Improved DC and RF Characteristics of GaN-Based Double-Channel HEMTs by Ultra-Thin AlN Back Barrier Layer
Abstract
1. Introduction
2. Device Structure and Fabrication
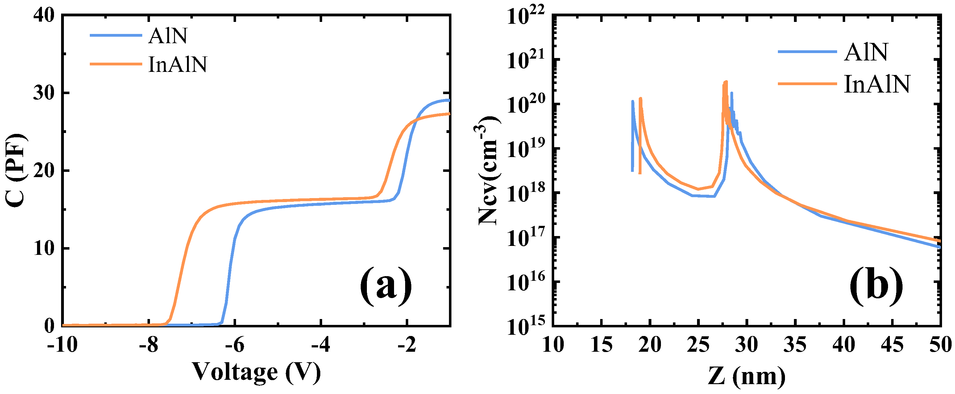
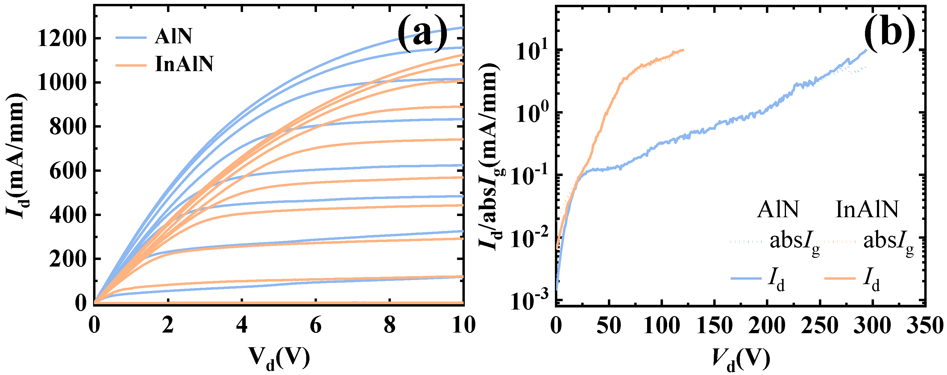
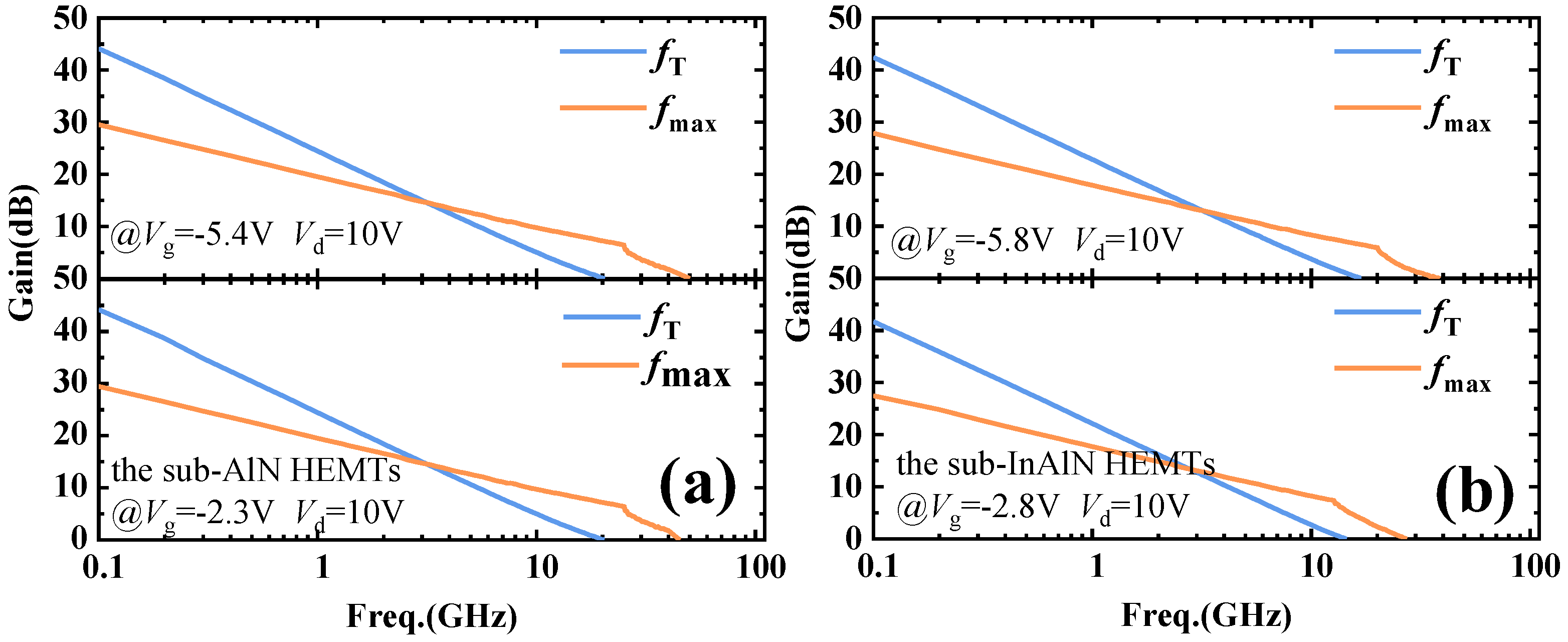
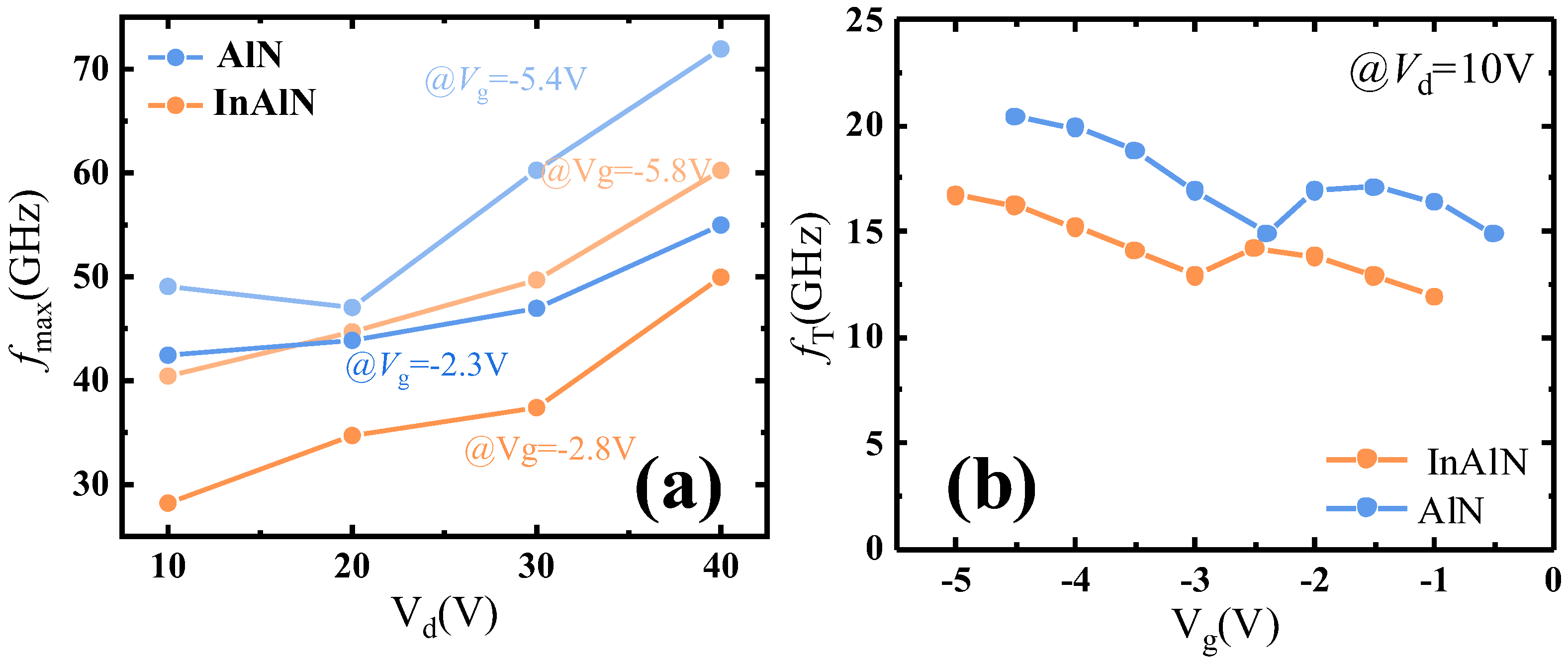
3. Results and Discussion
4. Conclusions
Author Contributions
Funding
Data Availability Statement
Conflicts of Interest
References
- Hao, Y.; Yang, L.; Ma, X.; Ma, J.; Cao, M.; Pan, C.; Wang, C.; Zhang, J. High-Performance Microwave Gate-Recessed AlGaN/AlN/GaN MOS-HEMT With 73% Power-Added Efficiency. IEEE Electron Device Lett. 2011, 32, 626–628. [Google Scholar] [CrossRef]
- Yang, L.; Zhang, M.; Hou, B.; Mi, M.; Wu, M.; Zhu, Q.; Lu, Y.; Zhu, J.; Zhou, X.; Lv, L.; et al. Improved the C–V Curve Shift, Trap State Responsiveness, and Dynamic R ON of SBDs by the Composite 2-D–3-D Channel Heterostructure Under the OFF-State Stress. IEEE Trans. Electron Devices 2020, 67, 4808–4812. [Google Scholar] [CrossRef]
- Lu, H.; Hou, B.; Yang, L.; Zhang, M.; Deng, L.; Wu, M.; Si, Z.; Huang, S.; Ma, X.; Hao, Y. High RF Performance GaN-on-Si HEMTs with Passivation Implanted Termination. IEEE Electron Device Lett. 2022, 43, 188–191. [Google Scholar] [CrossRef]
- Li, A.; Wang, C.; Xu, S.; Zheng, X.; He, Y.; Ma, X.; Lu, X.; Zhang, J.; Liu, K.; Zhao, Y.; et al. Lattice-matched AlInN/GaN multi-channel heterostructure and HEMTs with low on-resistance. Appl. Phys. Lett. 2021, 119, 122104. [Google Scholar] [CrossRef]
- Yu, Q.; Shi, C.; Yang, L.; Lu, H.; Zhang, M.; Wu, M.; Hou, B.; Jia, F.; Guo, F.; Ma, X.; et al. High Current and Linearity AlGaN/GaN/-Graded-AlGaN:Si-doped/GaN Heterostructure for Low Voltage Power Amplifier Application. IEEE Electron Device Lett. 2023, 44, 582–585. [Google Scholar] [CrossRef]
