Tribological and Structural Properties of Copper-Coated 3D-Printed Parts from Biodegradable Polymers
Abstract
1. Introduction
2. Materials and Methods
- -
- Metco 51F-NS (Bronze Alloy—Cu 9.5Al 1.2Fe—nominal composition; chemical composition wt% nominal: 8.5–10.75Al, 0.5–2.0Fe, max 0.5 other)—is a golden-hued, inert gas in an atomized form. It is a bronze mostly composed of aluminum as the principal alloying ingredient, supplemented by other metals such as iron. The inclusion of aluminum in these bronzes improves the corrosion resistance of coatings derived from these materials by facilitating the creation of a thin, durable surface oxide that serves as a protective layer for the copper-rich alloy. Other powder features include the following: nominal range: (−53 to +5) µm; manufacturing method—gas atomization; morphology—spheroidal; suggested process—Atmospheric Plasma Spray (APS).
- -
- Metco 445 (Cu 9.5Al—nominal composition, chemical composition wt% nominal: 7.0–12.0Al organic binder—2.5) is a mechanically clad aluminum bronze that exhibits self-bonding during thermal spray processing as a result of a chemical reaction of the cladded components. Other powder features include the following: nominal range (−106 to +45) µm; manufacturing method—mechanically clad; morphology—spheroidal.
3. Results and Discussion
3.1. DSC Analysis
3.2. Thermogravimetric Analysis
3.3. SEM Analysis
3.4. XRD Analysis
- -
- The PLA substrate sample (Figure 5a) showed an intense peak at 2θ for the angle of 45.199° (Fe4) and 44.740° (Al4) [78]. Two other lower intensity peaks were associated with the presence of Cu4 at 74.926° [80], and Fe4 at 51.575° [78]. The lower intensity peaks from all these identified elements are part of the composition of the copper-based powder deposited on the substrate. The polymeric substrate as in the previous samples revealed the presence of the compound O16H96C48 [71], which was previously reported.
- -
- The HD PLA Green HD substrate (Figure 5b) revealed two major peaks corresponding to Fe4 crystallization at 51.575°, 75.209 [78], and Cu4 at the same 2θ angle as the PLA substrate sample, 74.926° [80]. The peaks at 45.199° and 44.740° correspond to the present Al4 and Fe4 [78]. The compound O16H96C48 [71] is also found in this analyzed substrate.
3.5. Friction Coefficient Determination
3.6. Scratch Analysis
3.7. Surface Roughness Analysis
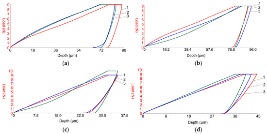
3.8. Micro-Indentation Test
4. Conclusions
- -
- The PLA + Metco 51F-NS and PLA + Metco 445 samples show similar thermal behaviors, but with notable differences in the values of the glass transition point (Tg) and melting points. The samples showed a relaxation peak followed by a melting point, which is higher for Metco 51F-NS (155.8 °C with 19.34 J/g absorbed) compared to Metco 445 (152.6 °C with 17.48 J/g absorbed). These differences are attributed to the interaction of the PLA substrate with the copper powder layers. The coated HD PLA Green substrates exhibit distinct behaviors depending on the powder used. Metco 51F-NS leads to a molecular reorientation that eliminates the melting point in the analyzed temperature range, while Metco 445 allows for the identification of a clear melting point at a significantly higher temperature. These differences emphasize the influence of powders on the thermal properties of substrates.
- -
- The calorimetric and thermogravimetric analyses indicate that the deposition of the thin layer of copper-based metal micropowder does not affect the thermal stability of the material. Most of the coated samples show a main degradation stage between 321 °C and 335 °C, associated with significant mass loss (74–90%), due to the structural degradation of PLA/HD PLA Green. At 700 °C, a residual mass remains, which includes metal components that have not reached their melting points (e.g., copper, aluminum, iron).
- -
- The PLA substrate is more suitable for thicker and better integrated layers due to its softness and its ability to allow deep penetration of metal particles. The HD PLA Green substrate, being stiffer, provides thinner and more impact-resistant layers, but limits compact metal bonds due to the polymer film formed at the interface. The substrate choice depends on the desired application, balancing layer thickness with structural strength and uniformity.
- -
- Depositions of copper-based composite powders (Metco 51F-NS and Metco 445) generate similar crystalline structures on the PLA and HD PLA Green substrates, but the intensity and nature of crystallization varies with the substrate. The PLA substrate, being softer, favors a more intense crystallization, whereas the stiffer HD PLA Green substrate causes variations in crystalline intensity and distribution, suggesting a different interaction between the deposited layer and the substrate.
