Hydrothermal Synthesis of Molybdenum Disulfide Quantum Dots for Highly Sensitive Detection of Iron Ions in Protein Succinate Oral Solution
Abstract
1. Introduction
2. Materials and Methods
2.1. Reagents and Instruments
2.2. Synthesis of Molybdenum Disulfide Probes
2.3. Characterization of Molybdenum Disulfide Probes
2.3.1. Infrared, UV, and Fluorescence Spectroscopy
2.3.2. X-ray Photoelectron Spectroscopy
2.3.3. Scanning Electron Microscopy and Transmission Electron Microscopy
2.4. Stability Studies
2.5. Condition Optimization
2.6. Basic Steps of Fluorescence Detection of Iron Ions
2.7. Methodological Examination
2.8. Detection of Iron Ions in Actual Samples
3. Results and Discussion
3.1. Characterization of Molybdenum Disulfide Fluorescent Probes
3.1.1. Infrared Spectroscopy and Fluorescence Mapping
3.1.2. X-ray Photoelectron Spectroscopy
3.1.3. SEM and TEM
3.2. Stability Study and Condition Optimization of Molybdenum Disulfide Fluorescent Probes
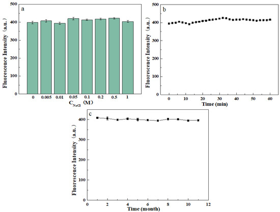
3.2.1. Stability Studies
3.2.2. Condition Optimization
3.2.3. Basic Steps of Fluorescence Detection of Iron Ions
3.3. Exploration of Mechanism
3.4. Methodological Examination
3.4.1. Precision Experiment
3.4.2. Accuracy Test
3.4.3. Detection of Iron Ions in Actual Samples
4. Conclusions
Author Contributions
Funding
Conflicts of Interest
References
- Zhou, S.; Zhou, Z.-Q.; Zhao, X.-X.; Xiao, Y.-H.; Xi, G.; Liu, J.-T.; Zhao, B.-X. A dansyl based fluorescence chemosensor for Hg2+ and its application in the compli-cated environment samples. Spectrochimica Acta Part A Mol. Biomol. Spectrosc. 2015, 148, 348–354. [Google Scholar] [CrossRef]
- Song, H.; Zhang, Z. A quinoline-based ratiometric fluorescent probe for discriminative detection of Zn2+ and Cd2+ with dif-ferent binding modes and its Zn2+ complex for relay sensing of pyrophosphate and adenosine triphosphate. Dye. Pigment. 2019, 165, 172–181. [Google Scholar] [CrossRef]
- Theil, E.C.; Goss, D.J. Living with Iron (and Oxygen): Questions and Answers about Iron Homeostasis. Chem. Rev. 2009, 109, 4568–4579. [Google Scholar] [CrossRef] [PubMed]
- Hentze, M.W.; Muckenthaler, M.U.; Galy, B.; Camaschella, C. Two to Tango: Regulation of Mammalian Iron Metabolism. Cell 2010, 142, 24–38. [Google Scholar] [CrossRef] [PubMed]
- Meynard, D.; Babitt, J.L.; Lin, H.Y. The liver: Conductor of systemic iron balance. Blood 2014, 123, 168–176. [Google Scholar] [CrossRef] [PubMed]
- Crichton, R.R.; Wilmet, S.; Legssyer, R.; Ward, R.J. Molecular and cellular mechanisms of iron homeostasis and toxicity in mamma-lian cells. J. Inorg. Biochem. 2002, 91, 9–18. [Google Scholar] [CrossRef]
- Lu, Y.-Z.; Fu, L.; Li, N.; Ding, J.; Bai, Y.-N.; Samaras, P.; Zeng, R.J. The content of trace element iron is a key factor for competi-tion between anaerobic ammonium oxidation and methane-dependent denitrification processes. Chemosphere 2018, 198, 370–376. [Google Scholar] [CrossRef]
