Abstract
Stochastic computing (SC) is widely known for its high error tolerance and efficient computing ability of complex functions with remarkably simple logic gates. The noise of electronic devices is widely used to be the entropy source due to its randomness. Compared with thermal noise and random telegraph noise (RTN), flicker noise is favored by researchers because of its high noise density. Meanwhile, unlike using RRAM, PCRAM and other emerging memory devices as the entropy source, using logic devices does not require any additional process steps, which is significant for industrialization. In this work, we systematically and statistically studied the 1/f noise characteristics of 14 nm FinFET, and found that miniaturizing the channel area of the device or lowering the ambient temperature can effectively increase the 1/f noise density of the device. This is of great importance to improve the accuracy of the SC system and simplify the complexity of the stochastic number generator (SNG) circuit. At the same time, these rules of 1/f noise characteristics in FinFET devices can provide good guidance for our device selection in circuit design.
1. Introduction
As device scaling continues to nanoscale dimensions, the reliability of integrated circuits will continue to become a greater problem. The expected higher probability of failure as well as the higher sensitivities to variations could make future integrated circuits more unreliable [,,]. Stochastic computing (SC), an operation based on stochastic bit streams (SBS), is broadly similar to brain’s neural spike sequences. Its key feature is the use of low-cost and low-power logic elements to implement complex numerical operations in a highly fault-tolerant manner [,,]. Moreover, SC can be implemented for several useful applications effectively such as image processing [], scientific computing [] and neural network computing, etc. In 2020, for example, professor Kaushik Roy [] discussed how to use the stochastic sigmoid-like characteristics of spin-orbit torque magnetic tunnel junctions (SOT-MTJ) to realize stochastic neural networks. Finally, they observed that in a network with full-precision weights, having stochastic binary activations reduces the energy consumption by ~40%. In addition, networks with binary weights achieve ~28× improvement in energy consumption compared with a typical CMOS-based von Neumann system. Nevertheless, the accuracy of SC severely depends on the length and correlation of SBS []. Therefore, it is highly demanded to find a stochastic number generator (SNG) to generate long and independent SBS, which is critical for the accuracy of the SC system.
At present, there are two main ways to implement SNG: one is the linear feedback shift registers (LFSR)-based pseudo stochastic number generator (PSNG) [,,,], as shown in Figure 1a. It can generate a pseudo-random sequence with a period of 2n − 1 by using an LFSR circuit composed of n flip-flops. The hardware implementation of this method is very convenient. However, it generates periodic pseudo-random numbers, which will have a bad impact on the calculation accuracy of SC. In 2020, for example, professor Salehi [] proposed an area-efficient SNG by sharing the permuted output of one linear feedback shift register among several SNGS. Although this method reduces the circuit area, it requires increased hardware complexity to reduce the correlation between the generated bit streams. The other one is to use internal noise of electronic devices (such as MOS devices or emerging memory devices) to realize SNG as shown in Figure 1b. In 2021, for example, our team [] proposed a 128 kb RRAM flicker-noise-based stochastic computing chip. The basic idea is to use flicker noise in RRAM as the entropy source for SNG, and finally this RRAM-flicker-noise-based SC chip is successfully implemented for image edge detection. Compared with emerging memory devices, MOS devices do not need additional processes, which is more convenient and economical. Generally, there are mainly three kinds of noise including thermal noise, RTN and flicker noise. All of these three kinds of noise have been exploited as entropy source due to its natural randomness, as shown in Figure 2a,b. Compared with thermal noise [], RTN [,], flicker noise [] has the advantage of high noise density, which is beneficial for the SC application. Thus, it is important to study SNG based on the flicker noise of MOS devices for the industrialization of the SC system.

Figure 1.
(a) LFSR-based PSNG. (b) MOS noise-based SNG.

Figure 2.
(a) Illustration of different noise types in electronic devices. (b) Comparison of different noise types as entropy sources [,,,].
Up to now, most articles focus on how to reduce the flicker noise [,,]. However, for the SC application, it is essential to acquire noise with high density. In this work, we systematically and statistically study the flicker noise characteristics of 14 nm FinFET devices. It is found that the channel area of logic devices and the operating temperature are the two key factors to improve the noise density of the MOS devices.
