Comparative Study of Ultrasonic Vibration-Assisted Die-Sinking Micro-Electrical Discharge Machining on Polycrystalline Diamond and Titanium
Abstract
1. Introduction
2. Materials and Methods
2.1. Materials
2.2. Die-Sinking Micro-EDM Experimental Setup
3. Results and Discussion
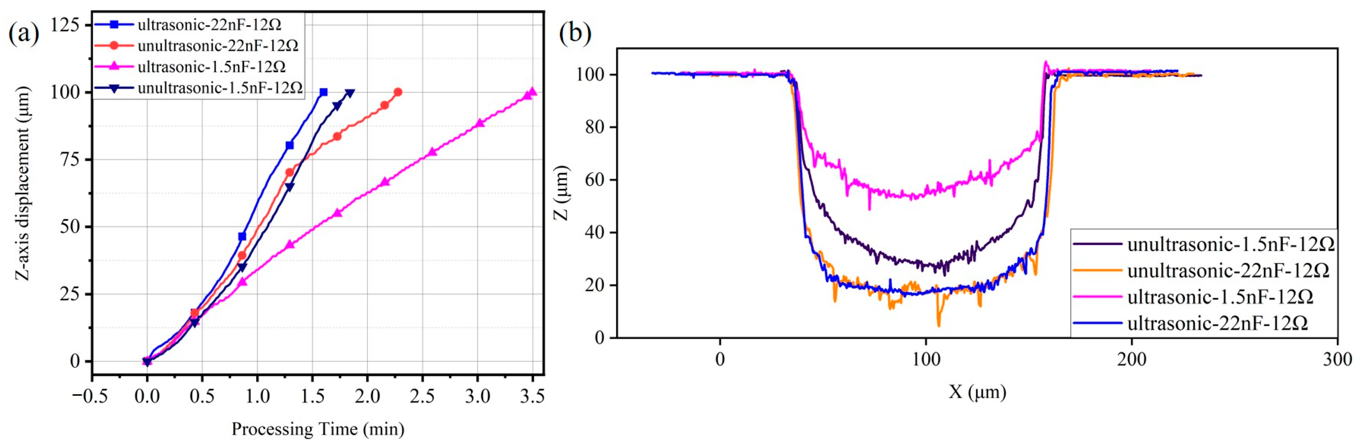
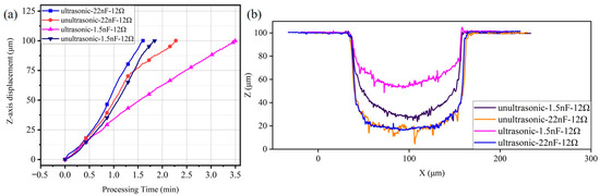
3.1. Ultrasonic Vibration-Assisted Die-Sinking Micro-EDM of PCD
3.2. Ultrasonic Vibration-Assisted Die-Sinking Micro-EDM of TA2
3.3. Differential Behaviors of Ultrasonic Assistance on the Two Materials
4. Conclusions
- (1)
- At an open-circuit voltage of 100 V, ultrasonic vibration facilitates die-sinking micro-EDM of PCD. The promotion is particularly significant under a large capacitance and small discharge resistance, and the MMR can be increased by 3 to 5 times, with the maximum value reaching 0.0022 mm3/min. At an open-circuit voltage of 200 V, ultrasonic vibration promotes die-sinking micro-EDM for certain parameters but inhibits the process for the majority. In the case of TA2, whether at an open-circuit voltage of 100 V or 200 V, ultrasonic vibration demonstrates a promoting effect.
- (2)
- The promoting effect of ultrasonic vibration on die-sinking micro-EDM differs fundamentally between PCD and TA2. For PCD materials, ultrasonic vibration facilitates continuous vertical movement of the electrode along the z-axis, accelerating the removal of discharge debris, while the cavitation effect of ultrasonic vibration improves the discharge environment between the electrodes. In the case of TA2, due to its poor thermal conductivity and susceptibility to arc discharge, the relative movement and cavitation effect generated by ultrasonic vibration can disrupt the arc, accelerating heat transfer.