- -
- PLA and HD PLA Green show different behaviors in the scratch test due to their mechanical properties. PLA, being softer, allows for a higher adhesion of metal particles, while HD PLA Green, being stiffer, resists penetration more, but maintains a good uniformity of the deposited layer. In both cases, the Metco 445 powder, due to its larger particle size, tends to give higher A-COF values, suggesting quality adhesion.
- -
- The coating of the PLA and HD PLA Green materials with copper particles has increased the efficiency of the coefficient of friction by improving surface texture, stabilizing mechanical interaction, and reducing slip, providing superior and reliable tribological performance in industrial applications.
- -
- The PLA substrate demonstrates a higher permittivity for adhesion of coatings, indicated by high mean roughness values, but with significant variations (large standard deviation), reflecting a less uniform surface.
- -
- The PLA and HD PLA Green substrates show similar behaviors in micro-indentation tests, but differences in mechanical properties influence the lamination results. Metco 445 generates harder and stiffer surfaces due to its larger particles and more uniform distribution and is more effective for achieving a tough surface. In contrast, Metco 51F-NS provides deeper penetration and filling of internal substrate spaces but results in softer surfaces. HD PLA Green provides a more stable and penetration-resistant base than PLA, but both substrates benefit significantly from the improved properties of the metal coating.
Author Contributions
Funding
Data Availability Statement
Conflicts of Interest
References
- Dizon, J.R.C.; Gache, C.C.L.; Cascolan, H.M.S.; Cancino, L.T.; Advincula, R.C. Post-Processing of 3D-Printed Polymers. Technologies 2021, 9, 61. [Google Scholar] [CrossRef]
- Žigon, J.; Kariž, M.; Pavlič, M. Surface Finishing of 3D-Printed Polymers with Selected Coatings. Polymers 2020, 12, 2797. [Google Scholar] [CrossRef] [PubMed]
- Wu, J.-Z.; Bouwman, E.; Reedijk, J. Chelating ligands as powerful additives to manganese driers for solvent-borne and water-borne alkyd paints. Prog. Org. Coat. 2004, 49, 103–108. [Google Scholar] [CrossRef]
- Rintz, R.A. Adhesion to Plastics; Molding and Paintability: Polymer Surfaces and Interfaces, 1st ed.; Global Press: Chicago, IL, USA, 1998; p. 255. [Google Scholar]
- Lanzetta, M.; Sachs, E. Improved surface finish in 3D printing using bimodal powder distribution. Rapid Prototyp. J. 2003, 9, 157–166. [Google Scholar] [CrossRef]
- Kumbhar, N.N.; Mulay, A.V. Post processing methods used to improve surface finish of products which are manufactured by additive manufacturing technologies: A review. J. Inst. Eng. India Ser. C 2018, 99, 481–487. [Google Scholar] [CrossRef]
- Sauerbier, P.; Köhler, R.; Renner, G.; Militz, H. Surface activation of polylactic acid-based wood-plastic composite by atmospheric pressure plasma treatment. Materials 2020, 13, 4673. [Google Scholar] [CrossRef]
- Lu, Z.; Myoung, S.W.; Kim, E.H.; Lee, J.; Hand Jung, Y.G. Microstructure evolution and thermal durability with coating thickness in APS thermal barrier coatings. Mater. Today Proc. 2014, 1, 35–43. [Google Scholar] [CrossRef]
- Matikainen, V.; Bolelli, G.; Koivuluoto, H.; Sassatelli, P.; Lusvarghi, L.; Vuoristo, P. Sliding wear behaviour of HVOF and HVAF sprayed Cr3C2-based coatings. Wear 2017, 388–389, 57–71. [Google Scholar] [CrossRef]
- Suarez, M.; Bellayer, S.; Traisnel, M.; Gonzalez, W.; Chicot, D.; Lesage, J.; Puchi-Cabrera, E.S.; Staia, M.H. Corrosion behavior of Cr3C2–NiCr vacuum plasma sprayed coatings. Surf. Coat. Technol. 2008, 202, 4566–4571. [Google Scholar] [CrossRef]
