Contact Hole Shrinkage: Simulation Study of Resist Flow Process and Its Application to Block Copolymers
Abstract
1. Introduction
2. Simulation Methods
2.1. Surface Evolver (SE) Method
2.2. Finite Element Method (FEM)
2.3. Orthogonal Fitting Functions
2.4. Deep Learning and Machine Learning
2.5. Self-Consistent Field Theory (SCFT)
3. Experiment
4. Results and Discussion
4.1. Surface Evolver (SE)
4.2. The Results of the Finite Element Method (FEM)
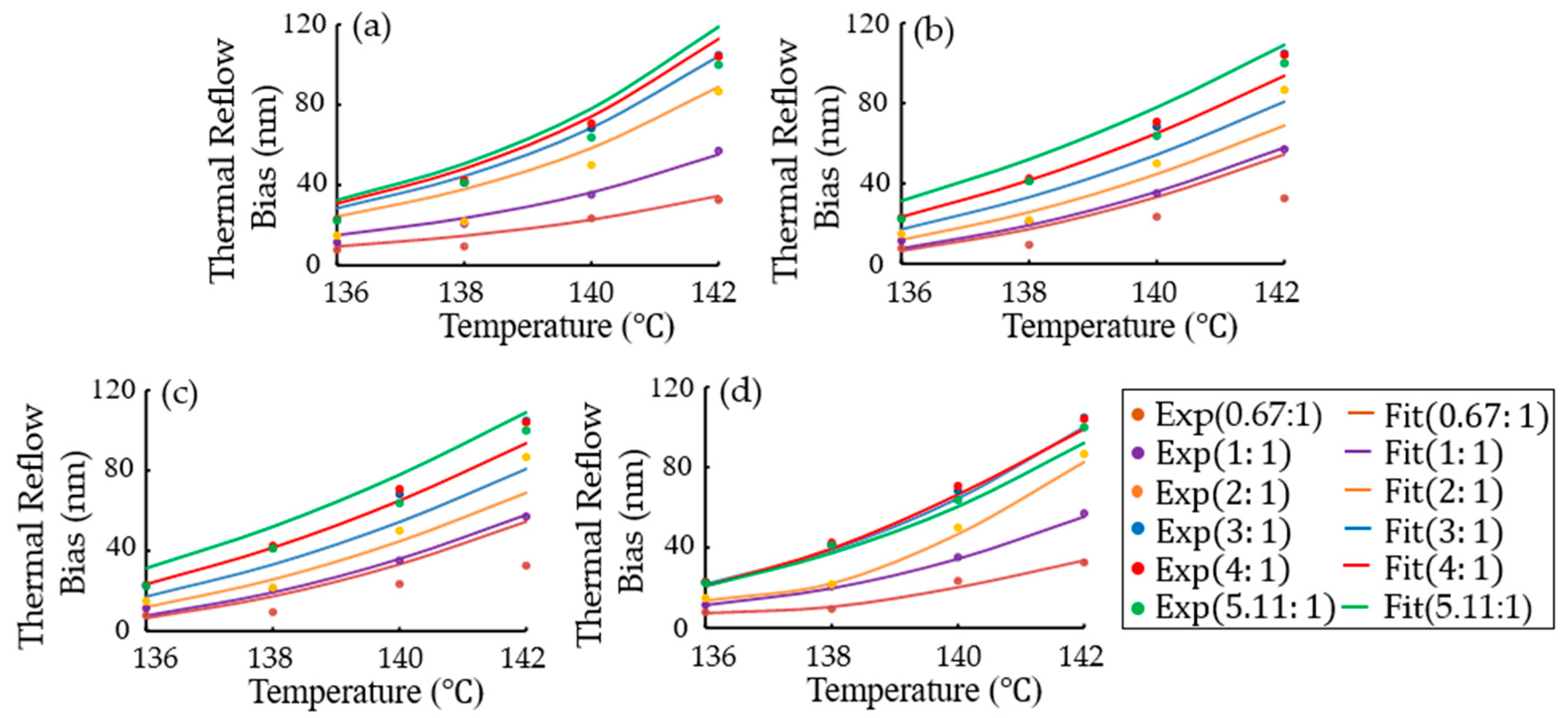
4.3. Results of Orthogonal Fitting Functions and Deep Learning
4.4. Results of Self-Consistent Field Theory (SCFT)
5. Conclusions
Funding
Data Availability Statement
Conflicts of Interest
References
- Service, R.F. Optical lithography goes to extremes-and beyond. Science 2001, 293, 785–786. [Google Scholar] [CrossRef] [PubMed]
- Randall, J.N.; Owen, J.H.G.; Lake, J.; Fuchs, E. Next generation of extreme-resolution electron beam lithography. J. Vac. Sci. Technol. B 2019, 37, 061605. [Google Scholar] [CrossRef]
- Claveau, G.; Quemere, P.; Argoud, M.; Hazart, J.; Barros, P.P.; Sarrazin, A.; Posseme, N.; Tiron, R.; Chevalier, X.; Nicolet, C.; et al. Surface affinity role in graphoepitaxy of lamellar block copolymers. J. Micro/Nanolithogr. MEMS MOEMS 2016, 15, 031604. [Google Scholar] [CrossRef]
- Cheng, J.Y.; Rettner, C.T.; Sanders, D.P.; Kim, H.-C.; Hinsberg, W.D. Dense self-assembly on sparse chemical patterns: Rectifying and multiplying lithographic patterns using block copolymers. Adv. Mater. 2008, 20, 3155–3158. [Google Scholar] [CrossRef]
- Seisyan, R.P. Nanolithography in microelectronics: A review. Tech. Phys. 2011, 56, 1061–1073. [Google Scholar] [CrossRef]
- Li, L.; Liu, X.; Pal, S.; Wang, S.; Ober, C.K.; Giannelis, E.P. Extreme ultraviolet resist materials for sub-7 nm patterning. Chem. Soc. Rev. 2017, 46, 4855–4866. [Google Scholar] [CrossRef] [PubMed]
- Wu, B.; Kumar, A. Extreme ultraviolet lithography and three dimensional integrated circuit—A review. Appl. Phys. Rev. 2014, 1, 011104. [Google Scholar] [CrossRef]
- Park, S.; Lee, D.H.; Xu, J.; Kim, B.; Hong, S.W.; Jeong, U.; Xu, T.; Russell, T.P. Macroscopic 10-terabit–per–square-inch arrays from block copolymers with lateral order. Science 2009, 323, 1030–1033. [Google Scholar] [CrossRef]
- Pinto-Gomez, C.; Perez-Murano, F.; Bausells, J.; Villanueva, L.G.; Fernandez-Regulez, M. Directed self-assembly of block copolymers for the fabrication of functional devices. Polymers 2020, 12, 2432. [Google Scholar] [CrossRef]
- Sekito, T.; Matsuura, Y.; Nagahara, T. Extension of 193 nm lithography by chemical shrink process. J. Photopolym Sci. Technol. 2016, 29, 761–764. [Google Scholar] [CrossRef][Green Version]
- Anhoj, T.A.; Jorgensen, A.M.; Zauner, D.A.; Hübner, J. The effect of soft bake temperature on the polymerization of SU-8 photoresist. J. Micromech. Microeng. 2006, 16, 1819–1824. [Google Scholar] [CrossRef]
- Mülders, T.; Henke, W.; Elian, K.; Nölscher, C.; Sebald, M. New stochastic post-exposure bake simulation method. J. Micro/Nanolithogr. MEMS MOEMS 2005, 4, 043010. [Google Scholar]