- Shinohara, K.; King, C.; Regan, E.J.; Bergman, J.; Carter, A.D.; Arias, A.; Urteaga, M.; Brar, B.; Page, R.; Chaudhuri, R.; et al. GaN-Based Multi-Channel Transistors with Lateral Gate for Linear and Efficient Millimeter-Wave Power Amplifiers. In Proceedings of the 2019 IEEE/MTT-S International Microwave Symposium—IMS 2019, Boston, MA, USA, 2–7 June 2019; pp. 1133–1135. [Google Scholar]
- Palacios, T.; Chini, A.; Buttari, D.; Heikman, S.; Chakraborty, A.; Keller, S.; DenBaars, S.; Mishra, U. Use of double-channel heterostructures to improve the access resistance and linearity in GaN-based HEMTs. IEEE Trans. Electron Devices 2006, 53, 562–565. [Google Scholar] [CrossRef]
- Tarakji, A.; Fatima, H.; Hu, X.; Zhang, J.-P.; Simin, G.; Khan, M.; Shur, M.; Gaska, R. Large-signal linearity in III-N MOSDHFETs. IEEE Electron Device Lett. 2003, 24, 369–371. [Google Scholar] [CrossRef]
- Wang, C.; Wang, X.; Zheng, X.-F.; He, Q.; Wu, J.; Tian, Y.; Mao, W.; Ma, X.H.; Hao, Y. GaN-based enhancement-mode FinFET with double-channel AlGaN/GaN heterostructure. In Proceedings of the 2018 1st Workshop on Wide Bandgap Power Devices and Applications in Asia (WiPDA Asia), Xi’an, China, 16–18 May 2018. [Google Scholar]
- Goyal, N.; Fjeldly, T.A. Effects of strain relaxation on bare surface barrier height and two-dimensional electron gas in AlxGa1-xN/GaN heterostructures. J. Appl. Phys. 2013, 113, 014505. [Google Scholar] [CrossRef]
- Gao, Z.; Meneghini, M.; Harrouche, K.; Kabouche, R.; Chiocchetta, F.; Okada, E.; Rampazzo, F.; De Santi, C.; Medjdoub, F.; Meneghesso, G.; et al. Short Term Reliability and Robustness of ultra-thin barrier, 110 nrn-gate AlN/GaN HEMTs. In Proceedings of the 2020 IEEE International Symposium on the Physical and Failure Analysis of Integrated Circuits (IPFA), Singapore, 20–23 July 2020. [Google Scholar]
