Effect of High-Temperature Storage on Electrical Characteristics of Hydrogen-Treated AlGaN/GaN High-Electron-Mobility Transistors
Abstract
1. Introduction
2. Materials and Methods
3. Results
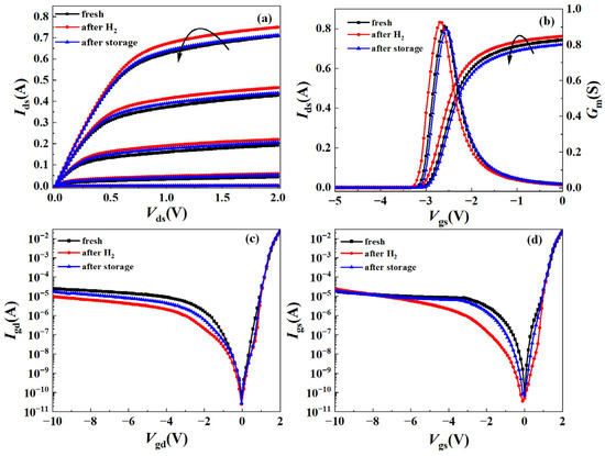
3.1. DC Characteristics
3.2. C–V and Pulsed I–V Characteristics
3.3. Low-Frequency Noise Characteristics
4. Discussion
5. Conclusions
Author Contributions
Funding
Data Availability Statement
Conflicts of Interest
References
- Wang, R.; Xu, J.; Zhang, S.; Zhang, Y.; Zheng, P.; Cheng, Z.; Zhang, L.; Chen, F.-X.; Tong, X.; Zhang, Y.; et al. Reducing the reverse leakage current of AlGaN/GaN heterostructures via low-fluence neutron irradiation. J. Mater. Chem. C 2021, 9, 3177–3182. [Google Scholar] [CrossRef]
- Islam, N.; Mohamed, M.F.P.; Khan, M.F.A.J.; Falina, S.; Kawarada, H.; Syamsul, M. Applications and challenges of GaN HEMT technology for modern power devices: A review. Crystals 2022, 12, 1581. [Google Scholar] [CrossRef]
- Kaushik, J.; Balakrishnan, V.; Mongia, D.; Kumar, U.; Dayal, S.; Panwar, B.; Muralidharan, R. Investigation of surface related leakage current in AlGaN/GaN high electron mobility transistors. Thin Solid Films 2016, 612, 147–152. [Google Scholar] [CrossRef]
- Camp, W.O., Jr.; Lasater, R.; Genova, V.; Hume, R. Hydrogen effects on reliability of GaAs MMICs. In Proceedings of the 11th Annual Gallium Arsenide Integrated Circuit (GaAs IC) Symposium, San Diego, CA, USA, 22–25 October 1989. [Google Scholar]
- Chao, P.; Kao, M.; Nordheden, K.; Swanson, A. HEMT degradation in hydrogen gas. IEEE Electron Device Lett. 1994, 15, 151–153. [Google Scholar] [CrossRef]
- Adams, S.B.; MacDonald, J.A.; Hu, W.W.; Immorlica, A.A.; Reisinger, A.R.; Smith, F.W. Reliability of GaAs PHEMT MMICs in Hydrogen Ambient. In Proceedings of the GaAs Reliability Workshop, Philadelphia PA, USA, 16 October 1994. [Google Scholar]
- Neugebauer, J.; Van de Walle, C.G. Hydrogen in GaN: Novel Aspects of a Common Impurity. Phys. Rev. Lett. 1995, 75, 4452–4456. [Google Scholar] [CrossRef] [PubMed]
- Neugebauer, J.; Van de Walle, C.G. Role of hydrogen in doping of GaN. Appl. Phys. Lett. 1996, 68, 1829–1831. [Google Scholar] [CrossRef]
- Schalwig, J.; Müller, G.; Ambacher, O.; Stutzmann, M. Group-III-nitride based gas sensing devices. Phys. Stat. Sol. (Part A) 2001, 185, 39–45. [Google Scholar] [CrossRef]
- Schalwig, J.; Müller, G.; Eickhoff, M.; Ambacher, O.; Stutzmann, M. Gas sensitive GaN/AlGaN-heterostructures. Sens. Actuators B Chem. 2002, 87, 425–430. [Google Scholar] [CrossRef]
- Kim, H.; Jang, S. AlGaN/GaN HEMT based hydrogen sensor with platinum nanonetwork gate electrode. Curr. Appl. Phys. 2013, 13, 1746–1750. [Google Scholar] [CrossRef]