2. Device Fabrication and Experiments
The FinFET devices are fabricated based on the Semiconductor Manufacturing International Corporation (SMIC) 14 nm FinFET CMOS process platform. The Fin width (Tfin) and height (Hfin) were 12 nm and 21 nm, respectively, and the effective device width was approximately given by Nfinger × Nfin × (2 × Hfin + Tfin). So, the channel area of the FinFET device is calculated as follows:
Here, A is the channel area, Weff is the effective device width, and L is the channel length
A series of experiments was performed to characterize the electrical parameters of the tested devices, including the ID-VG tests and the 1/f noise tests. Before measuring 1/f noise, we first need to measure the Vth value of the device under test. At this time, the device under the test is connected to the Agilent B1500 semiconductor parameter analyzer through the SUMMIT 12000B probe station. Then, scan the ID-VG curve of the device and calculate the Vth value of the device through the extrapolated threshold voltage method. Next, we need to disconnect the device from the B1500, then connect it to the Proplus 9821DX noise measurement system through the probe station, apply bias to the gate and drain of the device, VG = Vth, VD = 0.1 V, and then start measuring 1/f noise.
3. Results and Discussion
In the characteristics of 1/f noise in 2D logic devices, researchers generally believe that the normalized drain current noise (A × SID/ID2) is approximately a constant when VGS equals to Vth, and the amplitude of normalized drain current noise (SID/ID2) is inversely proportional to the area of the device channel []. Here, A is the area of the device channel, SID is the current noise of the drain end, and ID is the current of the drain end. In order to systematically explore the 1/f noise characteristics of 3D logic devices, we have made a statistical study of three different FinFET devices, namely 4Fin-2Finger, 4Fin-1Finger and 2Fin-1Finger. As shown in Figure 3a, the normalized drain current noise (A × SID/ID2) is also approximately a constant in three FinFET devices with different structures. Compared with the other three 2D logic devices, namely HKMG with a 28 nm process, PolySiON with a 28 nm process and HLMC with a 40 nm process, it is found that the normalized drain current noise (A × SID/ID2) parameters of devices with different process nodes, different materials and different structures are all approximately a constant, as shown in Figure 3b. This shows that the amplitude of the normalized drain current noise (SID/ID2) has nothing to do with the process node, material and structure, but only with the area of the channel, whether in 2D or 3D logic devices. Therefore, reducing the channel area is one of the effective ways to obtain high-density noise. In addition, we can see from Figure 3b that the variance of the normalized drain current noise (A × SID/ID2) of devices with different process nodes is different, and as the process node decreases, the variance of the normalized drain current noise (A × SID/ID2) also becomes smaller. A possible reason is that as process nodes are scaled down, the variability in defect density distribution in the device channels also decreases.

Figure 3.
(a) Normalized noise level of three FinFET devices with different structures at f = 1000 Hz, which are 4Fin-2Finger, 4Fin-1Finger and 2Fin-1Finger. (b) Normalized noise level of four different devices at f = 1000 Hz, which are 28 nm HKMG MOSFET, 40 nm MOSFET, 14 nm FinFET, and 28 nm PloySiON MOSFET.
In order to explore other methods to improve the amplitude of 1/f noise, we further study the origin of 1/f noise of 3D FinFET devices. Currently, there are two main physical models to explain 1/f noise, McWhorter’s model [] (noise caused by carrier number fluctuation, CNF), described with Formulas (2) and (3), and Hooge’s model [] (noise caused by mobility fluctuation, MF), described with Formula (4).
Here, gm is the transconductance, is the drain current, and is the flat band voltage noise. is as shown in Formula (3), where is unit charge, is the Boltzmann constant, is the temperature, λ is the tunneling attenuation length, is the trap density, is the channel width, is the channel length, is the oxide capacitance, and is the frequency.
Here, is the Hooge parameter. VD is the bias voltage on the drain end.
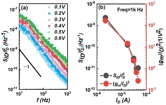
From Formula (2), we know that when carrier number fluctuation (CNF) plays a major role, the trends of normalized drain current noise (/) and (gm/ID)2 are the same. On the other hand, according to Formula (4), normalized drain current noise (SID/ID2) is inversely proportional to the drain current. As shown in Figure 4a, we measured the noise density curves under different VGS biases. Meanwhile, the relationship between noise density and the ID of the device at 1000 Hz is drawn in Figure 4b. The trend of noise density and ID is the same as that of its (gm/ID)2 and ID.

Figure 4.