- Downey, B.P.; Meyer, D.J.; Katzer, D.S.; Roussos, J.A.; Pan, M.; Gao, X. SiNx /InAlN/AlN/GaN MIS-HEMTs with 10.8 THz ·V Johnson Figure of Merit. IEEE Electron Device Lett. 2014, 35, 527–529. [Google Scholar] [CrossRef]
- Butté, R.; Carlin, J.-F.; Feltin, E.; Gonschorek, M.; Nicolay, S.; Christmann, G.; Simeonov, D.; Castiglia, A.; Dorsaz, J.; Buehlmann, H.J.; et al. Current status of AlInN layers lattice-matched to GaN for photonics and electronics. J. Phys. D Appl. Phys. 2007, 40, 6328–6344. [Google Scholar] [CrossRef]
- Minj, A.; Cavalcoli, D.; Cavallini, A. Indium segregation in AlInN/AlN/GaN heterostructures. Appl. Phys. Lett. 2010, 97, 132114. [Google Scholar] [CrossRef]
- Zhang, K.; Xue, J.; Cao, M.; Yang, L.; Chen, Y.; Zhang, J.; Ma, X.; Hao, Y. Trap states in InAlN/AlN/GaN-based double-channel high electron mobility transistors. J. Appl. Phys. 2013, 113, 174503. [Google Scholar] [CrossRef]
- Tang, J.; Wang, X.; Chen, T.; Xiao, H.; Ran, J.; Zhang, M.; Hu, G.; Feng, C.; Hou, Q.; Wei, M.; et al. Al-GaN/AlN/GaN/InGaN/GaN DH-HEMTs with improved mobility grown by MOCVD. In Proceedings of the International Conferece on Solid-State and Intergrated-Circuit Technology, Beijing, China, 20–23 October 2008; p. 1114. [Google Scholar]
- Wang, L.; Hu, W.; Chen, X.; Lu, W. Modeling of interface scattering of AlGaN/GaN/InGaN/GaN double-heterojunction HEMTs. In Proceedings of the 2011 3rd International Conference on Computer Research and Development (ICCRD), Shanghai, China, 11–13 March 2011. [Google Scholar]
- Bougrioua, Z.; Farvacque, J.L.; Moerman, I.; Carosella, F. 2DEG Mobility in AlGaN–GaN Structures Grown by LP-MOVPE. Phys. Status Solidi 2001, 228, 625–628. [Google Scholar] [CrossRef]
