Analysis of Vibration Characteristics of Spatial Non-Uniform Tensioned Thin-Film Structures Based on the Absolute Nodal Coordinate Formulation
Abstract
1. Introduction
2. ANCF Elements with Insufficient Gradients
2.1. Reducing Beam Elements
2.2. Thin-Film Elements
2.3. Element Quality Matrix and External Force Matrix
2.4. Element Rigid Body Motion
3. Dynamic Equations of Thin-Film Structures Considering Wrinkles
3.1. Wrinkling Deformation under Pre-Tension
3.2. The Handling of Constraint Conditions
3.3. Dynamic Equations
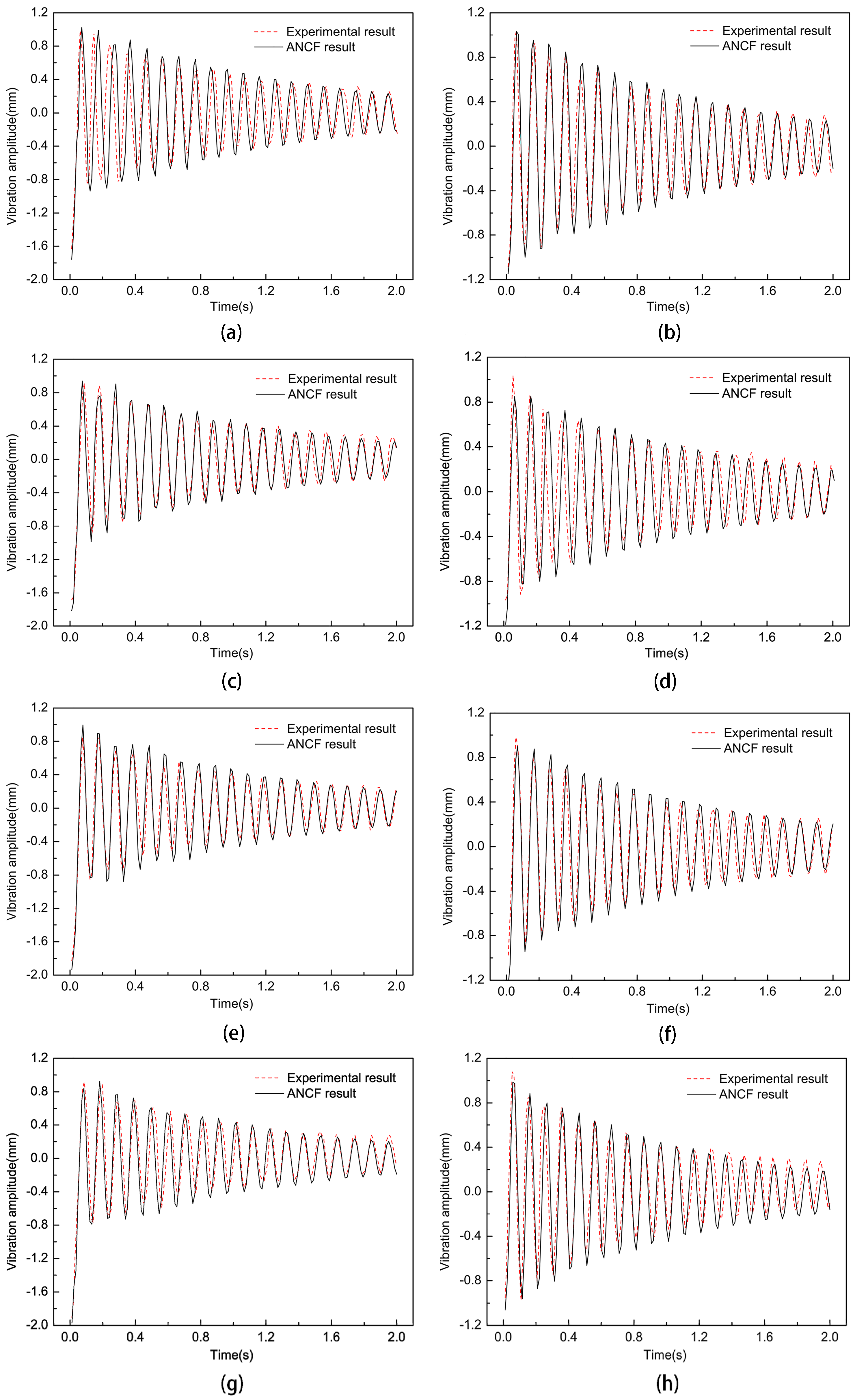
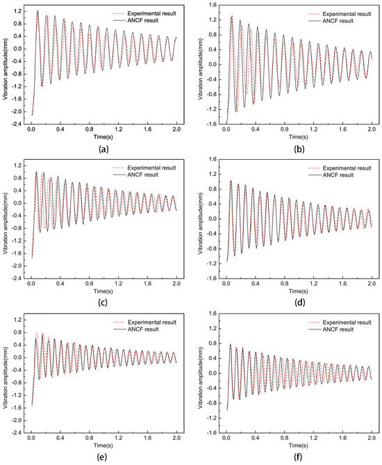
4. Experimental Verification and Vibration Characteristic Analysis
4.1. Experimental Measurement System
4.2. The Influence of Non-Uniform Element Position on the Vibration Characteristics of Thin Films
4.3. The Influence of Non-Uniform Element Size on the Vibration Characteristics of Thin Films
4.4. The Influence of Pre-Tension on the Vibration Characteristics of Non-Uniform Thin Films
5. Conclusions
Author Contributions
Funding
Data Availability Statement
Conflicts of Interest
References
- Liu, M.J.; Huang, J.; Wang, Y. Analysis of wrinkled membrane structures based on a wrinkle-wave model. AIP Adv. 2017, 7, 1–7. [Google Scholar] [CrossRef]
- Chandra, M.; Kumar, S.; Chattopadhyaya, S.; Chatterjee, S.; Kumar, P. A review on developments of deployable membrane-based reflector antennas. Adv. Space Res. 2021, 68, 3749–3764. [Google Scholar] [CrossRef]
- Dai, X.J.; Yuan, T.Y.; Zheng, Z.; Shao, X.X.; Li, L.J.; Cheng, X.M.; Zhou, J.L.; Yang, F.J.; He, X.Y. Experimental study of wrinkling behavior of membrane structures via visual method. Thin Wall Struct. 2019, 149, 106537. [Google Scholar] [CrossRef]
- Attipou, K.; Hu, H.; Potier-Ferry, M.; Mohri, F.; Potier-Ferry, M.; Belouettar, S. Thermal wrinkling of thin membranes using a Fourier-related double scale approach. Thin Wall Struct. 2015, 94, 532–544. [Google Scholar] [CrossRef]
- Luo, Y.J.; Xing, J.; Kang, Z.; Zhan, J.J.; Li, M. Uncertainty of membrane wrinkling behaviors considering initial thickness imperfections. Int. J. Solids Struct. 2020, 191–192, 264–277. [Google Scholar] [CrossRef]
- Huang, J.; Lou, A.; Feria, A.; Kim, Y. An inflatable L-band microstrip SAR array. In Proceedings of the IEEE Antennas and Propagation Society International Symposium, Atlanta, GA, USA, 21–26 June 1998. [Google Scholar]
- Fleurent-Wilson, E.; Pollock, T.E.; Su, W.J.; Warrier, D.; Salehian, A. Wrinkle localization in membrane structures patched with macro-fiber composite actuators: Inflatable space antenna applications. J. Intel. Mat. Syst. Str. 2014, 25, 1978–2009. [Google Scholar] [CrossRef]