- Gariboldi, E.; Rovatti, L.; Lecis, N.; Mondora, L.; Mondora, G.A. Tribological and mechanical behaviour of Cr3C2–NiCr thermally sprayed coatings after prolonged aging. Surf. Coat. Technol. 2016, 305, 83–92. [Google Scholar] [CrossRef]
- Tsui, Y.C.; Clyne, T.W. An analytical model for predicting residual stresses in progressively deposited coatings Part 2: Cylindrical geometry. Thin Solid Films 1997, 306, 23–33. [Google Scholar] [CrossRef]
- Mărguță, A.; Mazurchevici, S.-N.; Nedelcu, D. Coated Polymers—A Review. Int. J. Mod. Manuf. Technol. 2022, XIV, 128–144. [Google Scholar] [CrossRef]
- Safavi, M.S.; Walsh, F.C.; Surmeneva, M.A.; Surmenev, R.A.; Khalil-Allafi, J. Electrodeposited Hydroxyapatite-Based Biocoatings: Recent Progress and Future Challenges. Coatings 2021, 11, 110. [Google Scholar] [CrossRef]
- Kim, K.; Kim, W. Effect of Heat Treatment on Microstructure and Thermal Conductivity of Thermal Barrier Coating. Materials 2021, 14, 7801. [Google Scholar] [CrossRef]
- Salavati-Niasari, M.; Davar, F.; Mir, N. Synthesis and characterization of metallic copper nanoparticles via thermal decomposition. Polyhedron 2008, 27, 3514–3518. [Google Scholar] [CrossRef]
- Kulkarni, A.; Frettlöh, V. Simulation of CVD Process in a Reactor. In Proceedings of the 2018 COMSOL Conference, Lausanne, Switzerland, 22–24 October 2018; pp. 1–6. Available online: https://www.comsol.com/paper/download/571561/kulkarni_paper.pdf (accessed on 15 September 2024).
- Priyadarshini, B.; Rama, M.; Chetan; Vijayalakshmi, U. Bioactive coating as a surface modification technique for biocompatible metallic implants: A review. J. Asian Ceram. Soc. 2019, 7, 397–406. [Google Scholar] [CrossRef]
- Musztyfaga-Staszuk, M.; Czupryński, A.; Kciuk, M. Investigation of mechanical and anti-corrosion properties of flame sprayed coatings. Adv. Mater. Sci. 2018, 18, 42–53. [Google Scholar] [CrossRef]
- Metallizing Equipment Co. Pvt. Ltd. Available online: https://www.mecpl.com/ (accessed on 28 June 2020).
- Shokri, Z.; Seidi, F.; Saeb, M.R.; Jin, Y.; Li, C.; Xiao, H. Elucidating the impact of enzymatic modifications on the structure, properties, and applications of cellulose, chitosan, starch and their derivatives: A review. Mater Today Chem. 2022, 24, 100780. [Google Scholar] [CrossRef]
- Saadati, A.; Hasanzadeh, M.; Seidi, F. Biomedical application of hyperbranched polymers: Recent advances and challenges. TrAC Trends Anal. Chem. 2021, 142, 116308. [Google Scholar] [CrossRef]
- Seidi, F.; Arabi Shamsabadi, A.; Ebadi Amooghin, A.; Saeb, M.R.; Xiao, H.; Jin, Y.; Rezakazemi, M. Biopolymer-based membranes from polysaccharides for CO2 separation: A review. Environ. Chem. Lett. 2022, 20, 1083–1128. [Google Scholar] [CrossRef]
- Joseph, T.M.; Kallingal, A.; Suresh, A.M.; Mahapatra, D.K.; Hasanin, M.S.; Haponiuk, J.; Thomas, S. 3D printing of polylactic acid: Recent advances and opportunities. Int. J. Adv. Manuf. Technol. 2023, 125, 1015–1035. [Google Scholar] [CrossRef]
- Hasanin, M.; Al Abboud, M.A.; Alawlaqi, M.M.; Abdelghany, T.M.; Hashem, A.H. Ecofriendly synthesis of biosynthesized copper nanoparticles with starch-based nanocomposite: Antimicrobial, antioxidant, and anticancer activities. Biol. Trace Elem. Res. 2022, 200, 2099–2112. [Google Scholar] [CrossRef] [PubMed]
- Kordasht, H.K.; Hasanzadeh, M.; Seidi, F.; Alizadeh, P.M. Poly (amino acids) towards sensing: Recent progress and challenges. TrAC Trends Anal. Chem. 2021, 140, 116279. [Google Scholar] [CrossRef]
- Seidi, F.; Zhao, W.; Xiao, H.; Jin, Y.; Reza Saeb, M.; Zhao, C. Radical polymerization as a versatile tool for surface grafting of thin hydrogel films. Polym. Chem. 2020, 11, 4355–4381. [Google Scholar] [CrossRef]
