Al1−xScxN Thin Films at High Temperatures: Sc-Dependent Instability and Anomalous Thermal Expansion
Abstract
:1. Introduction
2. Materials and Methods
2.1. Thin Film Samples
2.2. X-ray Diffraction Experiments
3. Results
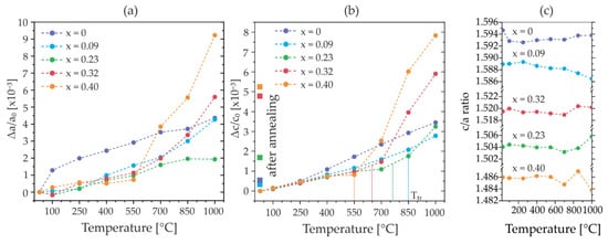
3.1. Part A: Intrinsic and Extrinsic Effects of Anomalous Thermal Expansion in AlScN Thin Films
3.2. Part B: Discussion of Scandium Concentration in Al1−xScxN(0001)/Al2O3(0001) Thin Films
4. Discussion
5. Conclusions
Author Contributions
Funding
Data Availability Statement
Acknowledgments
Conflicts of Interest
References
- Fichtner, S.; Wolff, N.; Lofink, F.; Kienle, L.; Wagner, B. AlScN: A III-V Semiconductor Based Ferroelectric. J. Appl. Phys. 2019, 125, 114103. [Google Scholar] [CrossRef]
- Uehara, M.; Mizutani, R.; Yasuoka, S.; Shiraishi, T.; Shimizu, T.; Yamada, H.; Akiyama, M.; Funakubo, H. Demonstration of Ferroelectricity in ScGaN Thin Film Using Sputtering Method. Appl. Phys. Lett. 2021, 119, 172901. [Google Scholar] [CrossRef]
- Wang, D.; Wang, P.; Wang, B.; Mi, Z. Fully Epitaxial Ferroelectric ScGaN Grown on GaN by Molecular Beam Epitaxy. Appl. Phys. Lett. 2021, 119, 111902. [Google Scholar] [CrossRef]
- Ferri, K.; Bachu, S.; Zhu, W.; Imperatore, M.; Hayden, J.; Alem, N.; Giebink, N.; Trolier-McKinstry, S.; Maria, J.-P. Ferroelectrics Everywhere: Ferroelectricity in Magnesium Substituted Zinc Oxide Thin Films. J. Appl. Phys. 2021, 130, 044101. [Google Scholar] [CrossRef]
- Hayden, J.; Hossain, M.D.; Xiong, Y.; Ferri, K.; Zhu, W.; Imperatore, M.V.; Giebink, N.; Trolier-McKinstry, S.; Dabo, I.; Maria, J.-P. Ferroelectricity in Boron-Substituted Aluminum Nitride Thin Films. Phys. Rev. Mater. 2021, 5, 044412. [Google Scholar] [CrossRef]
- Liu, X.; Wang, D.; Kim, K.-H.; Katti, K.; Zheng, J.; Musavigharavi, P.; Miao, J.; Stach, E.A.; Olsson, R.H.; Jariwala, D. Post-CMOS Compatible Aluminum Scandium Nitride/2D Channel Ferroelectric Field-Effect-Transistor Memory. Nano Lett. 2021, 21, 3753–3761. [Google Scholar] [CrossRef]
- Wang, P.; Wang, D.; Wang, B.; Mohanty, S.; Diez, S.; Wu, Y.; Sun, Y.; Ahmadi, E.; Mi, Z. N-Polar ScAlN and HEMTs Grown by Molecular Beam Epitaxy. Appl. Phys. Lett. 2021, 119, 082101. [Google Scholar] [CrossRef]
- Hardy, M.T.; Downey, B.P.; Nepal, N.; Storm, D.F.; Katzer, D.S.; Meyer, D.J. (Invited) ScAlN: A Novel Barrier Material for High Power GaN-Based RF Transistors. ECS Trans. 2017, 80, 161. [Google Scholar] [CrossRef]
- Manz, C.; Leone, S.; Kirste, L.; Ligl, J.; Frei, K.; Fuchs, T.; Prescher, M.; Waltereit, P.; Verheijen, M.A.; Graff, A.; et al. Improved AlScN/GaN Heterostructures Grown by Metal-Organic Chemical Vapor Deposition. Semicond. Sci. Technol. 2021, 36, 034003. [Google Scholar] [CrossRef]