- Wang, C.G.; Tan, H.F.; Du, X.W.; Wan, Z.M. Wrinkling prediction of rectangular shell-membrane under transverse in-plane displacement. Int. J. Solids Struct. 2007, 50, 6507–6516. [Google Scholar] [CrossRef]
- Sun, P.; Huang, J.; Zhang, J.Y.; Meng, F.B. Wrinkling patterns and stress analysis of tensile membrane with rigid elements. Appl. Sci. 2022, 12, 6630. [Google Scholar] [CrossRef]
- Sun, P.; Huang, J.; Zhang, J.Y.; Meng, F.B. Wrinkling suppression in thin film using position distribution of microstructures. Int. J. Mech. Mater. Des. 2024, 20, 3–13. [Google Scholar] [CrossRef]
- Shao, Q.; Lu, Y.F.; Shi, C.; Yue, H.H.; Lv, L.L.; Liu, R.Q.; Fang, G.Q. Hybrid vibration control of the membrane antenna experiencing maneuver with cable actuators. Thin Wall Struct. 2023, 192, 111149. [Google Scholar] [CrossRef]
- Zhang, J.H.; Wu, N.; Tong, A.; Liu, Y.H. Structural dynamic responses of a stripped solar sail subjected to solar radiation pressure. Chin. J. Aeronaut. 2020, 33, 2204–2211. [Google Scholar] [CrossRef]
- Zhang, F.; Gong, S.P.; Gong, H.R.; Baoyin, H. Solar sail attitude control using shape variation of booms. Chin. J. Aeronaut. 2022, 35, 326–336. [Google Scholar] [CrossRef]
- Zhang, X.X.; Zhou, C.Y. Dynamic analysis of spinning solar sails at deployment process. Chin. J. Aeronaut. 2017, 30, 1719–1728. [Google Scholar] [CrossRef]
- Li, B.Y.; Liu, R.Q.; Qiang, C.; Guo, H.W.; Lin, Q.H. Stress Superposition Method and free vibration of corner tensioned rectangular thin membranes. Thin Wall Struct. 2021, 159, 107201. [Google Scholar] [CrossRef]
- Liu, M.J.; Huang, J.; Liu, M.Y. Multiple-model switching control for vibration suppression of planar membrane structures. Adv. Mech. Eng. 2019, 11, 168781401988377. [Google Scholar] [CrossRef]
- Li, Y.L.; Lu, M.Y.; Tan, H.F.; Tan, Y.Q. A study on wrinkling characteristics and dynamic mechanical behavior of membrane. Acta Mech. Sin. 2012, 28, 201–210. [Google Scholar] [CrossRef]
- Liu, X.; Cai, G.P. Nonlinear dynamic analysis of wrinkled membrane structure. Eng. Comput. 2023, 40, 41–46. [Google Scholar] [CrossRef]
- Lu, Y.F.; Shao, Q.; Lv, L.L.; Yue, H.H. Nonlinear Dynamics of a Space Tensioned Membrane Antenna during Orbital Maneuvering. Aerospace 2022, 9, 794. [Google Scholar] [CrossRef]
- Wang, C.G.; Liu, Y.P.; Lan, L.; Tan, H.F. Free transverse vibration of a wrinkled annular thin film by using finite difference method. J. Sound. Vib. 2016, 363, 272–284. [Google Scholar] [CrossRef]
- Fan, X.; Wang, Y.; Li, Y.; Fu, H. Vibration Analysis of Post-Buckled Thin Film on Compliant Substrates. Sensors 2020, 20, 5425. [Google Scholar] [CrossRef]