- (3)
- To maximize the promoting effect of ultrasonic vibration on die-sinking micro-EDM, it is necessary to adjust the amplitude of ultrasonic vibration in a timely manner to adapt different die-sinking depths, different energy levels and different materials. For large discharge energies, especially when the material has poor thermal conductivity, increasing the ultrasonic amplitude is advisable. For small discharge energy, or when machining materials with a high melting point and good thermal conductivity, reducing the amplitude is recommended. However, it is important to note that this study has some limitations, such as not fully investigating the effect of ultrasonic vibration on tool wear. These limitations provide directions for future research to further expand the understanding and application of this field.
Author Contributions
Funding
Data Availability Statement
Acknowledgments
Conflicts of Interest
References
- Marrocco, V.; Modica, F.; Bellantone, V.; Medri, V.; Fassi, I. Pulse-Type Influence on the Micro-EDM Milling Machinability of Si3n4–Tin Workpieces. Micromachines 2020, 11, 932. [Google Scholar] [CrossRef]
- Yung-Yi, W.; Huang, T.-W.; Sheu, D.-Y. Desktop Micro-EDM System for High-Aspect Ratio Micro-Hole Drilling in Tungsten Cemented Carbide by Cut-Side Micro-Tool. Micromachines 2020, 11, 675. [Google Scholar]
- Kumar, S.; Ghoshal, S.K.; Arora, P.K.; Nagdeve, L. Multi-Variable Optimization in Die-Sinking EDM Process of Aisi420 Stainless Steel. Mater. Manuf. Process. 2021, 36, 572–582. [Google Scholar] [CrossRef]
- Yaou, Z.; Yang, X.; Gao, Q.; Wang, J.; Zhao, W. Mechanism Analysis of Discharge Energy in the Electrostatic-Field-Induced Electrolyte Jet Micro-EDM. Micromachines 2023, 14, 1919. [Google Scholar]
- Zhixiang, Z.; Guo, Z.; Huang, Q.; Yue, T.; Liu, J.; Chen, X. Precision EDM of Micron-Scale Diameter Hole Array Using in-Process Wire Electro-Discharge Grinding High-Aspect-Ratio Microelectrodes. Micromachines 2021, 12, 17. [Google Scholar]
- Qi, J.; Zhang, Y.; Kong, L.; Xu, M.; Ji, F. An Investigation into Accumulative Difference Mechanism in Time and Space for Material Removal in Micro-Edm Milling. Micromachines 2021, 12, 711. [Google Scholar]
- Tso, P.L.; Liu, Y.G. Study on PCD Machining. Int. J. Mach. Tools Manuf. 2002, 42, 331–334. [Google Scholar] [CrossRef]
- Li, G.X.; Rahim, M.Z.; Pan, W.C.; Wen, C.; Ding, S.L. The Manufacturing and the Application of Polycrystalline Diamond Tools—A Comprehensive Review. J. Manuf. Process. 2020, 56, 400–416. [Google Scholar] [CrossRef]
- Teng, Y.L.; Li, L.; Zhang, W.; Wang, N.; Feng, C.C.; Ren, J.H. Machining Characteristics of PCD by EDM with Cu-Ni Composite Electrode. Mater. Manuf. Process. 2020, 35, 442–448. [Google Scholar] [CrossRef]
- Ding, S.L.; Mo, J.; Brand, M.; Webb, R. Electric Discharge Grinding of Polycrystalline Diamond Materials. In Proceedings of the 3rd International Conference on Frontiers of Manufacturing and Design Science (ICFMD 2012), Hong Kong, China, 11–13 December 2012. [Google Scholar]