- Schönweger, G.; Petraru, A.; Islam, M.R.; Wolff, N.; Haas, B.; Hammud, A.; Koch, C.; Kienle, L.; Kohlstedt, H.; Fichtner, S. From Fully Strained to Relaxed: Epitaxial Ferroelectric Al1-xScxN for III-N Technology. Adv. Funct. Mater. 2022, 32, 2109632. [Google Scholar] [CrossRef]
- Islam, M.R.; Wolff, N.; Yassine, M.; Schönweger, G.; Christian, B.; Kohlstedt, H.; Ambacher, O.; Lofink, F.; Kienle, L.; Fichtner, S. On the Exceptional Temperature Stability of Ferroelectric Al1-xScxN Thin Films. Appl. Phys. Lett. 2021, 118, 232905. [Google Scholar] [CrossRef]
- He, X.; Wang, T.; Li, X.; Das, S.; Liu, X.; Chen, Z. Enhanced Piezoelectricity and Excellent Thermal Stability in Sm3+-Doped BiFeO3-PbTiO3 Ceramics. ACS Appl. Electron. Mater. 2022, 4, 807–813. [Google Scholar] [CrossRef]
- Zhang, S.; Yu, F. Piezoelectric Materials for High Temperature Sensors. J. Am. Ceram. Soc. 2011, 94, 3153–3170. [Google Scholar] [CrossRef]
- Zhu, W.; Hayden, J.; He, F.; Yang, J.-I.; Tipsawat, P.; Hossain, M.D.; Maria, J.-P.; Trolier-McKinstry, S. Strongly Temperature Dependent Ferroelectric Switching in AlN, Al1-xScxN, and Al1-XBxN Thin Films. Appl. Phys. Lett. 2021, 119, 062901. [Google Scholar] [CrossRef]
- Mizutani, R.; Yasuoka, S.; Shiraishi, T.; Shimizu, T.; Uehara, M.; Yamada, H.; Akiyama, M.; Sakata, O.; Funakubo, H. Thickness Scaling of (Al0.8Sc0.2)N Films with Remanent Polarization beyond 100 ΜC Cm−2 around 10 Nm in Thickness. Appl. Phys. Express 2021, 14, 105501. [Google Scholar] [CrossRef]
- Kurz, N.; Lu, Y.; Kirste, L.; Reusch, M.; Žukauskaitė, A.; Lebedev, V.; Ambacher, O. Temperature Dependence of the Pyroelectric Coefficient of AlScN Thin Films. Phys. Status Solidi (A) 2018, 215, 1700831. [Google Scholar] [CrossRef]
- Lu, Y.; Reusch, M.; Kurz, N.; Ding, A.; Christoph, T.; Prescher, M.; Kirste, L.; Ambacher, O.; Žukauskaitė, A. Elastic Modulus and Coefficient of Thermal Expansion of Piezoelectric Al1−xScxN (up to x = 0.41) Thin Films. APL Mater. 2018, 6, 076105. [Google Scholar] [CrossRef] [Green Version]
- Ding, A.; Reusch, M.; Lu, Y.; Kurz, N.; Lozar, R.; Christoph, T.; Driad, R.; Ambacher, O.; Žukauskaitė, A. Investigation of Temperature Characteristics and Substrate Influence on AlScN-Based SAW Resonators. In Proceedings of the 2018 IEEE International Ultrasonics Symposium (IUS), IEEE International, Kobe, Japan, 22–25 October 2018; pp. 1–9. [Google Scholar] [CrossRef]
- Kurz, N.; Ding, A.; Urban, D.F.; Lu, Y.; Kirste, L.; Feil, N.M.; Žukauskaitė, A.; Ambacher, O. Experimental Determination of the Electro-Acoustic Properties of Thin Film AlScN Using Surface Acoustic Wave Resonators. J. Appl. Phys. 2019, 126, 075106. [Google Scholar] [CrossRef]