- Fischer, A.; Kuhne, H.; Richter, H. New Approach in Equilibrium Theory for Strained Layer Relaxation. Phys. Rev. Lett. 1994, 73, 2712–2715. [Google Scholar] [CrossRef] [PubMed]
- Tang, Y.; Shinohara, K.; Regan, D.; Corrion, A.; Brown, D.; Wong, J.; Schmitz, A.; Fung, H.; Kim, S.; Micovic, M. Ultrahigh-Speed GaN High-Electron-Mobility Transistors with fT/fmax of 454/444 GHz. IEEE Electron Device Lett. 2015, 36, 549–551. [Google Scholar] [CrossRef]
- Shrestha, P.; Guidry, M.; Romanczyk, B.; Hatui, N.; Wurm, C.; Krishna, A.; Pasayat, S.S.; Karnaty, R.R.; Keller, S.; Buckwalter, J.F.; et al. High linearity and high gain performance of N-polar GaN MIS-HEMT at 30 GHz. IEEE Electron Device Lett. 2018, 41, 681–684. [Google Scholar] [CrossRef]
- Yang, L.; Lu, H.; Zhang, M.; Niu, X.; Shi, C.; Hou, B.; Mi, M.; Wu, M.; Zhu, Q.; Lu, Y.; et al. Enhanced mobility in vertically scaled N-polar high-electron-mobility transistors using GaN/InGaN composite channels. IEEE J. Electron Devices Soc. 2022, 10, 474–480. [Google Scholar] [CrossRef]
- Minj, A.; Cavalcoli, D.; Pandey, S.; Fraboni, B.; Cavallini, A.; Brazzini, T.; Calle, F. Nanocrack-induced leakage current in AlInN/AlN/GaN. Scr. Mater. 2011, 66, 327–330. [Google Scholar] [CrossRef]
- Aminbeidokhti, A.; Dimitrijev, S.; Hanumanthappa, A.K.; Moghadam, H.A.; Haasmann, D.; Han, J.; Shen, Y.; Xu, X. Gate-Voltage Independence of Electron Mobility in Power AlGaN/GaN HEMTs. IEEE Trans. Electron Devices 2016, 63, 1013–1019. [Google Scholar] [CrossRef]
- Shi, C.; Yang, L.; Zhang, M.; Wu, M.; Hou, B.; Lu, H.; Jia, F.; Guo, F.; Liu, W.; Yu, Q.; et al. High-Efficiency AlGaN/GaN/Graded-AlGaN/GaN Double-Channel HEMTs for Sub-6G Power Amplifier Applications. IEEE Trans. Electron Devices 2023, 70, 2241–2246. [Google Scholar] [CrossRef]












