Unconventional Rashba Spin-Orbit Coupling on the Charge Conductance and Spin Polarization of a Ferromagnetic/Insulator/Ferromagnetic Rashba Metal Junction
Abstract
1. Introduction
2. Model and Assumptions
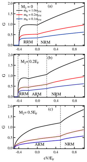
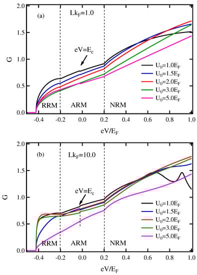
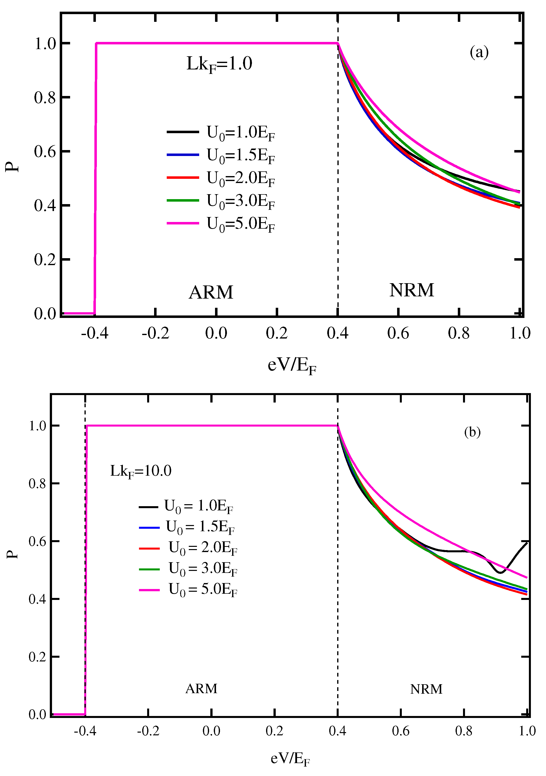
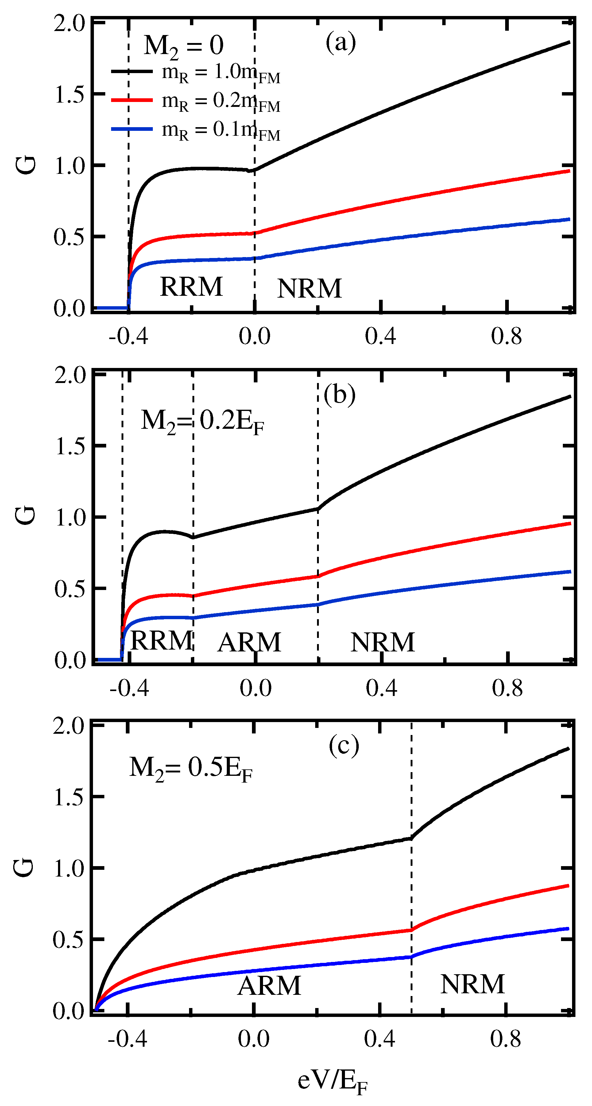
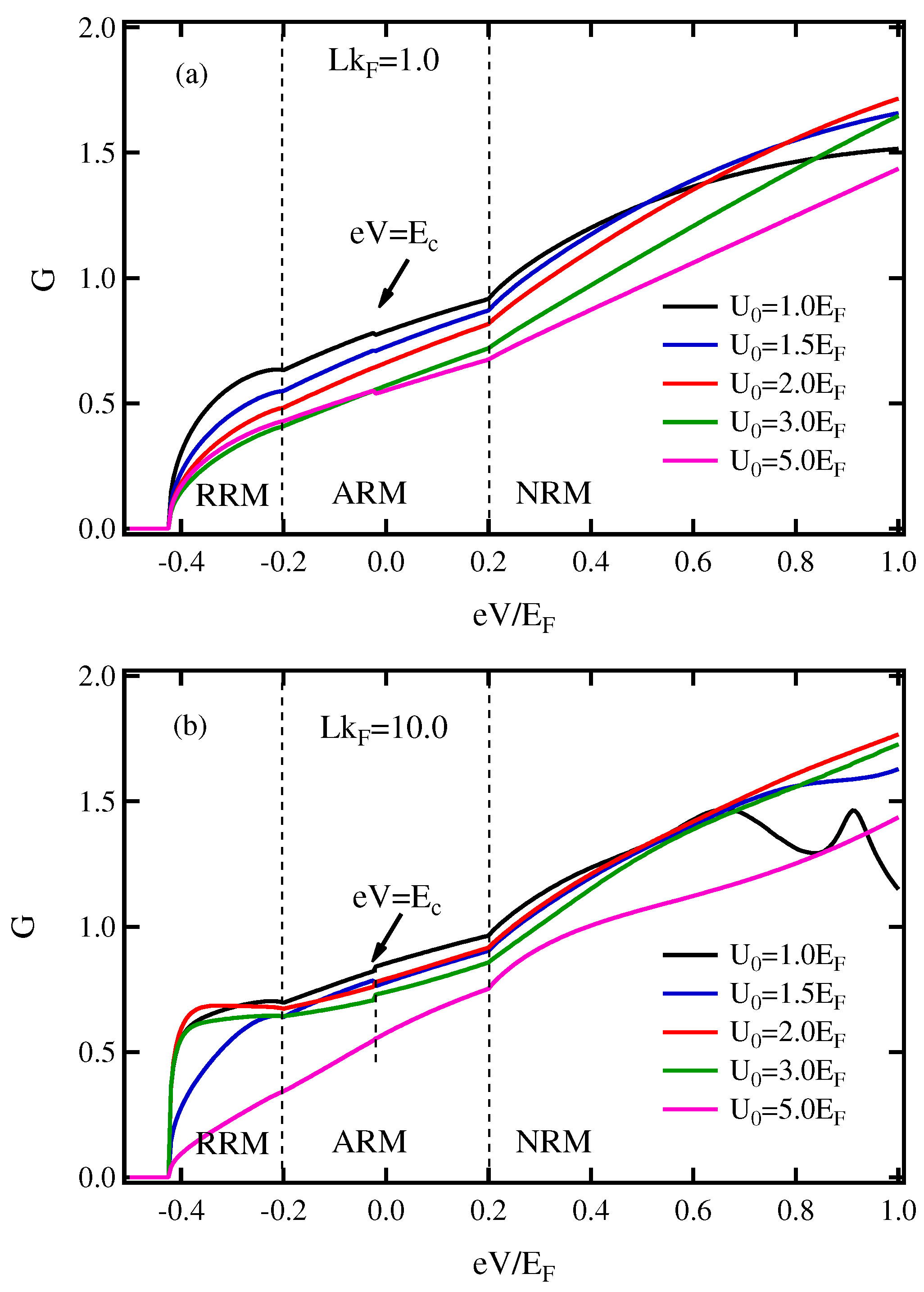
3. Results and Discussion
4. Conclusions
Funding
Acknowledgments
Conflicts of Interest
References
- Rashba, E.I. Properties of semiconductors with an extremum loop I. Cyclotron and combinational resonance in a magnetic field perpendicular to the plane of the loop. Sov. Phys. Solid State 1960, 2, 1109. [Google Scholar]
- Bychkov, Y.A.; Rashba, E.I. Oscillatory effects and the magnetic susceptibility of carriers in inversion layers. J. Phys. C 1984, 17, 6039–6045. [Google Scholar] [CrossRef]
- Bychkov, Y.A.; Rashba, E.I. Properties of a 2D electron gas with lifted spectral degeneracy. JETP Lett. 1984, 39, 78–81. [Google Scholar]
- Nitta, J.; Akazaki, T.; Takayanagi, H.; Enoki, T. Gate Control of Spin-Orbit Interaction in an Inverted In0.53Ga0.47As/In0.52Al0.48As Heterostructure. Phys. Rev. Lett. 1997, 78, 1335–1338. [Google Scholar] [CrossRef]
- Matsuyama, T.; Kursten, R.; Meißner, C.; Merkt, U. Rashba spin splitting in inversion layers on p-type bulk InAs. Phys. Rev. B 2000, 61, 15588–15591. [Google Scholar] [CrossRef]
- Schmult, S.; Manfra, M.J.; Punnoose, A.; Sergent, A.M.; Baldwin, K.W.; Molnar, R.J. Large Bychkov-Rashba spin–orbit coupling in high-mobility GaN/AlxGa1-xN heterostructures. Phys. Rev. B 2006, 74, 033302. [Google Scholar] [CrossRef]
- Fallahi, V.; Ghanaatshoar, M. Ballistic transport through a semiconducting magnetic nanocontact in the presence of Rashba and Dresselhaus spin–orbit interactions. Phys. Status Solidi B 2012, 249, 1077–1082. [Google Scholar] [CrossRef]
- Pang, M.; Wang, C. Out-of-plane anisotropic magnetoconductance in a spin–orbit-coupled two-dimensional electron gas. Phys. E Low-Dimens. Syst. Nanostruct. 2012, 44, 1636–1638. [Google Scholar] [CrossRef]