- Österlund, E.; Ross, G.; Caro, M.A.; Paulasto-Kröckel, M.; Hollmann, A.; Klaus, M.; Meixner, M.; Genzel, C.; Koppinen, P.; Pensala, T.; et al. Stability and Residual Stresses of Sputtered Wurtzite AlScN Thin Films. Phys. Rev. Mater. 2021, 5, 035001. [Google Scholar] [CrossRef]
- Urban, D.F.; Ambacher, O.; Elsässer, C. First-Principles Calculation of Electroacoustic Properties of Wurtzite (Al,Sc)N. Phys. Rev. B 2021, 103, 115204. [Google Scholar] [CrossRef]
- Tasnádi, F.; Alling, B.; Höglund, C.; Wingqvist, G.; Birch, J.; Hultman, L.; Abrikosov, I.A. Origin of the Anomalous Piezoelectric Response in Wurtzite ScxAl1−xN Alloys. Phys. Rev. Lett. 2010, 104, 137601. [Google Scholar] [CrossRef] [PubMed] [Green Version]
- Zywitzki, O.; Modes, T.; Barth, S.; Bartzsch, H.; Frach, P. Effect of Scandium Content on Structure and Piezoelectric Properties of AlScN Films Deposited by Reactive Pulse Magnetron Sputtering. Surf. Coat. Technol. 2017, 309, 417–422. [Google Scholar] [CrossRef]
- Akiyama, M.; Kamohara, T.; Kano, K.; Teshigahara, A.; Takeuchi, Y.; Kawahara, N. Enhancement of Piezoelectric Response in Scandium Aluminum Nitride Alloy Thin Films Prepared by Dual Reactive Cosputtering. Adv. Mater. 2009, 21, 593–596. [Google Scholar] [CrossRef] [PubMed]
- Höglund, C.; Bareño, J.; Birch, J.; Alling, B.; Czigány, Z.; Hultman, L. Cubic Sc1−xAlxN Solid Solution Thin Films Deposited by Reactive Magnetron Sputter Epitaxy onto ScN(111). J. Appl. Phys. 2009, 105, 113517. [Google Scholar] [CrossRef] [Green Version]
- Fichtner, S.; Wolff, N.; Krishnamurthy, G.; Petraru, A.; Bohse, S.; Lofink, F.; Chemnitz, S.; Kohlstedt, H.; Kienle, L.; Wagner, B. Identifying and Overcoming the Interface Originating C-Axis Instability in Highly Sc Enhanced AlN for Piezoelectric Micro-Electromechanical Systems. J. Appl. Phys. 2017, 122, 035301. [Google Scholar] [CrossRef]
- Fichtner, S.; Reimer, T.; Chemnitz, S.; Lofink, F.; Wagner, B. Stress Controlled Pulsed Direct Current Co-Sputtered Al1−xScxN as Piezoelectric Phase for Micromechanical Sensor Applications. APL Mater. 2015, 3, 116102. [Google Scholar] [CrossRef] [Green Version]
- Baeumler, M.; Lu, Y.; Kurz, N.; Kirste, L.; Prescher, M.; Christoph, T.; Wagner, J.; Žukauskaitė, A.; Ambacher, O. Optical Constants and Band Gap of Wurtzite Al1−xScxN/Al2O3 Prepared by Magnetron Sputter Epitaxy for Scandium Concentrations up to x = 0.41. J. Appl. Phys. 2019, 126, 045715. [Google Scholar] [CrossRef] [Green Version]
- Wolff, N.; Fichtner, S.; Haas, B.; Islam, M.R.; Niekiel, F.; Kessel, M.; Ambacher, O.; Koch, C.; Wagner, B.; Lofink, F.; et al. Atomic Scale Confirmation of Ferroelectric Polarization Inversion in Wurtzite-Type AlScN. J. Appl. Phys. 2021, 129, 034103. [Google Scholar] [CrossRef]
- Herres, N.; Kirste, L.; Obloh, H.; Köhler, K.; Wagner, J.; Koidl, P. X-ray Determination of the Composition of Partially Strained Group-III Nitride Layers Using the Extended Bond Method. Mater. Sci. Eng. B 2002, 91–92, 425–432. [Google Scholar] [CrossRef]