- Seidi, F.; Crespy, D. Fighting corrosion with stimuli-responsive polymer conjugates. Chem. Commun. 2020, 56, 11931–11940. [Google Scholar] [CrossRef] [PubMed]
- Mazurchevici, S.-N.; Vaideanu, D.; Rapp, D.; Varganici, C.-D.; Cărăușu, C.; Boca, M.; Nedelcu, D. Dynamic Mechanical Analysis and Thermal Expansion of Lignin-Based Biopolymers. Polymers 2021, 13, 2953. [Google Scholar] [CrossRef] [PubMed]
- Mazurchevici, S.-N.; Marguta, A.; Istrate, B.; Benchea, M.; Boca, M.; Nedelcu, D. Improvements of Arboblend V2 Nature Characteristics through Depositing Thin Ceramic Layers. Polymers 2021, 13, 3765. [Google Scholar] [CrossRef]
- Thompson, R.C.; Moore, C.J.; vom Saal, F.S.; Swan, S.H. Plastics, the environment and human health: Current consensus and future trends. Philos. Trans. R. Soc. B Biol. Sci. 2009, 364, 2153–2166. [Google Scholar] [CrossRef]
- Carus, M. Bio-Based Building Blocks and Polymers—Global Capacities, Production and Trends 2019–2024, Renew. Carbon Publ. (n.d.). Available online: https://renewable-carbon.eu/publications/product/bio-based-building-blocks-and-polymers-global-capacities-production-and-trends-2019-2024/ (accessed on 15 September 2024).
- Sun, G.; He, X.; Jiang, J.; Yue, S. Parametric study of Al and Al2O3 ceramic coatings deposited by air plasma spray onto polymer substrate. Appl. Surf. Sci. 2011, 257, 7864. [Google Scholar] [CrossRef]
- Ganesan, A.; Affi, J.; Yamada, M.; Fukumoto, M. Bonding Behavior Studies of Cold Sprayed Copper Coating on the PVC Polymer Substrate. Surf. Coat. Technol. 2012, 207, 262–269. [Google Scholar] [CrossRef]
- Huang, W.; Gan, X.; Zhu, L. Fabrication and property of novel double-layer coating deposited on polyimide matrix composites by atmospheric plasma spraying. Ceram. Int. 2018, 44, 5473–5485. [Google Scholar] [CrossRef]
- King, P.C.; Poole, A.J.; Horne, S.; de Nys, R.; Gulizia, S.; Jahedi, M.Z. Embedment of Copper Particles into Polymers by Cold Spray. Surf. Coat. Technol. 2013, 216, 60–67. [Google Scholar] [CrossRef]
- Huang, W.; Zhao, Y.; Fan, X.; Meng, X.; Wang, Y.; Cai, X.; Cao, X.; Wang, Z. Effect of bond coats on thermal shock resistance of thermal barrier coatings deposited onto polymer matrix composites via air plasma spray process. J. Therm. Spray Technol. 2013, 22, 918. [Google Scholar] [CrossRef]
- Zhu, L.; Huang, W.; Cheng, H.; Cao, X. Thermal shock resistance of stabilized zirconia/metal coat on polymer matrix composites by thermal spraying process. J. Therm. Spray Technol. 2014, 23, 1312. [Google Scholar] [CrossRef]
- Huang, W.; Fan, X.; Zhao, Y.; Zhou, X.; Meng, X.; Wang, Y.; Zou, B.; Cao, X.; Wang, Z. Fabrication of thermal barrier coatings onto polyimide matrix composites via air plasma spray process. Surf. Coat. Technol. 2012, 207, 421. [Google Scholar] [CrossRef]
- Huang, W.; Cheng, H.; Zhang, C.; Zhou, Y.; Cao, X. Thermal ablation of stabilized zirconia/metal coated polyimide matrix composites via plasma spray process. Plasma Chem. Plasma Process. 2015, 35, 587. [Google Scholar] [CrossRef]
- Huang, W.; Cheng, H.; Zhou, Y. Oxidation behavior of plasma-sprayed stabilized zirconia/Al coated polymer matrix composites. RSC Adv. 2015, 5, 72331. [Google Scholar] [CrossRef]
- Dragomir-Stanciu, D.; Oprişan, C.; Ianuş, G.; Crîşmaru, I.V. Study of the Influence of Ceramic Thermal Coating on the Mechanical Resistance of the Blades of Aircraft Engines. Procedia Technol. 2014, 12, 329–333. [Google Scholar] [CrossRef]
- Koivuluoto, H. A Review of Thermally Sprayed Polymer Coatings. J. Therm. Spray Technol. 2022, 31, 1750–1764. [Google Scholar] [CrossRef]