- Tang, C.-S.; Chang, S.-Y.; Cheng, S.-J. Finger-gate manipulated quantum transport in a semiconductor narrow constriction with spin–orbit interactions and Zeeman effect. Phys. Rev. B 2012, 86, 125321. [Google Scholar] [CrossRef]
- Fukumoto, T.; Taguchi, K.; Kobayashi, S.; Tanaka, Y. Theory of tunneling conductance of anomalous Rashba metal/superconductor junctions. Phys. Rev. B 2015, 92, 144514. [Google Scholar] [CrossRef]
- Han, S.; Serra, L.; Choi, M.-S. Negative tunneling magneto-resistance in quantum wires with strong spin–orbit coupling. J. Phys. Condens. Matter. 2015, 27, 255002. [Google Scholar] [CrossRef] [PubMed]
- Wójcik, P.; Adamowski, J.; Wołoszyn, M.; Spisak, B. Spin splitting generated in a Y-shaped semiconductor nanostructure with a quantum point contact. J. Appl. Phys. 2015, 118, 014302. [Google Scholar] [CrossRef]
- Kronmüller, H.; Parkin, S. (Eds.) Handbook of Magnetism and Advanced Magnetic Materials, Spintronics and Magnetoelectronics; John Wiley and Sons, Ltd.: Hoboken, NJ, USA, 2007; Volume 5. [Google Scholar]
- Wolf, S.A.; Awschalom, D.D.; Buhrman, R.A.; Daughton, J.M.; Molnar, S.V.; Roukes, M.L.; Chtchelkanova, A.Y.; Treger, D.M. Spintronics: A spin-based electronics vision for the future. Science 2001, 294, 1488–1495. [Google Scholar] [CrossRef] [PubMed]
- Prinz, G.A. Spin-polarized transport. Phys. Today 1995, 48, 58–63. [Google Scholar] [CrossRef]
- Hammar, P.R.; Bennett, B.R.; Yang, M.J.; Johnson, M. Observation of spin injection at a ferromagnet-semiconductor interface. Phys. Rev. Lett. 1999, 83, 203–206, Erratum in Phys. Rev. Lett. 2000, 84, 5024–5025. [Google Scholar] [CrossRef]
- Chandrasekar, L.B.; Gnanasekar, K.; Karunakaran, M. Spintronics—A mini review. Superlattices Microstruct. 2019, 136, 106322. [Google Scholar] [CrossRef]
- Zutic, I.; Fabian, J.; Sarma, S.D. Spintronics: Fundamentals and applications. Rev. Mod. Phys. 2004, 76, 323–410. [Google Scholar] [CrossRef]
- Fert, A. Nobel Lecture: Origin, development, and future of spintronics. Rev. Mod. Phys. 2008, 80, 1517–1530. [Google Scholar] [CrossRef]