- Sheu, D.Y.; Cheng, C.C. Micro Three-Dimensional Cavities Tools Fabrication on PCD by Μ-EDM Scanning Process. Mater. Manuf. Process. 2012, 28, 42–47. [Google Scholar] [CrossRef]
- Yan, M.T.; Fang, G.R.; Liu, Y.T. An Experimental Study on Micro Wire-EDM of Polycrystalline Diamond Using a Novel Pulse Generator. Int. J. Adv. Manuf. Technol. 2013, 66, 1633–1640. [Google Scholar] [CrossRef]
- Wang, X.Z.; Li, C.J.; Guo, H.; Li, G.X.; Ding, S.L. Moving Arc Electrical Discharge Machining of Polycrystalline Diamond. Mater. Manuf. Process. 2020, 35, 449–459. [Google Scholar] [CrossRef]
- Wang, X.Z.; Guo, H.; Wu, G.; Ding, S.L. Hydrodynamic Arc Moving Mechanism in EDM of Polycrystalline Diamond. Mater. Manuf. Process. 2022, 37, 1652–1663. [Google Scholar] [CrossRef]
- Zhao, W.S.; Wang, Z.L.; Di, S.C.; Chi, G.X.; Wei, H.Y. Ultrasonic and Electric Discharge Machining to Deep and Small Hole on Titanium Alloy. J. Mater. Process. Technol. 2002, 120, 101–106. [Google Scholar]
- Farooq, M.U.; Anwar, S.; Hurairah, A. Reducing Micro-Machining Errors During Electric Discharge Machining of Titanium Alloy Using Nonionic Liquids. Mater. Manuf. Process. 2023, 39, 449–464. [Google Scholar] [CrossRef]
- Baroi, B.K.; Jagadish; Patowari, P.K. Effect of Boric Acid in Powder Mixed EDM of Ti-6al-4v Eli. Mater. Manuf. Process. 2024, 39, 130–143. [Google Scholar] [CrossRef]
- Mukherjee, S.; Rai, D.; Giridharan, A. EDM of Titanium Foam: Electrode Wear Rate, Oversize, and Mrr. Mater. Manuf. Process. 2022, 37, 825–837. [Google Scholar] [CrossRef]
- Hasçalik, A.; Çaydas, U. Electrical Discharge Machining of Titanium Alloy (Ti-6Al-4V). Appl. Surf. Sci. 2007, 253, 9007–9016. [Google Scholar] [CrossRef]
- Jiang, M.; Li, L.; Sun, X.M.; Wang, W.C.; Liu, Z.C. Research on the Mechanism and Process of Polycrystalline Diamond by EDM. Int. J. Adv. Manuf. Technol. 2023, 125, 819–830. [Google Scholar] [CrossRef]
- Ahmed, N.; Ishfaq, K.; Moiduddin, K.; Ali, R.; Al-Shammary, N. Machinability of Titanium Alloy through Electric Discharge Machining. Mater. Manuf. Process. 2019, 34, 93–102. [Google Scholar] [CrossRef]
- Arsecularatne, J.A.; Zhang, L.C.; Montross, C. Wear and Tool Life of Tungsten Carbide, PCBN and PCD Cutting Tools. Int. J. Mach. Tools Manuf. 2006, 46, 482–491. [Google Scholar] [CrossRef]
- Abdullah, A.; Shabgard, M.R. Effect of Ultrasonic Vibration of Tool on Electrical Discharge Machining of Cemented Tungsten Carbide (WC-Co). Int. J. Adv. Manuf. Technol. 2008, 38, 1137–1147. [Google Scholar] [CrossRef]
- Hirao, A.; Gotoh, H.; Tani, T. Some Effects on EDM Characteristics by Assisted Ultrasonic Vibration of the Tool Electrode. In Proceedings of the 19th CIRP Conference on Electro Physical and Chemical Machining, Bilbao, Spain, 23–27 April 2017. [Google Scholar]
- Liew, P.J.; Yan, J.W.; Kuriyagawa, T. Fabrication of Deep Micro-Holes in Reaction-Bonded Sic by Ultrasonic Cavitation Assisted Micro-EDM. Int. J. Mach. Tools Manuf. 2014, 76, 13–20. [Google Scholar] [CrossRef]
- Gero, E.; Yan, J. Direct Observation of Discharge Phenomena in Vibration-Assisted Micro EDM of Array Structures. Micromachines 2022, 13, 1286. [Google Scholar]