- Lupoi, R.; O’Neill, W. Deposition of Metallic Coatings on Polymer Surfaces Using Cold Spray. Surf. Coat. Technol. 2010, 205, 2167–2173. [Google Scholar] [CrossRef]
- King, R.B. Elastic analysis of some punch problems for a layered medium. Int. J. Solids Struct. 1987, 23, 1657–1664. [Google Scholar] [CrossRef]
- Saha, R.; Nix, W.D. Effects of the substrate on the determination of thin film mechanical properties by nanoindentation. Acta Mater. 2002, 50, 23–38. [Google Scholar] [CrossRef]
- Chen, S.; Xiang, J.; Huang, J.; Zhao, X. Microstructures and properties of doubleceramic-layer thermal barrier coatings of La2(Zr0.7Ce0.3)2O7/8YSZ made by atmospheric plasma spraying. Appl. Surf. Sci. 2015, 340, 173–181. [Google Scholar] [CrossRef]
- Chu, X.; Che, H.; Yue, S. Understanding the cold spray deposition characteristics of mixed metal powders. MRS Adv. 2019, 4, 2989–2995. [Google Scholar] [CrossRef]
- Bortolussi, V.; Borit, F.; Chesnaud, A.; Jeandin, M.; Faessel, M.; Figliuzzi, B.; Willot, F.; Roche, K.; Surdon, G. Cold spray of metal-polymer composite coatings onto Carbon Fiber-Reinforced Polymer (CFRP). Proc. Int. Therm. Spray Conf. 2016, 1, 437–443. [Google Scholar]
- Stoltenhoff, T.; Kreye, H.; Richter, H.J. An analysis of the Cold Spray Process and its Coatings. J. Therm. Spray Technol. 2002, 11, 542–550. [Google Scholar] [CrossRef]
- Che, H.; Chu, X.; Vo, P.; Yue, S. Cold spray of mixed metal powders on carbon fibre reinforced polymers. Surf. Coat. Technol. 2017, 329, 232–243. [Google Scholar] [CrossRef]
- Koivuluoto, H.; Vuoristo, P. Effect of powder type and composition on structure and mechanical properties of Cu+ Al2O3 coatings prepared by using low-pressure cold spray process. J. Therm. Spray Technol. 2010, 19, 1081–1092. [Google Scholar] [CrossRef]
- Rokni, M.R.; Feng, P.; Widener, C.A.; Nutt, S.R. Depositing al-based metallic coatings onto polymer substrates by cold spray. J. Therm. Spray Technol. 2019, 28, 1699–1708. [Google Scholar] [CrossRef]
- Ganesan, A.; Yamada, M.; Fukumoto, M. Cold Spray Coating Deposition Mechanism on the Thermoplastic and Thermosetting Polymer Substrates. J. Therm. Spray Technol. 2013, 22, 1275–1282. [Google Scholar] [CrossRef]
- Gardon, M.; Latorre, A.; Torrell, M.; Dosta, S.; Fernandez, J.; Guilemany, J.M. Cold Gas Spray Titanium Coatings onto a Biocompatible Polymer. Mater. Lett. 2013, 106, 97–99. [Google Scholar] [CrossRef]
- Louden, J.D. Crystallinity in poly(aryl ether ketone) films studied by raman-spectroscopy. Polym. Commun. 1986, 27, 82–84. [Google Scholar]
- Małachowska, A.; Winnicki, M.; Stachowicz, M.; Korzeniowski, M. Metallisation of polycarbonates using a low pressure cold spray method. Surf. Eng. 2018, 34, 251–258. [Google Scholar] [CrossRef]
- Koithara, L.L.; Raoelison, R.N.; Costil, S.; Xie, X. High deposition efficiency and delamination issuesduring high-pressure cold spraying metallization of PEEK usingspherical copper powders. Int. J. Adv. Manuf. Technol. 2020, 107, 4427–4436. [Google Scholar] [CrossRef]
- Beydon, R.; Bernhart, G.; Segui, Y. Measurement of metallic coatings adhesion to fibre reinforced plastic materials. Surf. Coat. Technol. 2000, 126, 39–47. [Google Scholar] [CrossRef]
- Ganesan, A.; Yamada, M.; Fukumoto, M. The Effect of CFRP Surface Treatment on the Splat Morphology and Coating Adhesion Strength. In Proceedings of the International Thermal Spray Conference 2013, Busan, Republic of Korea, 13–15 May 2013; pp. 236–244. [Google Scholar]
- Oerlikon Metco–Materials and Surface Solutions. Available online: https://www.oerlikon.com/metco/en/ (accessed on 25 September 2024).