- Chen, Y.Q.; Zhang, Y.C.; Liu, Y.; Liao, X.Y.; En, Y.F.; Fang, W.X.; Huang, Y. Effect of Hydrogen on Defects of AlGaN/GaN HEMTs Characterized by Low-Frequency Noise. IEEE Trans. Electron. Devices 2018, 65, 1321–1326. [Google Scholar] [CrossRef]
- He, Z.; Chen, Y.; He, J.; Su, W.; Fang, W.; En, Y.; Huang, Y.; Liu, Y. Hydrogen effects on AlGaN/GaN MISFET with LPCVD-SiNx gate dielectric. Semicond. Sci. Technol. 2018, 34, 035020. [Google Scholar] [CrossRef]
- Gao, R.; Liu, C.; He, Z.; Chen, Y.; Shi, Y.; Lin, X.; Zhang, X.; Wang, Z.; En, Y.; Lu, G.; et al. Towards Understanding the Interaction Between Hydrogen Poisoning and Bias Stress in AlGaN/GaN MIS-HEMTs With SiNx Gate Dielectric. IEEE Electron Device Lett. 2021, 42, 212–215. [Google Scholar] [CrossRef]
- Chen, Z.; Yue, S.; Peng, C.; Zhang, Z.; Liu, C.; Wang, L.; Huang, Y.; Huang, Y.; He, Y.; Zhong, X.; et al. Hydrogen-Related Recovery Effect of AlGaN/GaN High-Electron-Mobility Transistors Irradiated by High-Fluence Protons. IEEE Trans. Nucl. Sci. 2021, 68, 118–123. [Google Scholar] [CrossRef]
- Van de Walle, C.G. Interactions of hydrogen with native defects in GaN. Phys. Rev. B 1997, 56, 10020–10023. [Google Scholar] [CrossRef]
- Saito, Y.; Griese, R.; Kessler, J.; Kono, R.; Fang, J. Hydrogen degradation of GaAs MMICs and hydrogen evolution in the hermetic package. In Proceedings of the IEEE 1995 Microwave and Millimeter-Wave. Monolithic Circuits Symposium. Digest of Papers, Orlando, FL, USA, 6 August 2002. [Google Scholar]
- Babchenko, O.; Dzuba, J.; Lalinský, T.; Vojs, M.; Vincze, A.; Ižák, T.; Vanko, G. Stability of AlGaN/GaN heterostructures after hydrogen plasma treatment. Appl. Surf. Sci. 2017, 395, 92–97. [Google Scholar] [CrossRef]
- Chen, Z.; Yue, S.; Wang, J.; Zhang, Z.; Huang, Y.; Wang, L.; Peng, C.; Zhong, X.; Lei, Z. Proton-Induced Effect on AlGaN/GaN HEMTs After Hydrogen Treatment. IEEE Trans. Device Mater. Reliab. 2021, 21, 297–302. [Google Scholar] [CrossRef]
- Wright, A.F. Interaction of hydrogen with gallium vacancies in wurtzite GaN. J. Appl. Phys. 2001, 90, 1164–1169. [Google Scholar] [CrossRef]
- Hierro, A.; Ringel, S.A.; Hansen, M.; Speck, J.S.; Mishra, U.K.; DenBaars, S.P. Hydrogen passivation of deep levels in n-GaN. Appl. Phys. Lett. 2000, 77, 1499–1501. [Google Scholar] [CrossRef]
- Liu, C.; Chen, Y.Q.; Liu, Y.; Lai, P.; He, Z.Y.; En, Y.F.; Wang, T.Y.; Huang, Y. Effect of Atmosphere on Electrical Characteristics of AlGaN/GaN HEMTs Under Hot-Electron Stress. IEEE Trans. Electron Devices 2021, 68, 1000–1005. [Google Scholar] [CrossRef]
- Saptarsi, G.; Subhashis, D.; Mukulika, D.S.; Ankush, B.; Apurba, C.; Partha, M.; Kumar, J.S.; Dhrubes, B. Off-state leakage and current collapse in AlGaN/GaN HEMTs: A virtual gate induced by dislocations. IEEE Trans. Electron Devices 2018, 65, 1333–1339. [Google Scholar]