- Grünberg, P.A. Nobel Lecture: From spin waves to giant magnetoresistance and beyond. Rev. Mod. Phys. 2008, 80, 1531–1540. [Google Scholar] [CrossRef]
- Hirohata, A.; Takanashi, K. Future perspectives for spintronic devices. J. Phys. D Appl. Phys. 2014, 47, 193001. [Google Scholar] [CrossRef]
- Maekawa, S. (Ed.) Spin Current; Oxford University Press: Oxford, UK, 2017. [Google Scholar]
- Hirohata, A.; Yamada, K.; Nakatani, Y.; Prejbeanu, I.; Diény, L.; Pirro, B.P.; Hillebrands, B. Review on Spintronics: Principles and Device Applications. J. Magn. Magn. Mater. 2020, 509, 16671. [Google Scholar] [CrossRef]
- Oshima, D.; Taguchi, K.; Tanaka, Y. Tunneling conductance in two-dimensional junctions between a normal metal and a ferromagnetic Rashba metal. J. Phys. Soc. Jpn. 2018, 87, 034710. [Google Scholar] [CrossRef]
- Oshima, D.; Taguchi, K.; Tanaka, Y. Unconventional gate voltage dependence of the charge conductance caused by spin-splitting Fermi surface by Rashba-type spin–orbit coupling. Physica E 2019, 114, 113615. [Google Scholar] [CrossRef]
- Miron, I.M.; Gaudin, G.; Auffret, S.; Rodmacq, B.; Schuhl, A.; Pizzini, S.; Vogel, J.; Gambardella, P. Current-driven spin torque induced by the Rashba effect in a ferromagnetic metal layer. Nat. Mater. 2010, 9, 230–234. [Google Scholar] [CrossRef] [PubMed]
- Sun, K.; Shah, N. General framework for transport in spin–orbit-coupled superconducting heterostructures: Nonuniform spin–orbit coupling and spin–orbit-active interfaces. Phys. Rev. B 2015, 91, 144508. [Google Scholar] [CrossRef]
- Yoshida, N. Theory of the spin-filtering effect in ferromagnet/ferromagnetic insulator/superconductor junctions. J. Phys. Commun. 2019, 3, 045013. [Google Scholar] [CrossRef]
- Sablikov, V.A.; Tkach, Y.Y. Evanescent states in two-dimensional electron systems with spin–orbit interaction and spin-dependent transmission through a barrier. Phys. Rev. B 2007, 76, 245321. [Google Scholar] [CrossRef]
- Yokoyama, T.; Tanaka, Y.; Inoue, J. Charge transport in two-dimensional electron gas/insulator/superconductor junctions with Rashba spin–orbit coupling. Phys. Rev. B 2006, 74, 035318. [Google Scholar] [CrossRef]