Disclaimer/Publisher’s Note: The statements, opinions and data contained in all publications are solely those of the individual author(s) and contributor(s) and not of MDPI and/or the editor(s). MDPI and/or the editor(s) disclaim responsibility for any injury to people or property resulting from any ideas, methods, instructions or products referred to in the content. |
© 2024 by the authors. Licensee MDPI, Basel, Switzerland. This article is an open access article distributed under the terms and conditions of the Creative Commons Attribution (CC BY) license (https://creativecommons.org/licenses/by/4.0/).
Share and Cite
Yu, Q.; Shi, C.; Yang, L.; Lu, H.; Zhang, M.; Zou, X.; Wu, M.; Hou, B.; Gao, W.; Wu, S.; et al. Improved DC and RF Characteristics of GaN-Based Double-Channel HEMTs by Ultra-Thin AlN Back Barrier Layer. Micromachines 2024, 15, 1220. https://doi.org/10.3390/mi15101220
Yu Q, Shi C, Yang L, Lu H, Zhang M, Zou X, Wu M, Hou B, Gao W, Wu S, et al. Improved DC and RF Characteristics of GaN-Based Double-Channel HEMTs by Ultra-Thin AlN Back Barrier Layer. Micromachines. 2024; 15(10):1220. https://doi.org/10.3390/mi15101220
Chicago/Turabian StyleYu, Qian, Chunzhou Shi, Ling Yang, Hao Lu, Meng Zhang, Xu Zou, Mei Wu, Bin Hou, Wenze Gao, Sheng Wu, and et al. 2024. "Improved DC and RF Characteristics of GaN-Based Double-Channel HEMTs by Ultra-Thin AlN Back Barrier Layer" Micromachines 15, no. 10: 1220. https://doi.org/10.3390/mi15101220
APA StyleYu, Q., Shi, C., Yang, L., Lu, H., Zhang, M., Zou, X., Wu, M., Hou, B., Gao, W., Wu, S., Ma, X., & Hao, Y. (2024). Improved DC and RF Characteristics of GaN-Based Double-Channel HEMTs by Ultra-Thin AlN Back Barrier Layer. Micromachines, 15(10), 1220. https://doi.org/10.3390/mi15101220