- Houle, F.A.; Hinsberg, W.D.; Sanchez, M.I. Kinetic model for positive tone resist dissolution and roughening. Macromolecules 2002, 35, 8591–8600. [Google Scholar] [CrossRef]
- Kim, J.-S.; Jung, J.-C.; Lee, G.; Jung, M.-H.; Baik, K.-H. The extension of optical lithography to define contact holes required at advanced giga-bit-scale integration. J. Photopolym. Sci. Technol. 2000, 13, 471–476. [Google Scholar] [CrossRef]
- Yang, X.; Gentile, H.; Eckert, A.; Brankovic, S.R. Electron-beam SAFIER™ process and its application for magnetic thin-film heads. J. Vac. Sci. Technol. B 2004, 22, 3339–3343. [Google Scholar] [CrossRef]
- Terai, M.; Kumada, T.; Ishibashi, T.; Hanawa, T. Newly developed resolution enhancement lithography assisted by chemical shrink process and materials for next-generation devices. Jpn. J. Appl. Phys. 2006, 45, 5354–5358. [Google Scholar] [CrossRef]
- Padmanaban, M.; Kudo, T.; Lin, G.; Hong, S.; Nishibe, T.; Takano, Y. Contact hole resist solutions for 45–90 nm node design rules. J. Photopolym. Sci. Technol. 2004, 17, 489–496. [Google Scholar] [CrossRef]
- Chen, H.-L.; Ko, F.-H.; Li, L.-S.; Hsu, C.-K.; Chen, B.-C.; Chu, T.-C. Thermal flow and chemical shrink techniques for Sub-100 nm contact hole fabrication in electron beam lithography. Jpn. J. Appl. Phys. 2002, 41, 4163–4166. [Google Scholar] [CrossRef]
- Thallikar, G.; Liao, H.; Cale, T.S.; Myers, F.R. Experimental and simulation studies of thermal flow of borophosphosilicate and phosphosilicate glasses. J. Vac. Sci. Technol. B 1995, 13, 1875–1878. [Google Scholar] [CrossRef]
- Gong, S.; Shi, C.; Li, M. Flow performance and its effect on shape formation in PDMS assisted thermal reflow process. Appl. Sci. 2022, 12, 8282. [Google Scholar] [CrossRef]
- Kirchner, R.; Schleunitz, A.; Schift, H. Energy-based thermal reflow simulation for 3D polymer shape prediction using Surface Evolver. J. Micromech. Microeng. 2014, 24, 055010. [Google Scholar] [CrossRef]
- Brakke, K.A. Minimal surfaces, corners, and wires. J. Geom. Anal. 1992, 2, 11–36. [Google Scholar] [CrossRef]
- Sidorov, F.; Rogozhin, A. Thermal reflow simulation for PMMA structures with nonuniform viscosity profile. Polymers 2023, 15, 3731. [Google Scholar] [CrossRef] [PubMed]
- Alasfar, R.H.; Ahzi, S.; Barth, N.; Kochkodan, V.; Khraisheh, M.; Koç, M. A review on the modeling of the elastic modulus and yield stress of polymers and polymer nanocomposites: Effect of temperature, loading rate and porosity. Polymers 2022, 14, 360. [Google Scholar] [CrossRef]
- Kim, S.-K. Transverse deflection for extreme ultraviolet pellicles. Materials 2023, 16, 3471. [Google Scholar] [CrossRef]
- Ramu, A.T.; Bowers, J.E. A compact heat transfer model based on an enhanced Fourier law for analysis of frequency-domain thermoreflectance experiments. Appl. Phys. Lett. 2015, 106, 263102. [Google Scholar] [CrossRef]
- Simoncelli, M.; Marzari, N.; Cepellotti, A. Generalization of Fourier’s law into viscous heat equations. Phys. Rev. X 2020, 10, 011019. [Google Scholar] [CrossRef]