- Silvestri, M.; Uren, M.J.; Killat, N.; Marcon, D.; Kuball, M. Localization of off-stress-induced damage in AlGaN/GaN high electron mobility transistors by means of low frequency 1/f noise measurements. Appl. Phys. Lett. 2013, 103, 04356. [Google Scholar] [CrossRef]
- Balandin, A. Gate-voltage dependence of low-frequency noise in GaN/AlGaN heterostructure field-effect transistors. Electron. Lett. 2000, 36, 912–913. [Google Scholar] [CrossRef]
- Christensson, S.; Lundström, I.; Svensson, C. Low frequency noise in MOS transistors—I Theory. Solid-State Electron. 1968, 11, 797–812. [Google Scholar] [CrossRef]
- Vodapally, S.; Sindhuri, C.G.; Theodorou, Y.B.; Ghibaudo, G.; Cristoloveanu, S.; Im, K.S.; Lee, J.H. Comparison for 1/f Noise Characteristics of AlGaN/GaN FinFET and Planar MISHFET. IEEE Trans. Electron Devices 2017, 64, 3634–3638. [Google Scholar] [CrossRef]
- Simoen, E.; Mercha, A.; Pantisano, L.; Claeys, C.; Young, E. Low-frequency noise behavior of SiO2-HfO2 dual-layer gate dielectric nMOSFETs with different interfacial oxide thickness. IEEE Trans. Electron Devices 2004, 51, 780–784. [Google Scholar] [CrossRef]
- Seo, J.H.; Yoon, Y.J.; Son, D.H.Y.; Kim, J.G.; Lee, J.H.; Lee, J.H.; Im, K.S.; Kang, I.M. A novel analysis of Lgd dependent-1/f noise in In0.08Al0.92N/GaN fin-HEMTs. IEEE Electron Device Lett. 2018, 39, 1552–1555. [Google Scholar] [CrossRef]
- Zhang, A.P.; Rowland, L.B.; Kaminsky, E.B.; Tilak, V.; Grande, J.C.; Teetsov, J.; Vertiatchikh, A.; Eastman, L.F. Correlation of device performance and defects in AlGaN/GaN high-electron mobility transistors. J. Electron. Mater. 2003, 32, 288–394. [Google Scholar] [CrossRef]
- Jörg, N.; Van de Walle, C.G. Atomic geometry and electronic structure of native defects in GaN. Phys. Rev. B 1998, 50, 8067–8070. [Google Scholar]
- Menozzi, R.; Gaddi, R.; Nava, F.; Lanzieri, C.; Canali, C. Reliability of Al/Ti gate AlGaAs/GaAs power HFETs in hydrogen gas. In Proceedings of the 1998 GaAs Reliability Workshop, Atlanta, GA, USA, 1 November 1998. [Google Scholar]
- He, J.; Chen, Y.Q.; He, Z.Y.; En, Y.F.; Liu, C.; Huang, Y.; Li, Z.; Tang, M.H. Effect of Hot Electron Stress on AlGaN/GaN HEMTs of Hydrogen Poisoning. IEEE J. Electron Devices Soc. 2019, 7, 76–81. [Google Scholar] [CrossRef]
- Puzyrev, Y.S.; Roy, T.; Beck, M.; Tuttle, B.R.; Schrimpf, R.D.; Fleetwood, D.M.; Pantelides, S.T. Dehydrogenation of defects and hot-electron degradation in GaN high-electron-mobility transistors. J. Appl. Phys. 2011, 109, 034501. [Google Scholar] [CrossRef]