- Mazurchevici, S.-N.; Pricop, B.; Istrate, B.; Mazurchevici, A.-D.; Carlescu, V.; Carausu, C.; Nedelcu, D. Technological parameters effects on mechanical properties of biodegradable materials using FDM. Mater. Plast. 2020, 57, 215–227. [Google Scholar] [CrossRef]
- Wagner, M. (Ed.) Thermal Analysis in Practice, Fundamental Aspects; Technology & Engineering; Carl Hanser Verlag GmbH & Company KG: München, Germany, 2017; ISBN 978-1-56990-643-9. [Google Scholar] [CrossRef]
- Prieur, B.; Meub, M.; Wittemann, M.; Klein, R.; Bellayer, S.; Fontaine, G.; Bourbigot, S. Phosphorylation of lignin: Characteri-zation and investigation of the thermal decomposition. RSC Adv. 2017, 7, 16866–16877. [Google Scholar] [CrossRef]
- Chien, Y.C.; Liang, C.; Liu, S.H.; Yang, S.H. Combustion Kinetics and Emission Characteristics of Polycyclic Aromatic Hydrocarbons from Polylactic Acid Combustion. J. Air Waste Manag. Assoc. 2012, 60, 849–855. [Google Scholar] [CrossRef]
- Mazurchevici, S.-N.; Motaș, J.G.; Diaconu, M.; Lisa, G.; Lohan, N.M.; Glod, M.; Nedelcu, D. Nanocomposite Biopolymer Arboblend V2 Nature AgNPs. Polymers 2021, 13, 2932. [Google Scholar] [CrossRef]
- Mofokeng, J.P.; Luyt, A.S.; Tabi, T.; Kovacs, J. Comparison of injection moulded, natural fibre-reinforced composites with PP and PLA as matrices. J. Thermoplast. Compos. Mater. 2011, 25, 927–948. [Google Scholar] [CrossRef]
- Brebu, M.; Vasile, C. Thermal degradation of lignin—A review. Cell Chem. Technol. 2010, 44, 353–363. [Google Scholar]
- Sameni, J.; Krigstin, S.; Rosa, D.d.S.; Leao, A.; Sain, M. Thermal Characteristics of Lignin Residue from Industrial Processes. BioResources 2014, 9, 725–737. [Google Scholar] [CrossRef]
- Benwood, C.; Anstey, A.; Andrzejewski, J.; Misra, M.; Mohanty, A.K. Improving the Impact Strength and Heat Resistance of 3D Printed Models: Structure, Property, and Processing Correlationships during Fused Deposition Modeling (FDM) of Poly(Lactic Acid). ACS Omega 2018, 3, 4400–4411. [Google Scholar] [CrossRef]
- Lloyd, M.A.; Patterson, G.E.; Simpson, G.H.; Duncan, L.L.; King, D.P.; Fu, Y.; Patrick, B.O.; Parkin, S.; Brock, C.P. Solid-state compounds of stereoisomers: Cis and trans isomers of 1, 2-cyclohexanediol and 2, 3-tetralindiol. Acta Crystallogr. Sect. B 2007, 63, 433–447. [Google Scholar] [CrossRef] [PubMed]
- Romming, C.; Hansen, V.; Gjonnes, J. Crystal structure of β-Al4. 5FeSi. Acta Crystallogr. Sect. B 1994, 50, 307–312. [Google Scholar] [CrossRef]
- Fernandez-Martinez, A.; Timon, V.; Roman-Ross, G.; Cuello, G.J.; Daniels, J.E.; Ayora, C. The structure of schwertmannite, a nanocrystalline iron oxyhydroxysulfate. Am. Mineral. 2010, 95, 1312–1322. [Google Scholar] [CrossRef]
- Ollivier, B.; Retoux, R.; Lacorre, P.; Massiot, D.; Ferey, G. Crystal structure of κ-alumina: An X-ray powder diffraction, TEM and NMR study. J. Mater. Chem. 1997, 7, 1049–1056. [Google Scholar] [CrossRef]
- Clarke, S.; Rutt, O.J.; Williams, G.R. Reversible lithium insertion and copper extrusion in layered oxysulfides. Chem. Commun. 2006, 27, 2869–2871. [Google Scholar]