- Foster, N.; Metaxas, D. Modeling water for computer animation. Commun. ACM 2000, 43, 60–67. [Google Scholar] [CrossRef]
- Kasiman, E.H.; Kueh, A.B.H.; Yassin, A.Y.; Amin, N.S.; Amran, M.; Fediuk, R.; Kotov, E.V.; Murali, G. Mixed finite element formulation for Navier–Stokes equations for magnetic effects on biomagnetic fluid in a rectangular channel. Materials 2022, 15, 2865. [Google Scholar] [CrossRef]
- Wang, S. Extensions to the Navier–Stokes equations. Phys. Fluids 2022, 34, 053106. [Google Scholar] [CrossRef]
- Krzywinski, M.; Altman, N. Multiple linear regression. Nat. Methods 2015, 12, 1103–1104. [Google Scholar] [CrossRef] [PubMed]
- Dreiseitl, S.; Ohno-Machado, L. Logistic regression and artificial neural network classification models: A methodology review. J. Biomed. Inform. 2002, 35, 352–359. [Google Scholar] [CrossRef]
- Zhu, Q.; He, Z.; Zhang, T.; Cui, W. Improving classification performance of softmax loss function based on scalable batch-normalization. Appl. Sci. 2020, 10, 2950. [Google Scholar] [CrossRef]
- Cardarilli, G.C.; Di Nunzio, L.; Fazzolari, R.; Giardino, D.; Nannarelli, A.; Re, M.; Spanò, S. A pseudo-softmax function for hardware-based high speed image classification. Sci. Rep. 2021, 11, 15307. [Google Scholar] [CrossRef] [PubMed]
- Bansal, M.; Goyal, A.; Choudhary, A. A comparative analysis of k-nearest neighbor, genetic, support vector machine, decision tree, and long short term memory algorithms in machine learning. Decis. Anal. J. 2022, 3, 100071. [Google Scholar] [CrossRef]
- Kushwah, J.S.; Kumar, A.; Patel, S.; Soni, R.; Gawande, A.; Gupta, S. Comparative study of regressor and classifier with decision tree using modern tools. Mater. Today Proc. 2022, 56, 3571–3576. [Google Scholar] [CrossRef]
- Salcedo-Sanz, S.; Rojo-Álvarez, J.L.; Martínez-Ramón, M.; Camps-Valls, G. Support vector machines in engineering: An overview. WIREs Data Min. Knowl. Discov. 2014, 4, 234–267. [Google Scholar] [CrossRef]
- Brereton, R.G.; Lloyd, G.R. Support vector machines for classification and regression. Analyst 2010, 135, 230–267. [Google Scholar] [CrossRef]
- Drolet, F.; Fredrickson, G.H. Combinatorial screening of complex block copolymer assembly with self-consistent field theory. Phys. Rev. Lett. 1999, 83, 4317–4320. [Google Scholar] [CrossRef]
- Ye, X.; Edwards, B.J.; Khomami, B. Elucidating the formation of block copolymer nanostructures on patterned surfaces: A self-consistent field theory study. Macromolecules 2010, 43, 9594–9597. [Google Scholar] [CrossRef]
- Man, X.; Andelman, D.; Orland, H. Block copolymer at nano-patterned surfaces. Macromolecules 2010, 43, 7261–7268. [Google Scholar] [CrossRef][Green Version]
- Man, X.; Andelman, D.; Orland, H.; Thebault, P.; Liu, P.-H.; Guenoun, P.; Daillant, J.; Landis, S. Organization of block copolymers using nanoImprint lithography: Comparison of theory and experiments. Macromolecules 2011, 44, 2206–2211. [Google Scholar] [CrossRef]
- Drolet, F.; Fredrickson, G.H. Optimizing chain bridging in complex block copolymers. Macromolecules 2001, 34, 5317–5324. [Google Scholar] [CrossRef]