- Wang, Y.; Cui, X.B.; Fu, H.R.; Zhao, Q.; Li, Y.H. Dynamic Behaviors of Postbuckled Thin Film on Flexible Substrates Considering Viscoelastic Effects. J. Appl. Mech-T Asme 2021, 88, 041007. [Google Scholar] [CrossRef]
- Dufva, K.; Shabana, A.A. Analysis of thin plate structures using the absolute nodal coordinate formulation. Proc. Inst. Mech. Eng. Part K J. Multi-Body Dyn. 2005, 219, 345–355. [Google Scholar] [CrossRef]
- García-Vallejo, D.; Mayo, J.; Escalona, J.L.; Escalona, J. Efficient Evaluation of the Elastic Forces and the Jacobian in the Absolute Nodal Coordinate Formulation. Nonlinear Dyn. 2004, 35, 313–329. [Google Scholar] [CrossRef]
- Skrinjar, L.; Slavic, J.; Boltezar, M. Absolute Nodal Coordinate Formulation in a Pre-Stressed Large-Displacements Dynamical System. Stroj. Vestn. J. Mech. Eng. 2017, 63, 417–425. [Google Scholar] [CrossRef]
- Ren, H.; Fan, W. An adaptive triangular element of absolute nodal coordinate formulation for thin plates and membranes. Thin Wall Struct. 2023, 182, 110257. [Google Scholar] [CrossRef]
- Wang, T.F.; Wu, Z.Y.; Wang, J.; Lan, P.; Xu, M.L. Simulation of membrane deployment accounting for the nonlinear crease effect based on absolute nodal coordinate formulation. Nonlinear Dyn. 2023, 111, 2521–2535. [Google Scholar] [CrossRef]
- Liu, C.; Tian, Q.; Yan, D.; Hu, H.Y. Dynamic analysis of membrane systems undergoing overall motions, large deformations and wrinkles via thin shell elements of ANCF. Comput. Method. Appl. M. 2013, 258, 81–95. [Google Scholar] [CrossRef]
- Zhao, J.; Tian, Q.; Hu, H.Y. Modal Analysis of a Rotating Thin Plate via Absolute Nodal Coordinate Formulation. J. Comput. Nonlin Dyn. 2011, 6, 041013. [Google Scholar] [CrossRef]
- Wang, J.; Wang, T.F.; Zhang, Y.L.; Bian, H.Y.; Liu, W.J. A novel plate element based on absolute nodal coordinate formulation with collocation strategy. Acta Mech. 2023, 234, 6677–6690. [Google Scholar] [CrossRef]
- Olshevskiy, A.; Olshevskiy, O.; Dai, M.D.; Kim, C.W. The simplest 3-, 6- and 8-noded fully-parameterized ANCF plate elements using only transverse slopes. Multibody Syst. Dyn. 2015, 34, 23–51. [Google Scholar] [CrossRef]
- Mikkola, A.; Shabana, A.A.; Sanchez-Rebollo, C.; Jimenez-Octavio, J.R. Comparison between ANCF and B-spline surfaces. Multibody Syst. Dyn. 2013, 30, 119–138. [Google Scholar] [CrossRef]
- Shabana, A.A. ANCF Consistent Rotation-Based Finite Element Formulation. J. Comput. Nonlin. Dyn. 2016, 11, 014502. [Google Scholar] [CrossRef]