- Stoyanovsky, D.A.; Tyurina, Y.Y.; Shrivastava, I.; Bahar, I.; Tyurin, V.A.; Protchenko, O.; Jadhav, S.; Bolevich, S.B.; Kozlov, A.V.; Vladimirov, Y.A.; et al. Iron Catalysis of Lipid Peroxidation in Ferroptosis: Regulated Enzymatic or Random Free Radical Reaction? Free Radic. Biol. Med. 2018, 133, 153–161. [Google Scholar] [CrossRef]
- Rouault, T.A.; Tong, W.-H. Iron–sulphur cluster biogenesis and mitochondrial iron homeostasis. Nat. Rev. Mol. Cell Biol. 2005, 6, 345–351. [Google Scholar] [CrossRef]
- Belaidi, A.A.; Bush, A.I. Iron neurochemistry in Alzheimer’s disease and Parkinson’s disease: Targets for therapeutics. J. Neurochem. 2016, 139 (Suppl. S1), 179–197. [Google Scholar] [CrossRef]
- Angeli, J.P.F.; Schneider, M.; Proneth, B.; Tyurina, Y.Y.; Tyurin, V.A.; Hammond, V.J.; Herbach, N.; Aichler, M.; Walch, A.; Eggenhofer, E.; et al. Tnactivation of the Ferroptosis Regulator Gpx4 Triggers Actue Renal Failure in Mice. Nat. Cell Biol. 2014, 16, 1180–1191. [Google Scholar] [CrossRef] [PubMed]
- Zeng, G.; Li, H.; Wei, Y.; Xuan, W.; Zhang, R.; Breden, L.E.; Wang, W.; Liang, F.-S. Engineering Iron Responses in Mammalian Cells by Signal-Induced Protein Proximity. ACS Synth. Biol. 2017, 6, 921–927. [Google Scholar] [CrossRef] [PubMed]
- Enami, S.; Sakamoto, Y.; Colussi, A.J. Fenton chemistry at aqueous interfaces. Proc. Natl. Acad. Sci. USA 2013, 111, 623–628. [Google Scholar] [CrossRef] [PubMed]
- Jonker, F.A.M.; Boele van Hensbroek, M. Anaemia, iron deficiency and susceptibility to infections. J. Infect. 2014, 69, S23–S27. [Google Scholar] [CrossRef]
- Nairz, M.; Schroll, A.; Haschka, D.; Dichtl, S.; Sonnweber, T.; Theurl, I.; Theurl, M.; Lindner, E.; Demetz, E.; Aßhoff, M.; et al. Lipocalin-2 ensures host defense against Salmonella Typhimurium by controlling macrophage iron homeostasis and immune response. Eur. J. Immunol. 2015, 45, 3073–3086. [Google Scholar] [CrossRef]
- Chen, S.; Zhu, J.Y.; Zang, X.; Zhai, Y.Z. The Emerging Role of Ferroptosis in Liver Diseases. Front. Cell Dev. Biol. 2021, 9, 801365. [Google Scholar] [CrossRef]
- Okonko, D.O.; Grzeslo, A.; Witkowski, T.; Mandal, A.K.J.; Slater, R.M.; Roughton, M.; Foldes, G.; Thum, T.; Majda, J.; Banasiak, W.; et al. Effect of Intravenous Iron Sucrose on Exercise Tolerance in Anemic and Non-anemic Patients with Symptomatic Chronic Heart Failure and Iron Deficiency: FERRIC-HF: A Randomized, Controlled, Observer-Blinded Trial. J. Am. Coll. Cardiol. 2008, 51, 103–112. [Google Scholar] [CrossRef]