- Zhao, M.; Wang, X.H.; Liu, X.Y.; Huang, J.; Zheng, Y.K.; Wei, K. Thermal storage of AlGaN/GaN high-electron-mobility transistors. IEEE Trans. Device Mater. Reliab. 2010, 10, 360–365. [Google Scholar] [CrossRef]
- Singhal, S.; Roberts, J.C.; Rajagopal, P.; Li, T.; Hanson, A.W.; Therrien, R.; Johnson, J.W.; Kizilyalli, I.C.; Linthicum, K.J. GaN-ON-Si Failure Mechanisms and Reliability Improvements. In Proceedings of the 2006 IEEE International Reliability Physics Symposium Proceedings, San Jose, CA, USA, 26–30 March 2006. [Google Scholar]
- Lin, R.B.; Wang, X.J.; Feng, Q.; Wang, C.; Zhang, J.C.; Hao, Y. Study on mechanism of AIGaN/GaN high electron mobility transistors by high temperature Schottky annealing. Acta Phys. Sin. 2008, 57, 4487–4491. [Google Scholar]
- Vitobello, F.; Barnes, A.R. Long Duration High Temperature Storage Test on GaN HEMTs. In Proceedings of the 2012 IEEE International Reliability Physics Symposium (IRPS), Anaheim, CA, USA, 15–19 April 2012. [Google Scholar]








Disclaimer/Publisher’s Note: The statements, opinions and data contained in all publications are solely those of the individual author(s) and contributor(s) and not of MDPI and/or the editor(s). MDPI and/or the editor(s) disclaim responsibility for any injury to people or property resulting from any ideas, methods, instructions or products referred to in the content. |
© 2024 by the authors. Licensee MDPI, Basel, Switzerland. This article is an open access article distributed under the terms and conditions of the Creative Commons Attribution (CC BY) license (https://creativecommons.org/licenses/by/4.0/).
Share and Cite
Zhou, B.; Liu, C.; Guo, C.; Hu, X.; Jian, X.; Wang, H.; Yang, X. Effect of High-Temperature Storage on Electrical Characteristics of Hydrogen-Treated AlGaN/GaN High-Electron-Mobility Transistors. Micromachines 2024, 15, 611. https://doi.org/10.3390/mi15050611
Zhou B, Liu C, Guo C, Hu X, Jian X, Wang H, Yang X. Effect of High-Temperature Storage on Electrical Characteristics of Hydrogen-Treated AlGaN/GaN High-Electron-Mobility Transistors. Micromachines. 2024; 15(5):611. https://doi.org/10.3390/mi15050611
Chicago/Turabian StyleZhou, Bin, Chang Liu, Chenrun Guo, Xianghong Hu, Xiaodong Jian, Hongyue Wang, and Xiaofeng Yang. 2024. "Effect of High-Temperature Storage on Electrical Characteristics of Hydrogen-Treated AlGaN/GaN High-Electron-Mobility Transistors" Micromachines 15, no. 5: 611. https://doi.org/10.3390/mi15050611
APA StyleZhou, B., Liu, C., Guo, C., Hu, X., Jian, X., Wang, H., & Yang, X. (2024). Effect of High-Temperature Storage on Electrical Characteristics of Hydrogen-Treated AlGaN/GaN High-Electron-Mobility Transistors. Micromachines, 15(5), 611. https://doi.org/10.3390/mi15050611