- Xie, O.; Olsen, B.D. A self-consistent field theory formalism for sequence-defined polymers. Macromolecules 2022, 55, 6516–6524. [Google Scholar] [CrossRef]
- Ly, D.Q.; Honda, T.; Kawakatsu, T.; Zvelindovsky, A.V. Kinetic pathway of gyroid-to-cylinder transition in diblock copolymer melt under an electric field. Macromolecules 2007, 40, 2928–2935. [Google Scholar] [CrossRef]
- Kim, J.-S.; Jung, J.C.; Kong, K.-K.; Lee, G.; Lee, S.-K.; Hwang, Y.-S.; Shin, K.-S. Contact hole patterning performance of ArF resist for 0.10 μm technology node. In Proceedings of the SPIE Advances in Resist Technology and Processing XIX, San Jose, CA, USA, 3–8 March 2002; Volume 4690, pp. 577–585. [Google Scholar]
- Kim, S.-K. Theoretical study of extreme ultraviolet pellicles with nanometer thicknesses. Solid State Electron. 2024, 216, 108924. [Google Scholar] [CrossRef]
- Chia, C.; Martis, J.; Jeffrey, S.S.; Howe, R.T. Neural network-based model of photoresist reflow. J. Vac. Sci. Technol. B 2019, 37, 061604. [Google Scholar] [CrossRef]
- Gharbi, A.; Tiron, R.; Argoud, M.; Chevalier, X.; Belledent, J.; Pradelles, J.; Barros, P.P.; Navarro, C.; Nicolet, C.; Hadziioannu, G.; et al. Contact holes patterning by directed self-assembly of block copolymers: What would be the bossung plot? In Proceedings of the SPIE Alternative Lithographic Technologies VI, San Jose, CA, USA, 23–27 February 2014; Volume 9049, p. 90491N. [Google Scholar]
- Yu, B.; Jin, Q.; Ding, D.; Li, B.; Shi, A.-C. Confinement-induced morphologies of cylinder-forming asymmetric diblock copolymers. Macromolecules 2008, 41, 4042–4054. [Google Scholar] [CrossRef]












Disclaimer/Publisher’s Note: The statements, opinions and data contained in all publications are solely those of the individual author(s) and contributor(s) and not of MDPI and/or the editor(s). MDPI and/or the editor(s) disclaim responsibility for any injury to people or property resulting from any ideas, methods, instructions or products referred to in the content. |
© 2024 by the author. Licensee MDPI, Basel, Switzerland. This article is an open access article distributed under the terms and conditions of the Creative Commons Attribution (CC BY) license (https://creativecommons.org/licenses/by/4.0/).
Share and Cite
Kim, S.-K. Contact Hole Shrinkage: Simulation Study of Resist Flow Process and Its Application to Block Copolymers. Micromachines 2024, 15, 1151. https://doi.org/10.3390/mi15091151
Kim S-K. Contact Hole Shrinkage: Simulation Study of Resist Flow Process and Its Application to Block Copolymers. Micromachines. 2024; 15(9):1151. https://doi.org/10.3390/mi15091151
Chicago/Turabian StyleKim, Sang-Kon. 2024. "Contact Hole Shrinkage: Simulation Study of Resist Flow Process and Its Application to Block Copolymers" Micromachines 15, no. 9: 1151. https://doi.org/10.3390/mi15091151
APA StyleKim, S.-K. (2024). Contact Hole Shrinkage: Simulation Study of Resist Flow Process and Its Application to Block Copolymers. Micromachines, 15(9), 1151. https://doi.org/10.3390/mi15091151