- Meetsma, A.; de Boer, J.L.; van Smaalen, S. Refinement of the crystal structure of tetragonal Al2Cu. J. Solid State Chem. 1989, 83, 370–372. [Google Scholar] [CrossRef]
- Woodward, P.M.; Suard, E.; Karen, P. Structural tuning of charge, orbital, and spin ordering in double-cell perovskite series between NdBaFe2O5 and HoBaFe2O5. J. Am. Chem. Soc. 2003, 125, 8889–8899. [Google Scholar] [CrossRef] [PubMed]
- Woodward, P.M.; Karen, P. Mixed valence in YBaFe2O5. Inorg. Chem. 2003, 42, 1121–1129. [Google Scholar] [CrossRef] [PubMed]
- Wyckoff, R.W.G. Crystal Structures; Interscience publishers: New York, NY, USA, 1963; Volume 1, pp. 290–295. [Google Scholar]
- Fortes, A.D.; Suard, E.; Lemee-Cailleau, M.-H.; Pickard, C.J.; Needs, R.J. Crystal structure of ammonia monohydrate phase II. J. Am. Chem. Soc. 2009, 131, 13508–13515. [Google Scholar] [CrossRef]
- Mazurchevici, A.-D.; Popa, R.I.; Carausu, C.; Mazurchevici, S.-N.; Nedelcu, D. Advances in Manufacturing Processes; Dave, H.K., Nedelcu, D., Eds.; Lecture Notes in Mechanical Engineering; Springer: Singapore, 2021. [Google Scholar]










| Exp. No. | Coating (Powder) | Substrate | Number of Passes | Distance (mm) |
|---|---|---|---|---|
| 1 | Metco 51F-NS | PLA | 3 | 130 |
| HD PLA Green | ||||
| 2 | Metco 51F-NS | PLA | 4 | 130 |
| HD PLA Green | ||||
| 3 | Metco 51F-NS | PLA | 3 | 130 |
| HD PLA Green | ||||
| 4 | Metco 445 | PLA | 4 | 130 |
| HD PLA Green | ||||
| 5 | Metco 445 | PLA | 3 | 130 |
| HD PLA Green | ||||
| 6 | Metco 445 | PLA | 4 | 130 |
| HD PLA Green |
| Sample | Glass Transition [°C] | Melting Point [°C] | ||||
|---|---|---|---|---|---|---|
| Tstart | Tpeak | Tend | ΔCp* [J/(g*K)] | Tpeak | ΔH/m [J/g] | |
| PLA + Metco 51F-NS | 58.5 | 60.4 | 61.4 | 0.320 | 155.8 | 19.34 |
| PLA + Metco 445 | 57.0 | 57.1 | 60.1 | 0.524 | 152.6 | 17.48 |
| HD PLA Green + Metco 51F-NS | 70.2 | 71.5 | 73.2 | 0.497 | - | - |
| HD PLA Green + Metco 445 | 57.1 | 62.2 | 64.7 | 0.244 | 180.5 | 31.71 |
| Sample | Tstart [°C] | Tpeak [°C] | Tend [°C] | Ma [%] | DTA Characteristic | Reziduu [mg] |
|---|---|---|---|---|---|---|
| PLA + Metco 51F-NS | 293.82 | 334.60 | 352.83 | 90.80 | exo | 4.08 |
| PLA + Metco 445 | 283.60 | 321.39 | 338.25 | 74.40 | exo | 3.64 |
| HD PLA Green + Metco 51F-NS | 400.27 | 432.87 | 461.70 | 77.35 | exo | 3.74 |
| HD PLA Green + Metco 445 | 279.40 | 326.99 | 341.34 | 83 | exo | 3.70 |
| Sample | COF Average Value | Max COF |
|---|---|---|
| PLA + Metco 51F-NS | 0.416 ± 0.07 | 0.556 |
| PLA + Metco 445 | 0.449 ± 0.07 | 0.656 |
| HD PLA Green + Metco 51F-NS | 0.515 ± 0.06 | 0.652 |
| HD PLA Green + Metco 445 | 0.464 ± 0.08 | 0.665 |
| Coating (Powder) | Substrate | A-COF Medium | A-COF Maximum | Time of A-COF Maximum [s] | Ff (A-COF Max) [N] |
|---|---|---|---|---|---|
| Metco 51F-NS | PLA | 1.20 ± 0.95 | 2.8 | 47.93 | 22.05 |
| HD PLA Green | 0.87 ± 0.70 | 2.19 | 57.55 | 21 | |
| Metco 445 | PLA | 0.51 ± 0.29 | 1.41 | 59.94 | 14.02 |
| HD PLA Green | 0.61 ± 0.79 | 3.43 | 8.12 | 8.63 |
| Sample | Slice | Ra (µm) | Sample | Slice | Ra (µm) |
|---|---|---|---|---|---|