- Freixenet, N.; Vilardell, C.; Llauradó, G.; Giménez-Palop, O.; Berlanga, E.; Gutiérrez, C.; Caixàs, A.; Vendrell, J.; González-Clemente, J.M. Men with hyperferritinemia and diabetes in the Mediterranean area do not have a higher iron overload than those without diabetes. Diabetes Res. Clin. Pract. 2011, 91, e33–e36. [Google Scholar] [CrossRef]
- Kennish, L.; Attur, M.; Huang, X.; Lai, Y.; Liu, C.; Krasnokutsky, S.; Samuels, J.; Abramson, S. Iron Overload and Hemochromatosis (HFE) Mutation Correlate with Clinical Outcomes in an Osteoarthritis Cohort. Osteoarthr. Cartil. 2011, 19, S143–S144. [Google Scholar] [CrossRef]
- Xu, Y. Comparative clinical study of the serum “iron overload indication” in elderly females with hi fracture induced by oste-oporosis. Bone 2010, 47, S367. [Google Scholar] [CrossRef]
- Dongiovanni, P.; Fracanzani, A.L.; Fargion, S.; Valenti, L. Iron in fatty liver and in the metabolic sndrome: A promising therapeutic target. J. Herpetol. 2011, 55, 920–932. [Google Scholar]
- McLaren, C.E.; Gordeuk, V.R.; Chen, W.-P.; Barton, J.C.; Action, R.T.; Speechley, M.; Castro, O.; Adams, P.C.; Snively, B.M.; Harris, E.L.; et al. Bivariate mixture modeling of transferrin saturation and serum ferritin con-centration in Asians, African Americans, Hispanics, and whites in the Hemochromatosis and Iron Overload Screening (HEIRS) Study. Transl. Rev. 2008, 151, 97–109. [Google Scholar]
- Ozbek, N. Simultaneous determination of Co, Fe, Ni and K with HR CS GFAA. Microchem. J. 2019, 145, 1066–1069. [Google Scholar] [CrossRef]
- Chen, S.; Li, N.; Zhang, X.; Yang, D.; Jiang, H. Online spectrophotometric determination of Fe(II) and Fe(III) by flow injection combined with low pressure ion chromatography. Spectrochim. Acta Part A Mol. Biomol. Spectrosc. 2015, 138, 375–380. [Google Scholar] [CrossRef] [PubMed]
- Feng, L.X.; Wang, J.; Li, H.M.; Luo, X.; Li, J. A novel absolute quantitative imaging strategy of iron, copper and zincin brain tissues by isotope dilution laserab lation ICP-MS. Anal. Chim. Acta 2017, 984, 66–75. [Google Scholar] [CrossRef] [PubMed]
- Wang, G.; Liu, X.; Cai, S.; Zhang, S.; Cui, J.; Gao, C.; Cheng, Z. A Pyrene Fluorescent Probe for Rapid Detection of Ferric Ions. J. Fluoresc. 2021, 31, 713–718. [Google Scholar] [CrossRef]
- Cheng, Y.; Shabir, G.; Li, X.; Fang, L.; Xu, L.; Zhang, H.; Li, E. Development of a deep-red fluorescent glucose-conjugated bioprobe for in vivo tumor targeting. Chem. Commun. 2019, 56, 1070–1073. [Google Scholar] [CrossRef]
- Ma, S.; Fang, D.-C.; Ning, B.; Li, M.; He, L.; Gong, B. The rational design of a highly sensitive and selective fluorogenic probe for detecting nitric oxide. Chem. Commun. 2014, 50, 6475–6478. [Google Scholar] [CrossRef]
- Ding, Y.; Tang, Y.; Zhu, W.; Xie, Y. Fluorescent and colorimetric ion probes based on conjugated oligopyrroles. Chem. Soc. Rev. 2015, 44, 1101–1112. [Google Scholar] [CrossRef]