- Mizuno, Y.; Yokoyama, T.; Tanaka, Y. Theory of charge transport in ferromagnetic semiconductor/s-wave superconductor junction. Phys. Rev. B 2009, 80, 195307. [Google Scholar] [CrossRef]
- Jin, L.; Zhu, L.; Zhou, X.; Li, L.; Xie, Z.-W. Effect of Rashba spin–orbit coupling on the spin-dependent transport in magnetic tunnel junctions with semiconductor interlayers. J. Appl. Phys. 2010, 107, 103722. [Google Scholar] [CrossRef]
- Kato, T.; Ishikawa, Y.; Itoh, H.; Inoue, J.-I. Intrinsic anisotropic magnetoresistance in spin-polarized two-dimensional electron gas with Rashba spin–orbit interaction. Phys. Rev. B 2008, 77, 233404. [Google Scholar] [CrossRef]
- Grundler, D. Oscillatory spin-filtering due to gate control of spin-dependent interface conductance. Phys. Rev. Lett. 2001, 86, 1058–1061. [Google Scholar] [CrossRef] [PubMed]
- Srisongmuang, B.; Pairor, P.; Berciu, M. Tunneling conductance of a two-dimensional electron gas with Rashba spin–orbit coupling. Phys. Rev. B 2008, 78, 155317. [Google Scholar] [CrossRef]
- Jantayod, A.; Pairor, P. Charge and spin transport across two-dimensional non-centrosymmetric semiconductor/metal interface. Physica E 2013, 48, 111–117. [Google Scholar] [CrossRef]
- Jantayod, A.; Pairor, P. Tunneling conductance of a metal/two-dimensional electron gas with Rashba spin–orbit coupling junction within a lattice model. Superlattices Microstruct. 2015, 88, 541–550. [Google Scholar] [CrossRef]
- Cayao, J.; Prada, E.; San-Jose, P.; Aguado, R. SNS junctions in nanowires with spin–orbit coupling: Role of confinement and helicity on the subgap spectrum. Phys. Rev. B 2015, 91, 024514. [Google Scholar] [CrossRef]
- Středa, P.; Šeba, P. Antisymmetric spin filtering in one-dimensional electron systems with uniform spin–orbit coupling. Phys. Rev. Lett. 2003, 90, 256601. [Google Scholar] [CrossRef]
- Saito, H.; Narayananellore, S.K.; Matsuo, N.; Doko, N.; Kon, S.; Ya-sukawa, Y.; Imamura, H.; Yuasa, S. Tunneling Magnetoresistance and Spin-Dependent Diode Performance in Fully Epitaxial Magnetic Tunnel Junctions With a Rocksalt ZnO/MgO Bilayer Tunnel Barrier. Phys. Rev. Appl. 2019, 11, 064032. [Google Scholar] [CrossRef]