| PLA + Metco 51F-NS | 1 | 4.36 | HD PLA Green + Metco 51F-NS | 1 | 0.76 |
| 2 | 2.24 | 2 | 0.58 | ||
| 3 | 2.86 | 3 | 0.51 | ||
| Average | - | 3.15 ± 1.09 | Average | 0.62 ± 0.13 | |
| PLA + Metco 445 | 1 | 4.25 | HD PLA Green + Metco 445 | 1 | 0.271 |
| 2 | 0.72 | 2 | 1.321 | ||
| 3 | 0.86 | 3 | 0.420 | ||
| Average | - | 1.93 ± 2.01 | Average | 0.671 ± 0.568 |
| Material | Sample No. | Maximum Load (N) | Maximum Depth (µm) | Young’s Modulus (GPa) | Microhardness (GPa) |
|---|---|---|---|---|---|
| PLA + Metco 51F-NS | 1 | 8.937 | 78.460 | 2.992 | 0.0881 |
| 2 | 8.891 | 82.514 | 3.663 | 0.0793 | |
| 3 | 8.917 | 74.391 | 3.209 | 0.0949 | |
| Average | 8.915 ± 0.023 | 78.455 ± 4.061 | 3.288 ± 0.342 | 0.0874 ± 0.007 | |
| HD PLA Green + Metco 51F-NS | 1 | 8.940 | 91.746 | 1.948 | 0.0719 |
| 2 | 8.963 | 86.654 | 2.157 | 0.0783 | |
| 3 | 8.936 | 98.816 | 1.955 | 0.0632 | |
| Average | 8.946 ± 0.014 | 92.405 ± 6.108 | 2.02 ± 0.118 | 0.0711 ± 0.007 | |
| PLA + Metco 445 | 1 | 8.959 | 35.261 | 5.429 | 0.2568 |
| 2 | 8.997 | 33.572 | 6.371 | 0.2666 | |
| 3 | 8.979 | 41.261 | 5.133 | 0.2119 | |
| Average | 8.978 ± 0.019 | 36.698 ± 4.041 | 5.644 ± 0.646 | 0.2451 ± 0.029 | |
| HD PLA Green + Metco 445 | 1 | 8.997 | 31.603 | 5.749 | 0.2926 |
| 2 | 8.976 | 35.230 | 6.171 | 0.2518 | |
| 3 | 8.979 | 41.261 | 5.133 | 0.2119 | |
| Average | 8.984 ± 0.011 | 36.031 ± 4.878 | 5.684 ± 0.522 | 0.252 ± 0.04 |
Disclaimer/Publisher’s Note: The statements, opinions and data contained in all publications are solely those of the individual author(s) and contributor(s) and not of MDPI and/or the editor(s). MDPI and/or the editor(s) disclaim responsibility for any injury to people or property resulting from any ideas, methods, instructions or products referred to in the content. |
© 2025 by the authors. Licensee MDPI, Basel, Switzerland. This article is an open access article distributed under the terms and conditions of the Creative Commons Attribution (CC BY) license (https://creativecommons.org/licenses/by/4.0/).
Share and Cite
Feraru, M.; Mazurchevici, S.-N.; Lohan, N.-M.; Benchea, M.; Lupu, F.C.; Nedelcu, D. Tribological and Structural Properties of Copper-Coated 3D-Printed Parts from Biodegradable Polymers. Micromachines 2025, 16, 100. https://doi.org/10.3390/mi16010100
Feraru M, Mazurchevici S-N, Lohan N-M, Benchea M, Lupu FC, Nedelcu D. Tribological and Structural Properties of Copper-Coated 3D-Printed Parts from Biodegradable Polymers. Micromachines. 2025; 16(1):100. https://doi.org/10.3390/mi16010100
Chicago/Turabian StyleFeraru (Ilie), Mihaela, Simona-Nicoleta Mazurchevici, Nicoleta-Monica Lohan, Marcelin Benchea, Fabian Cezar Lupu, and Dumitru Nedelcu. 2025. "Tribological and Structural Properties of Copper-Coated 3D-Printed Parts from Biodegradable Polymers" Micromachines 16, no. 1: 100. https://doi.org/10.3390/mi16010100
APA StyleFeraru, M., Mazurchevici, S.-N., Lohan, N.-M., Benchea, M., Lupu, F. C., & Nedelcu, D. (2025). Tribological and Structural Properties of Copper-Coated 3D-Printed Parts from Biodegradable Polymers. Micromachines, 16(1), 100. https://doi.org/10.3390/mi16010100