- Zhao, M.; Song, P.; Teng, J. Electrically and optically tunable responses in graphene/transition metal dichalcogenide hetero-structures. ACS Appl. Mater. Interfaces 2018, 10, 44102–44108. [Google Scholar] [CrossRef]
- Wang, Q.H.; Kalantar-Zadeh, K.; Kis, A.; Coleman, J.N.; Strano, M.S. Electronics and optoelectronics of two-dimensional transition metal dichalcogenides. Nat. Nanotechnol. 2012, 7, 699–712. [Google Scholar] [CrossRef]
- Huo, N.; Yang, Y.; Li, J. Optoelectronics based on 2D TMDs and heterostructures. J. Semicond. 2017, 38, 031002. [Google Scholar] [CrossRef]
- Zeng, Q.; Liu, Z. Novel optoelectronic devices: Transition-metal-dichalcogenide-based 2D heterostructures. Adv. Electron. Mater. 2018, 15, 1700335. [Google Scholar] [CrossRef]
- Miao, P.; Ma, Y.; Sun, M.; Li, J.; Xu, P. Tuning the SERS activity and plasmon-driven reduction of p-nitrothiophenol on a Ag@MoS2 film. Faraday Discuss. 2018, 214, 297–307. [Google Scholar] [CrossRef] [PubMed]
- Su, S.; Zhang, C.; Yuwen, L.; Chao, J.; Zuo, X.; Liu, X.; Song, C.; Fan, C.; Wang, L. Creating SERS hot spots on MoS2 nanosheets with in situ grown gold nanopartictes. ACS Appl. Mater. Interfaces 2014, 6, 18735–18741. [Google Scholar] [CrossRef]
- Jiang, S.; Guo, J.; Zhang, C.; Li, C.; Wang, M.; Li, Z.; Gao, S.; Chen, P.; Si, H.; Xu, S. A sensitive, uniform, reproducible and stable SERS substrate has been presented based on MoS2@Ag nanoparticles@pyramidal silicon. RSC Adv. 2017, 7, 5764–5773. [Google Scholar] [CrossRef]
- Zhou, H.; Yu, F.; Guo, C.F.; Wang, Z.; Lan, Y.; Wang, G.; Fang, Z.; Liu, Y.; Chen, S.; Sun, L.; et al. Well-oriented epitaxial gold nanotriangles and bowties on MoS2 for surface-enhanced Raman scattering. Nanoscale 2015, 7, 9153–9157. [Google Scholar] [CrossRef]
- Xu, Y.; Yang, C.; Jiang, S.; Man, B.; Liu, M.; Chen, C.; Zhang, C.; Sun, Z.; Qiu, H.; Li, H.; et al. Layer-controlled large area MoS2 layers grown on mica substrate for surface-enhanced Raman scattering. Appl. Surf. Sci. 2015, 357, 1708–1713. [Google Scholar] [CrossRef]
- Gan, Z.X.; Liu, L.Z.; Wu, H.Y.; Hao, Y.L.; Shan, Y.; Wu, X.L.; Chu, P.K. Quantum confinement effects across two-dimensional planes in MoS2 quantum dots. Appl. Phys. Lett. 2015, 106, 233113. [Google Scholar] [CrossRef]
- Li, L.; Guo, Z.; Wang, S.; Li, D.; Hou, X.; Wang, F.; Yang, Y.; Yang, X. Facile synthesis of MoS2 quantum dots as fluorescent probes for sensing of hydroquinone and bioimaging. Anal. Methods 2019, 11, 3307–3313. [Google Scholar] [CrossRef]
- Zhou, K.; Zhang, Y.; Xia, Z.; Wei, W. As-prepared MoS2 quantum dot as a facile fluorescent probe for long-term tracing of live cells. Nanotechnology 2016, 27, 275101. [Google Scholar] [CrossRef] [PubMed]
- Mishra, H.; Singh, S.K.; Singh, V.K.; Singh, J.; Srikrishna, S.; Srivastava, A. ighly stable and bio-compatible fluorescent molybdenum sulfide quantum dots for imaging of alimentary canal in drosophila. J. Lumin. 2018, 202, 111–117. [Google Scholar] [CrossRef]