- Moser, J.; Matos-Abiague, A.; Schuh, D.; Wegscheider, W.; Fabian, J.; Weiss, D. Tunneling Anisotropic Magnetoresistance and Spin-Orbit Coupling in Fe/GaAs/Au Tunnel Junctions. Phys. Rev. Lett. 2007, 99, 056601. [Google Scholar] [CrossRef]
- Park, B.G.; Wunderlich, J.; Martí, X.; Holý, V.; Kurosaki, Y.; Yamada, M.; Yamamoto, H.; Nishide, A.; Hayakawa, J.; Takahashi, H.; et al. A spin-valve-like magnetoresistance of an antiferromagnet-based tunnel junction. Nat. Mater. 2011, 10, 347–351. [Google Scholar] [CrossRef]
- Sato, Y.; Gozu, S.; Kikutani, T.; Yamada, S. Spin-splitting transport in In0.75Ga0.25As/In0.75Al0.25As quantum wire field-effect-transistor. Phys. B Condens. Matter. 1999, 272, 114–116. [Google Scholar] [CrossRef]
- Schäpers, T.; Knobbe, J.; Guzenko, V.A. Effect of Rashba spin–orbit coupling on magnetotransport in quantum wire structures. Phys. Rev. B 2004, 69, 235323. [Google Scholar] [CrossRef]
- Jantayod, A. Tight binding calculation of tunneling conductance of a metal/ferromagnetic junction. Phys. B Condens. Matter. 2017, 525, 7–11. [Google Scholar] [CrossRef]
- Pasanai, K.; Pairor, P. Spin-flip scattering and dimensional effect on transport of charge and spin across metal/ferromagnet material interfaces. Phys. Rev. B 2011, 84, 224432. [Google Scholar] [CrossRef]
- Pasanai, K. Similarities of coherent tunneling spectroscopy of ferromagnet/ferromagnet junction within two interface models: Delta potential and finite width model. J. Magn. Magn. Mater. 2016, 401, 463–471. [Google Scholar] [CrossRef]
- Blonder, G.E.; Tinkham, M.; Klapwijk, T.M. Transition from metallic to tunneling regimes in superconducting microconstrictions: Excess current, charge imbalance, and supercurrent conversion. Phys. Rev. B 1982, 25, 4515–4532. [Google Scholar] [CrossRef]
- Moodera, J.S.; Gallagher, E.F.; Robinson, K.; Nowak, J. Optimum tunnel barrier in ferromagnetic–insulator–ferromagnetic tunneling structures. Appl. Phys. Lett. 1996, 70, 3050–3052. [Google Scholar] [CrossRef]