(a) The 1/f noise results of the FinFET device in the subthreshold region; the VG voltage ranges from 0.1 V to 0.6 V in step of 0.1 V. (b) Normalized drain current noise (SID/ID2) has the same trend as (gm/ID)2, which indicates the 1/f noise behaviors can be interpreted with McWhoter’s model.
Therefore, for 3D FinFET devices, McWhoter’s carrier number fluctuation model plays a major role, which is the same as that of 2D logic devices.
According to McWhoter’s carrier number fluctuation model, temperature and trap density can significantly affect the noise amplitude. In order to study the effect of temperature, we measured the noise density curves of the devices in the temperature range of 218–298 K, as shown in Figure 5a. It can be seen that normalized drain current noise (SID/ID2) of 3D FinFET devices is inversely proportional to temperature. Generally speaking, low-frequency noise or 1/f noise is considered to be the superposition of multiple RTNs of different time constants. RTN and 1/f noise are known to be caused by defects (or traps) close to the silicon–oxide interface. These defects (or traps) capture and release carriers from and into the inversion channel, causing fluctuations in the drain current. Recent observations show that oxide relaxation is now considered to be the determinant factor for a carrier to be trapped [,]. The average time to capture, , is modeled as

Figure 5.
(a) The 1/f noise curves of FinFET device under different temperatures in the range from 218 K to 298 K. Both show the temperature dependence. (b) The ID-VGS transfer curves. (c) T dependence of field-effect mobility µ (red) and the normalized power spectral density SID/ID2 (black).
Here, ns is the channel carrier density, th is mean thermal voltage of carriers, and is capture cross-section. is a scaling parameter. k is the Boltzmann constant and T is the absolute temperature. EB is the energy barrier for a carrier to be trapped. With the increase in temperature, an exponential decrease in is expected according to the model. In addition, time to emission, , is modeled as
Similarly, also decreases exponentially with the increase in temperature. Therefore, at the condition of low temperature and normal temperature, as the temperature rises, these defects (or traps) at the interface capture and release electrons faster. In this condition, some of these defects (or traps) cannot be captured. As a result, the density of traps that can contribute to 1/f noise is reduced, which ultimately leads to a reduction in 1/f noise.
At the same time, we also measured the ID-VGS curve of the device in the temperature range of 218–298 K and calculated the relationship between carrier mobility and temperature as shown in Figure 5b,c. It can see that the mobility decreases with the increase in temperature in the linear region (VDS = 0.1 V), which is consistent with the trend of noise density and temperature. This result further verifies that the 3D FinFET devices conforms to McWhoter’s model. Thus, reducing the ambient temperature provides a new way to obtain larger noise without reducing the channel area of the device.
4. Conclusions
In this work, we systematically and statistically studied the 1/f noise characteristics of 3D FinFET devices. First of all, we find that the normalized drain current noise (A × SID/ID2) is approximately a constant for both 2D and 3D logic devices, which indicates that the amplitude of the normalized drain current noise (SID/ID2) has nothing to do with the process node, material and structure of the device, but only with the channel area of the device. Secondly, the low-temperature environment can effectively increase the noise amplitude of the device. These methods can serve as a good guide, ultimately allowing the 1/f noise of MOSFET devices to be better applied in stochastic computing systems. For example, on the one hand, when we design the SNG circuit of the SC system, we can choose devices with as few fingers and fins as noise source devices. In this way, the smaller the channel area of the device, the greater the amplitude of its intrinsic 1/f noise. A larger noise amplitude is beneficial to the parameter design of the subsequent stage noise sampling circuit and the reliability of the circuit. On the other hand, when we design other peripheral circuits of the SC system, we can choose as many fingers and fins devices as possible, so that the intrinsic 1/f noise of the device can be well suppressed by increasing the device channel area, thus further improving the reliability of the overall circuit.
Author Contributions
Conceptualization, D.D.; Formal analysis, W.S.; Investigation, J.L.; Methodology, Y.Y., T.G. and X.Z.; Supervision, X.X.; Writing—original draft, J.Y. and S.F.; Writing—review and editing, D.D. All authors have read and agreed to the published version of the manuscript.
Funding
This work was supported in part by the Strategic Priority Research Program of the CAS (Grant No. XDA0330100), and in part by the NSFC (Grants Nos. 61834009, 62025406, 62061136009, 61904197, 92164204, 62322412), in part by the China Association for Science and Technology 2019Q1NRC001 and Youth innovation Promotion Association CAS.