- Pappalardo, C.M.; Yu, Z.Q.; Zhang, X.S.; Shabana, A.A. Rational ANCF Thin Plate Finite Element. J. Comput. Nonlin. Dyn. 2016, 11, 051009. [Google Scholar] [CrossRef]
- Grossi, E.; Shabana, A.A. Analysis of high-frequency ANCF modes: Navier–Stokes physical damping and implicit numerical integration. Acta Mech. 2019, 230, 2581–2605. [Google Scholar] [CrossRef]
- Pappalardo, C.M.; Zhang, Z.; Shabana, A.A. Use of independent volume parameters in the development of new large displacement ANCF triangular plate/shell elements. Nonlinear Dyn. 2018, 91, 2171–2202. [Google Scholar] [CrossRef]
- Sun, P.; Huang, J.; Zhang, J.Y.; Meng, F.B.; Zhao, P.B. Prediction of wrinkle patterns in tensioned thin-film structures containing rigid elements. Aeronaut. J. 2024, 1–11. [Google Scholar] [CrossRef]
- Minami, H. Added mass of a membrane vibrating at finite amplitude. J. Fluid. Struct. 1998, 12, 919–932. [Google Scholar] [CrossRef]














Disclaimer/Publisher’s Note: The statements, opinions and data contained in all publications are solely those of the individual author(s) and contributor(s) and not of MDPI and/or the editor(s). MDPI and/or the editor(s) disclaim responsibility for any injury to people or property resulting from any ideas, methods, instructions or products referred to in the content. |
© 2024 by the authors. Licensee MDPI, Basel, Switzerland. This article is an open access article distributed under the terms and conditions of the Creative Commons Attribution (CC BY) license (https://creativecommons.org/licenses/by/4.0/).
Share and Cite
Sun, P.; Huang, J.; Zhang, J.; Meng, F.; Zhao, P. Analysis of Vibration Characteristics of Spatial Non-Uniform Tensioned Thin-Film Structures Based on the Absolute Nodal Coordinate Formulation. Micromachines 2024, 15, 1147. https://doi.org/10.3390/mi15091147
Sun P, Huang J, Zhang J, Meng F, Zhao P. Analysis of Vibration Characteristics of Spatial Non-Uniform Tensioned Thin-Film Structures Based on the Absolute Nodal Coordinate Formulation. Micromachines. 2024; 15(9):1147. https://doi.org/10.3390/mi15091147
Chicago/Turabian StyleSun, Peng, Jin Huang, Jiaying Zhang, Fanbo Meng, and Pengbing Zhao. 2024. "Analysis of Vibration Characteristics of Spatial Non-Uniform Tensioned Thin-Film Structures Based on the Absolute Nodal Coordinate Formulation" Micromachines 15, no. 9: 1147. https://doi.org/10.3390/mi15091147
APA StyleSun, P., Huang, J., Zhang, J., Meng, F., & Zhao, P. (2024). Analysis of Vibration Characteristics of Spatial Non-Uniform Tensioned Thin-Film Structures Based on the Absolute Nodal Coordinate Formulation. Micromachines, 15(9), 1147. https://doi.org/10.3390/mi15091147