- Sun, J.Z.; Gallagher, W.J.; Duncombe, P.R.; Krusin-Elbaum, L.; Altman, R.A.; Gupta, A.; Lu, Y.; Gong, G.Q.; Xiao, G. Observation of large low-field magnetoresistance in trilayer perpendicular transport devices made using doped manganate perovskites. Appl. Phys. Lett. 1996, 69, 3266–3268. [Google Scholar] [CrossRef]
- Ramagila, V.M.; Bercioux, D.; Cataudella, V.; Filippis, G.D.; Perroni, C.A. Spin polarization of electrons with Rashba double-refraction. J. Phys. Condens. Matter. 2004, 16, 9143–9154. [Google Scholar] [CrossRef][Green Version]
- Bandyopadhyay, S.; Cahay, M.; Ludwick, J. Reflection and refraction of an electron spin at the junction between two quasi-two-dimensional regions with and without spin–orbit interaction. Phys. Scr. 2021, 96, 065806. [Google Scholar] [CrossRef]






Publisher’s Note: MDPI stays neutral with regard to jurisdictional claims in published maps and institutional affiliations. |
© 2022 by the author. Licensee MDPI, Basel, Switzerland. This article is an open access article distributed under the terms and conditions of the Creative Commons Attribution (CC BY) license (https://creativecommons.org/licenses/by/4.0/).
Share and Cite
Jantayod, A. Unconventional Rashba Spin-Orbit Coupling on the Charge Conductance and Spin Polarization of a Ferromagnetic/Insulator/Ferromagnetic Rashba Metal Junction. Micromachines 2022, 13, 1340. https://doi.org/10.3390/mi13081340
Jantayod A. Unconventional Rashba Spin-Orbit Coupling on the Charge Conductance and Spin Polarization of a Ferromagnetic/Insulator/Ferromagnetic Rashba Metal Junction. Micromachines. 2022; 13(8):1340. https://doi.org/10.3390/mi13081340
Chicago/Turabian StyleJantayod, Aek. 2022. "Unconventional Rashba Spin-Orbit Coupling on the Charge Conductance and Spin Polarization of a Ferromagnetic/Insulator/Ferromagnetic Rashba Metal Junction" Micromachines 13, no. 8: 1340. https://doi.org/10.3390/mi13081340
APA StyleJantayod, A. (2022). Unconventional Rashba Spin-Orbit Coupling on the Charge Conductance and Spin Polarization of a Ferromagnetic/Insulator/Ferromagnetic Rashba Metal Junction. Micromachines, 13(8), 1340. https://doi.org/10.3390/mi13081340