Data Availability Statement
The data that support the findings of this study are available from the corresponding author upon request.
Conflicts of Interest
The authors declare no conflict of interest.
References
- Karimi, N.; Maniatakos, M.; Tirumurti, C.; Jas, A.; Makris, Y. Impact analysis of performance faults in modern microprocessors. In Proceedings of the IEEE International Conference on Computer Design, Lake Tahoe, CA, USA, 4–7 October 2009; pp. 91–96. [Google Scholar]
- Panhofer, T.; Friesenbichler, W.; Delvai, M. Fault tolerant four-state logic by using self-healing cells. In Proceedings of the 2008 IEEE International Conference on Computer Design, Lake Tahoe, CA, USA, 12–15 October 2008; pp. 1–6. [Google Scholar]
- Mohyuddin, N.; Pakbaznia, E.; Pedram, M. Probabilistic error propagation in a logic circuit using the boolean difference calculus. In Advanced Techniques in Logic Synthesis, Optimizations and Applications; Springer: Berlin/Heidelberg, Germany, 2011; pp. 359–381. [Google Scholar]
- Gaines, B.R. Stochastic computing systems. In Advances in Information Systems Science; Springer: Boston, MA, USA, 1969; pp. 37–172. [Google Scholar]
- Hu, J.; Li, B.; Ma, C.; Lilja, D.; Koester, S.J. Spin-hall-effect-based stochastic number generator for parallel stochastic computing. IEEE Trans. Electron Devices 2019, 66, 3620–3627. [Google Scholar] [CrossRef]
- Knag, P.; Gaba, S.; Lu, W.; Zhang, Z. RRAM solutions for stochastic computing. In Stochastic Computing: Techniques and Applications; Springer: Berlin/Heidelberg, Germany, 2019; pp. 153–164. [Google Scholar]
- Alaghi, A.; Li, C.; Hayes, J.P. Stochastic circuits for real-time image-processing applications. In Proceedings of the 50th Annual Design Automation Conference, Austin, TX, USA, 29 May 2013; pp. 1–6. [Google Scholar]
- Raj, S.; Chakraborty, D.; Jha, S.K. In-memory flow-based stochastic computing on memristor crossbars using bit-vector stochastic streams. In Proceedings of the IEEE 17th International Conference on Nanotechnology (IEEE-NANO), Pittsburgh, PA, USA, 25–28 July 2017; pp. 855–860. [Google Scholar]
- Agrawal, A.; Chakraborty, I.; Roy, D.; Saxena, U.; Sharmin, S.; Koo, M.; Shim, Y.; Srinivasan, G.; Liyanagedera, C.; Sengupta, A.; et al. Revisiting Stochastic Computing in the Era of Nanoscale Nonvolatile Technologies. IEEE Trans. Very Large-Scale Integr. (VLSI) Syst. 2020, 28, 2481–2494. [Google Scholar] [CrossRef]
- Zhao, Y.; Shen, W.; Huang, P.; Xu, W.; Fan, M.; Liu, X.; Kang, J. A physics-based model of RRAM probabilistic switching for generating stable and accurate stochastic bit-streams. In Proceedings of the IEEE International Electron Devices Meeting (IEDM), San Francisco, CA, USA, 7–11 December 2019; pp. 32–34. [Google Scholar]
- Gupta, P.K.; Kumaresan, R. Binary multiplication with PN sequences. IEEE Trans. Acoust. Speech Signal Process. 1988, 36, 603–606. [Google Scholar] [CrossRef]
- Ichihara, H.; Ishii, S.; Sunamori, D.; Iwagaki, T.; Inoue, T. Compact and accurate stochastic circuits with shared random number sources. In Proceedings of the IEEE 32nd International Conference on Computer Design (ICCD), Seoul, Republic of Korea, 19–22 October 2014; pp. 361–366. [Google Scholar]
- Kim, K.; Lee, J.; Choi, K. An energy-efficient random number generator for stochastic circuits. In Proceedings of the 21st Asia and South Pacific Design Automation Conference (ASP-DAC), Macao, China, 25–28 January 2016; pp. 256–261. [Google Scholar]
- Salehi, S.A. Low-cost stochastic number generators for stochastic computing. IEEE Trans. Very Large Scale Integr. (VLSI) Syst. 2020, 28, 992–1001. [Google Scholar] [CrossRef]