- Cao, H.; Huang, Y.; Xie, Y.; Shi, W.; Fu, C.; He, W. A fast-responsive fluorescent probe for sensitive detection of graphene oxide based on MoS2 quantum dots. Analyst 2018, 143, 3107–3113. [Google Scholar] [CrossRef] [PubMed]
- Lin, T.-W.; Dhenadhayalan, N.; Lee, H.-L.; Lin, Y.-T.; Lin, K.-C.; Chang, A. Fluorescence turn-on chemosensors based on surface-functionalized MoS2 quantum dots. Sens. Actuators B Chem. 2018, 281, 659–669. [Google Scholar] [CrossRef]
- Wu, Q.; Wang, X.; Jiang, Y.; Jiang, Y.; Sun, W.; Wang, C.; Yang, M.; Zhang, C. MoS2 QDs based dual-model photoluminescence sensing platform for effective determina-tion of Al3+ and Fe3+ simultaneously in various environment. Chem. Sel. 2018, 3, 2326–2331. [Google Scholar]
- Fahimi, K.N.; Rashti, A.; Hormozi, N.M.; Mahdavic, V. MoS2 quantum dots as a label-free fluorescent nanoprobe for the highly selec-tive detection of methyl parathion pesticide. Anal. Methods 2017, 9, 716–723. [Google Scholar] [CrossRef]
- Su, W.; Wang, Y.; Wu, W.; Qin, H.; Song, K.; Huang, X.; Zhang, L.; Chen, D. Towards full-colour tunable photoluminescence of monolayer MoS2/carbon quantum dots ultrathin films. J. Mater. Chem. C 2017, 5, 6352–6358. [Google Scholar] [CrossRef]
- Chen, I.-W.P.; Hsiao, C.-H.; Huang, J.-Y.; Peng, Y.-H.; Chang, C.-Y. Highly Efficient Hydrogen Evolution from Seawater by Biofunctionalized Exfoliated MoS2 Quantum Dot Aerogel Electrocatalysts That Is Superior to Pt. ACS Appl. Mater. Interfaces 2019, 11, 14159–14165. [Google Scholar] [CrossRef]
- Liu, S.; Zhang, X.; Zhang, J.; Lei, Z.; Liang, X.; Chen, B. MoS2 with tunable surface structure directed by thiophene adsorption toward HDS and HER. Sci. China Mater. 2016, 59, 1051–1061. [Google Scholar] [CrossRef]
- Ou, G.; Fan, P.; Ke, X.; Xu, Y.; Huang, K.; Wei, H.; Yu, W.; Zhang, H.; Zhong, M.; Wu, H.; et al. Defective molybdenum sulfide quantum dots as highly active hydrogen evolution electrocatalysts. Nano Res. 2017, 11, 751–761. [Google Scholar] [CrossRef]
- Xing, W.; Chen, Y.; Wang, X.; Lv, L.; Ouyang, X.; Ge, Z.; Huang, H. MoS2 Quantum Dots with a Tunable Work Function for High-Performance Organic Solar Cells. ACS Appl. Mater. Interfaces 2016, 8, 26916–26923. [Google Scholar] [CrossRef] [PubMed]
- Takagi, H.; Ohtsu, I. l-Cysteine Metabolism and Fermentation in Microorganisms. Amino Acid Ferment. 2016, 159, 129–151. [Google Scholar] [CrossRef]
- Wendisch, V.F. Metabolic engineering advances and prospects for amino acid production. Metab. Eng. 2019, 58, 17–34. [Google Scholar] [CrossRef] [PubMed]
- Yin, J.; Ren, W.; Yang, G.; Duan, J.; Huang, X.; Fang, R.; Li, C.; Li, T.; Yin, Y.; Hou, Y.; et al. l-Cysteine metabolism and its nutritional implications. Mol. Nutr. Food Res. 2015, 60, 134–146. [Google Scholar] [CrossRef] [PubMed]
