
Acknowledgments
Author Contributions
Conflicts of Interest
References
- Ma, H.; Wang, S.; Jin, Z. Silica waveguide ring resonators with multi-turn structure. Opt. Commun. 2008, 281, 2509–2512. [Google Scholar] [CrossRef]
- Yan, S.; Zhao, M.; Liu, Z.; Li, J.; Yan, Y.; Xue, C.; Liu, J. All-solid integrated optical waveguide Gyro based on chip. Infrared Laser Eng. 2011, 40, 921–925. [Google Scholar]
- Toland, J.R.E.; Search, C.P. Sagnac gyroscope using a two-dimensional array of coupled optical microresonators. Appl. Phys. B. 2014, 114, 333–339. [Google Scholar] [CrossRef]
- Shi, Z.; Shao, S.; Wang, Y. Improved the Surface Roughness of Silicon Nanophotonic Devices by Thermal Oxidation Method. J. Phys. Conf. Ser. 2011, 276, 012087. [Google Scholar] [CrossRef]
- Liang, E.Z.; Hung, S.C.; Hsieh, Y.P.; Lin, C.F. Effective energy densities in KrF excimer laser reformation as a sidewall smoothing technique. J. Vac. Sci. Technol. B. 2008, 26, 110–116. [Google Scholar] [CrossRef]
- Timotijevic, B.; Mashanovich, G.; Michaeli, A.; Cohen, O.; Passaro, V.M.N.; Crnjanski, J.; Reed, G.T. Tailoring the spectral response of add/drop single and multiple resonators in silicon-on-insulator. Chin. Opt. Lett. 2009, 7, 291–295. [Google Scholar] [CrossRef]
- Veerasubramanian, V.; Beaudin, G.; Giguère, A.; Drogoff, B.L.; Aimez, V.; Kirk, A.G. Waveguide-coupled drop filters on SOI using quarter-wave shifted sidewalled grating resonators. Opt. Express 2012, 20, 15983–15990. [Google Scholar] [CrossRef]
- Dong, P.; Feng, N.; Feng, D.; Qian, W.; Liang, H.; Lee, D.C.; Luff, B.J.; Banwell, T. GHz-bandwidth optical filters based on high-order silicon ring resonators. Opt. Express 2010, 8, 23784–23789. [Google Scholar] [CrossRef]
- Li, Y.; Zhang, L.; Song, M.; Zhang, B.; Yang, J.; Beausoleil, R.G.; Willner, A.E.; Dapkus, P.D. Coupled-ring-resonator-based silicon modulator for enhanced performance. Opt. Express 2008, 16, 13342–13348. [Google Scholar] [CrossRef] [PubMed]
- Jin, L.; Li, M.; He, J. Highly-sensitive silicon-on-insulator sensor based on two cascaded micro-ring resonators with vernier effect. Opt. Commun. 2010, 284, 156–159. [Google Scholar] [CrossRef]
- Faktorová, D.; Savin, A.; Grimberg, R. Enhancement of Waveguide Sensor for Biological Tissues Dielectric Properties Investigation with Metamaterials. In Proceedings of 2012 35th International Conference on Telecommunications and Signal Processing (TSP), Prague, Czech Republic, 3–4 July 2012; pp. 544–548.
- Kiyat, I.; Kocabas, C.; Aydinli, A. Integrated micro ring resonator displacement sensor for scanning probe Microscopies. J. Micromech. Microeng. 2004, 14, 374–381. [Google Scholar] [CrossRef]
- Delâge, A.; Xu, D.; McKinnon, R.; Post, E.; Waldron, P.; Lapointe, J.; Storey, C.; Densmore, A.; Janz, S.; Lamontagne, B.; Cheben, P.; Schmid, J. Wavelength-Dependent Model of a Ring Resonator Sensor Excited by a Directional Coupler. J. Lightwave Technol. 2009, 27, 1172–1180. [Google Scholar] [CrossRef]
- Rouger, N.; Chrostowski, L.; Vafaei, R. Temperature Effects on Silicon-on-Insulator (SOI) Racetrack Resonators: A Coupled Analytic and 2-D Finite Difference Approach. J. Lightwave Technol. 2010, 28, 1380–1391. [Google Scholar] [CrossRef]
- Xia, F.; Rooks, M.; Sekaric, L; Vlasov, Y. Ultra-compact high order ring resonator filters using submicron silicon photonic wires for on-chip optical interconnects. Opt. Express 2007, 15, 11934–11941. [Google Scholar] [CrossRef]
© 2014 by the authors; licensee MDPI, Basel, Switzerland. This article is an open access article distributed under the terms and conditions of the Creative Commons Attribution license (http://creativecommons.org/licenses/by/4.0/).
Share and Cite
Yan, S.; Li, M.; Luo, L.; Ma, K.; Xue, C.; Zhang, W. Optimisation Design of Coupling Region Based on SOI Micro-Ring Resonator. Micromachines 2015, 6, 151-159. https://doi.org/10.3390/mi6010151
Yan S, Li M, Luo L, Ma K, Xue C, Zhang W. Optimisation Design of Coupling Region Based on SOI Micro-Ring Resonator. Micromachines. 2015; 6(1):151-159. https://doi.org/10.3390/mi6010151
Chicago/Turabian StyleYan, Shubin, Minghui Li, Liang Luo, Kezhen Ma, Chenyang Xue, and Wendong Zhang. 2015. "Optimisation Design of Coupling Region Based on SOI Micro-Ring Resonator" Micromachines 6, no. 1: 151-159. https://doi.org/10.3390/mi6010151
APA StyleYan, S., Li, M., Luo, L., Ma, K., Xue, C., & Zhang, W. (2015). Optimisation Design of Coupling Region Based on SOI Micro-Ring Resonator. Micromachines, 6(1), 151-159. https://doi.org/10.3390/mi6010151