- Gong, T.; Hu, Q.; Dong, D.; Jiang, H.; Yang, J.; Xu, X.; Liu, M. A 128kb Stochastic Computing Chip based on RRAM Flicker Noise with High Noise Density and Nearly Zero Autocorrelation on 28-nm CMOS Platform. In Proceedings of the IEEE International Electron Devices Meeting (IEDM), San Francisco, CA, USA, 11–16 December 2021; pp. 5–12. [Google Scholar]
- Chen, Z.; Yin, W.; Boyle, K. True random number generator in 0.35/μm for RFID applications. In Proceedings of the IEEE International Conference on Electron Devices and Solid-State Circuits (EDSSC), Singapore, 1–4 June 2015; pp. 625–628. [Google Scholar]
- Brederlow, R.; Prakash, R.; Paulus, C.; Thewes, R. A low-power true random number generator using random telegraph noise of single oxide-traps. In Proceedings of the IEEE International Solid State Circuits Conference-Digest of Technical Papers, San Francisco, CA, USA, 6–9 February 2006; pp. 1666–1675. [Google Scholar]
- Huang, C.Y.; Shen, W.C.; Tseng, Y.H.; King, Y.C.; Lin, C.J. A contact-resistive random-access-memory-based true random number generator. IEEE Electron Device Lett. 2012, 33, 1108–1110. [Google Scholar] [CrossRef]
- Kao, T.H.; Chang, S.J.; Fang, Y.K.; Huang, P.C.; Wang, B.C.; Wu, C.Y.; Wu, S.L. Investigation of low-frequency noise of 28-nm technology process of high-k/metal gate p-MOSFETs with fluorine incorporation. Solid-State Electron. 2016, 115, 7–11. [Google Scholar] [CrossRef]
- Zhu, H.; Ye, B.; Tang, C.; Li, X.; Sun, Q.; Zhang, D.W. Improving low-frequency noise in 14-nm FinFET by optimized high-k/metal gate thermal processing. IEEE Electron Device Lett. 2021, 42, 1112–1115. [Google Scholar] [CrossRef]
- Ioannidis, E.G.; Haendler, S.; Bajolet, A.; Pahron, T.; Planes, N.; Arnaud, F.; Bianchi, R.A.; Haond, M.; Golanski, D.; Rosa, J.; et al. Low frequency noise variability in high-k/metal gate stack 28 nm bulk and FD-SOI CMOS transistors. In Proceedings of the International Electron Devices Meeting, Washington, DC, USA, 5–7 December 2011; pp. 6–18. [Google Scholar]
- Watanabe, S.; Sugawara, H.; Häusermann, R.; Blülle, B.; Yamamura, A.; Okamoto, T.; Takeya, J. Remarkably low flicker noise in solution-processed organic single crystal transistors. Commun. Phys. 2018, 1, 37. [Google Scholar] [CrossRef]
- Hooge, F.N. 1/f noise sources. IEEE Trans. Electron Dev. 1994, 41, 1926–1935. [Google Scholar] [CrossRef]
- Veksler, D.; Bersuker, G.; Park, H.; Young, C.; Lim, K.Y.; Lee, S.; Shin, H. The critical role of defect structural relaxation in interpreting noise measurements in MOSFETs Introduction & Motivation. In Proceedings of the 2009 IEEE International Integrated Reliability Workshop Final Report, South Lake Tahoe, CA, USA , 18–22 October 2009; pp. 102–105. [Google Scholar]
- Nagumo, T.; Takeuchi, K.; Hase, T.; Hayashi, Y. Statistical Characterization of Trap Position, Energy, Amplitude and Time Constants by RTN Measurement of Multiple Individual Traps. In Proceedings of the 2010 International Electron Devices Meeting, San Francisco, CA, USA, 6–8 December 2010; pp. 28.3.1–28.3.4. [Google Scholar]
Disclaimer/Publisher’s Note: The statements, opinions and data contained in all publications are solely those of the individual author(s) and contributor(s) and not of MDPI and/or the editor(s). MDPI and/or the editor(s) disclaim responsibility for any injury to people or property resulting from any ideas, methods, instructions or products referred to in the content. |
© 2023 by the authors. Licensee MDPI, Basel, Switzerland. This article is an open access article distributed under the terms and conditions of the Creative Commons Attribution (CC BY) license (https://creativecommons.org/licenses/by/4.0/).