- Calzetta, L.; Matera, M.G.; Rogliani, P.; Cazzola, M. Multifaceted activity of N-acetyl-l-cysteine in chronic obstructive pulmonary disease. Expert Rev. Respir. Med. 2018, 12, 693–708. [Google Scholar] [CrossRef] [PubMed]
- Brzezinski, K.; Czyrko, J.; Sliwiak, J.; Nalewajko-Sieliwoniuk, E.; Jaskolski, M.; Nocek, B.; Dauter, Z. S-adenosyl-L-homocysteine hydrolase from a hyperthermophile (Thermotoga maritima) is expressed in Escherichia coli in inactive form—Biochemical and structural studies. Int. J. Biol. Macromol. 2017, 104, 584–596. [Google Scholar] [CrossRef]
- Ha, J.H.; Kim, K.M.; Jeong, Y.J.; Park, Y.M.; Lee, J.-Y.; Park, J.; Park, S.N. Synthesis, Antioxidative and Whitening Effects of Novel Cysteine Derivatives. Bull. Korean Chem. Soc. 2017, 38, 78–84. [Google Scholar] [CrossRef]
- Zhang, B.; Fu, W.; Li, H.; Fu, X.; Wang, Y.; Bala, H.; Wang, X.; Sun, G.; Cao, J.; Zhang, Z. Synthesis and enhanced gas sensing properties of flower-like ZnO nanorods decorated with discrete CuO nanoparticles. Mater. Lett. 2016, 176, 13–16. [Google Scholar] [CrossRef]
- Wang, Y.; Ni, Y. Molybdenum Disulfide Quantum Dots as a Photoluminescence Sensing Platform for 2,4,6-Trinitrophenol Detection. Anal. Chem. 2014, 86, 7463. [Google Scholar] [CrossRef]
- Cao, H.; Wang, H.; Huang, Y.; Sun, Y.; Shi, S.; Tang, M. Quantification of gold (III) in solution and with a test stripe via the quenching of the fluo-rescence of molybdenum disulfide quantum dots. Microchim. Acta 2017, 184, 91–100. [Google Scholar] [CrossRef]
- Zhang, S.; Jia, X.F.; Wang, E.K. Facile synthesis of optically pH-sensitive molybdenum disulfide quantum dots. Nanoscale 2016, 8, 15152–15157. [Google Scholar] [CrossRef] [PubMed]
- Xu, S.J.; Li, D.; Wu, P.Y. One-Pot, Facile, and Versatile Synthesis of Monolayer MoS2/WS2 Quantum Dots as Bioimaging Probes and Efficient Electrocatalysts for Hydrogen Evolution Reaction. Adv. Funct. Mater. 2015, 1127–1136. [Google Scholar] [CrossRef]
- Gopalakrishnan, D.; Damien, D.; Li, B.; Gullappalli, H.; Pillai, V.K.; Ajayan, P.M.; Shaijumon, M.M. Electrochemical synthesis of luminescent MoS2 quantum dots. Chem. Commun. 2015, 51, 6293–6296. [Google Scholar] [CrossRef] [PubMed]
- Li, B.L.; Chen, L.X.; Zou, H.L.; Lei, J.L.; Luo, H.Q.; Li, N.B. Electrochemically induced Fenton reaction of few-layer MoS2 nanosheets: Preparation of luminescent quantum dots via a transition of nanoporous morphology. Nanoscale 2014, 6, 9831–9838. [Google Scholar] [CrossRef]
- Wang, Y.; Ou, J.Z.; Balendhran, S.; Chrimes, A.F.; Mortazavi, M.; Yao, D.D.; Field, M.R.; Latham, K.; Bansal, V.; Friend, J.R.; et al. Electrochemical Control of Photoluminescence in Two-Dimensional MoS2 Nanoflakes. ACS Nano 2013, 7, 10083–10093. [Google Scholar] [CrossRef]