- Singh, P.; Yadava, V.; Narayan, A. Parametric Study of Ultrasonic-Assisted Hole Sinking Micro-EDM of Titanium Alloy. Int. J. Adv. Manuf. Technol. 2018, 94, 2551–2562. [Google Scholar] [CrossRef]
- Wang, H.B.; Sun, C.H.; Yang, Y.F. An Ultrasonic Vibration Assisted Electrical Discharge Machining Device with Workpiece Vibration. J. Appl. Sci. Eng. 2021, 24, 21–32. [Google Scholar]
- Goiogana, M.; Sarasua, J.A.; Ramos, J.M.; Echavarri, L.; Cascón, I. Pulsed Ultrasonic Assisted Electrical Discharge Machining for Finishing Operations. Int. J. Mach. Tools Manuf. 2016, 109, 87–93. [Google Scholar] [CrossRef]
- Iwai, M.; Ninomiya, S.; Suzuki, K. Improvement of EDM Properties of PCD with Electrode Vibrated by Ultrasonic Transducer. In Proceedings of the 17th CIRP Conference on Electro Physical and Chemical Machining (ISEM), Leuven, Belgium, 9–12 April 2013. [Google Scholar]
- Jabbaripour, B.; Sadeghi, M.H.; Faridvand, S.; Shabgard, M.R. Investigating the Effects of EDM Parameters on Surface Integrity, Mrr and Twr in Machining of Ti-6al-4v. Mach. Sci. Technol. 2012, 16, 419–444. [Google Scholar] [CrossRef]
- Zhang, P.; Yin, Z.; Dai, C.W.; Cao, Z.Y.; Miao, Q.; Zhang, K. The Effect of Ultrasonic Amplitude on the Performance of Ultrasonic Vibration-Assisted EDM Micro-Hole Machining. Int. J. Adv. Manuf. Technol. 2022, 122, 1513–1524. [Google Scholar] [CrossRef]










Disclaimer/Publisher’s Note: The statements, opinions and data contained in all publications are solely those of the individual author(s) and contributor(s) and not of MDPI and/or the editor(s). MDPI and/or the editor(s) disclaim responsibility for any injury to people or property resulting from any ideas, methods, instructions or products referred to in the content. |
© 2024 by the authors. Licensee MDPI, Basel, Switzerland. This article is an open access article distributed under the terms and conditions of the Creative Commons Attribution (CC BY) license (https://creativecommons.org/licenses/by/4.0/).
Share and Cite
Guo, C.; Luo, L.; Liang, Z.; Li, H.; Wang, X.; Xu, B. Comparative Study of Ultrasonic Vibration-Assisted Die-Sinking Micro-Electrical Discharge Machining on Polycrystalline Diamond and Titanium. Micromachines 2024, 15, 434. https://doi.org/10.3390/mi15040434
Guo C, Luo L, Liang Z, Li H, Wang X, Xu B. Comparative Study of Ultrasonic Vibration-Assisted Die-Sinking Micro-Electrical Discharge Machining on Polycrystalline Diamond and Titanium. Micromachines. 2024; 15(4):434. https://doi.org/10.3390/mi15040434
Chicago/Turabian StyleGuo, Cheng, Longhui Luo, Zhiqiang Liang, Hao Li, Xiawen Wang, and Bin Xu. 2024. "Comparative Study of Ultrasonic Vibration-Assisted Die-Sinking Micro-Electrical Discharge Machining on Polycrystalline Diamond and Titanium" Micromachines 15, no. 4: 434. https://doi.org/10.3390/mi15040434
APA StyleGuo, C., Luo, L., Liang, Z., Li, H., Wang, X., & Xu, B. (2024). Comparative Study of Ultrasonic Vibration-Assisted Die-Sinking Micro-Electrical Discharge Machining on Polycrystalline Diamond and Titanium. Micromachines, 15(4), 434. https://doi.org/10.3390/mi15040434