- Gopalakrishnan, D.; Damien, D.; Shaijumon, M.M. MoS2 Quantum Dot-Interspersed Exfoliated MoS2 Nanosheets. ACS Nano 2014, 8, 5297–5303. [Google Scholar] [CrossRef]







| Number of Measurements | ∆I (I0 − I) | ∆I Average Value | RSD (%) |
|---|---|---|---|
| 1 | 205.33 | ||
| 2 | 208.45 | ||
| 3 | 206.31 | ||
| 4 | 206.84 | 206.34 | 0.47 |
| 5 | 205.76 | ||
| 6 | 206.47 | ||
| 7 | 205.91 | ||
| 8 | 205.66 |
| Probe Concentration (mol/L) | Recover Amount (mol/L) | Recovery Rate (%) | Average Recovery Rate (%) | RSD (%) |
|---|---|---|---|---|
| 9.66 × 10−6 | 96.6 | |||
| 0.5 × 10−5 | 9.32 × 10−6 | 93.2 | 95.1 | 1.84 |
| 9.56 × 10−6 | 95.6 | |||
| 9.24 × 10−6 | 92.4 | |||
| 2.5 × 10−5 | 9.62 × 10−6 | 96.2 | 95.5 | 1.52 |
| 9.38 × 10−6 | 93.8 | |||
| 9.54 × 10−6 | 95.4 | |||
| 4.5 × 10−5 | 9.26 × 10−6 | 92.6 | 94.2 | 1.55 |
| 9.47 × 10−6 | 94.7 |
| Sample | Add Amount (mol/L) | Found (μM) (mol/L) | Average Recovery (%) | RSD (%, n = 3) |
|---|---|---|---|---|
| 1 | 1 × 10−6 | 0.9 ± 0.2 | 95.8% | 1.42 |
| 2 | 5 × 10−6 | 4.9 ± 0.2 | 95.6% | 1.26 |
| 3 | 10 × 10−6 | 9.8 ± 0.2 | 94.6% | 1.16 |
Disclaimer/Publisher’s Note: The statements, opinions and data contained in all publications are solely those of the individual author(s) and contributor(s) and not of MDPI and/or the editor(s). MDPI and/or the editor(s) disclaim responsibility for any injury to people or property resulting from any ideas, methods, instructions or products referred to in the content. |
© 2023 by the authors. Licensee MDPI, Basel, Switzerland. This article is an open access article distributed under the terms and conditions of the Creative Commons Attribution (CC BY) license (https://creativecommons.org/licenses/by/4.0/).
Share and Cite
Lang, Y.; Xu, S.; Zhang, C. Hydrothermal Synthesis of Molybdenum Disulfide Quantum Dots for Highly Sensitive Detection of Iron Ions in Protein Succinate Oral Solution. Micromachines 2023, 14, 1368. https://doi.org/10.3390/mi14071368
Lang Y, Xu S, Zhang C. Hydrothermal Synthesis of Molybdenum Disulfide Quantum Dots for Highly Sensitive Detection of Iron Ions in Protein Succinate Oral Solution. Micromachines. 2023; 14(7):1368. https://doi.org/10.3390/mi14071368
Chicago/Turabian StyleLang, Yan, Shuru Xu, and Chunbin Zhang. 2023. "Hydrothermal Synthesis of Molybdenum Disulfide Quantum Dots for Highly Sensitive Detection of Iron Ions in Protein Succinate Oral Solution" Micromachines 14, no. 7: 1368. https://doi.org/10.3390/mi14071368
APA StyleLang, Y., Xu, S., & Zhang, C. (2023). Hydrothermal Synthesis of Molybdenum Disulfide Quantum Dots for Highly Sensitive Detection of Iron Ions in Protein Succinate Oral Solution. Micromachines, 14(7), 1368. https://doi.org/10.3390/mi14071368