- Yim, W.M.; Paff, R.J. Thermal Expansion of AlN, Sapphire, and Silicon. J. Appl. Phys. 1974, 45, 1456–1457. [Google Scholar] [CrossRef]
- Tyunina, M.; Pacherova, O.; Kocourek, T.; Dejneka, A. Anisotropic Chemical Expansion Due to Oxygen Vacancies in Perovskite Films. Sci. Rep. 2021, 11, 15247. [Google Scholar] [CrossRef] [PubMed]
- Onodera, Y.; Kohara, S.; Masai, H.; Koreeda, A.; Okamura, S.; Ohkubo, T. Formation of Metallic Cation-Oxygen Network for Anomalous Thermal Expansion Coefficients in Binary Phosphate Glass. Nat. Commun. 2017, 8, 15449. [Google Scholar] [CrossRef] [PubMed] [Green Version]
- Bauer, S.; Rodrigues, A.; Baumbach, T. Real Time in Situ X-ray Diffraction Study of the Crystalline Structure Modification of (Ba0.5Sr0.5)TiO3 during the Post-Annealing. Sci. Rep. 2018, 8, 11969. [Google Scholar] [CrossRef] [PubMed] [Green Version]
- Perry, N.H.; Kim, J.J.; Bishop, S.R.; Tuller, H.L. Strongly Coupled Thermal and Chemical Expansion in the Perovskite Oxide System Sr(Ti,Fe)O3−α. J. Mater. Chem. A 2015, 3, 3602–3611. [Google Scholar] [CrossRef]
- Swallow, J.G.; Lee, J.K.; Defferriere, T.; Hughes, G.M.; Raja, S.N.; Tuller, H.L.; Warner, J.H.; Van Vliet, K.J. Atomic Resolution Imaging of Nanoscale Chemical Expansion in PrxCe1–xO2−δ during In Situ Heating. ACS Nano 2018, 12, 1359–1372. [Google Scholar] [CrossRef] [PubMed]
- Sandu, C.S.; Parsapour, F.; Mertin, S.; Pashchenko, V.; Matloub, R.; LaGrange, T.; Heinz, B.; Muralt, P. Abnormal Grain Growth in AlScN Thin Films Induced by Complexion Formation at Crystallite Interfaces. Phys. Status Solidi (A) 2019, 216, 1800569. [Google Scholar] [CrossRef]
- Höglund, C.; Birch, J.; Alling, B.; Bareño, J.; Czigány, Z.; Persson, P.O.Å.; Wingqvist, G.; Žukauskaitė, A.; Hultman, L. Wurtzite Structure Sc1−xAlxN Solid Solution Films Grown by Reactive Magnetron Sputter Epitaxy: Structural Characterization and First-Principles Calculations. J. Appl. Phys. 2010, 107, 123515. [Google Scholar] [CrossRef] [Green Version]
- Wiskel, J.B.; Lu, J.; Omotoso, O.; Ivey, D.G.; Henein, H. Characterization of Precipitates in a Microalloyed Steel Using Quantitative X-ray Diffraction. Metals 2016, 6, 90. [Google Scholar] [CrossRef] [Green Version]
- Seymour, T.; Frankel, P.; Balogh, L.; Ungár, T.; Thompson, S.P.; Jädernäs, D.; Romero, J.; Hallstadius, L.; Daymond, M.R.; Ribárik, G.; et al. Evolution of Dislocation Structure in Neutron Irradiated Zircaloy-2 Studied by Synchrotron X-ray Diffraction Peak Profile Analysis. Acta Mater. 2017, 126, 102–113. [Google Scholar] [CrossRef]
- Harris, J.H.; Youngman, R.A.; Teller, R.G. On the Nature of the Oxygen-Related Defect in Aluminum Nitride. J. Mater. Res. 1990, 5, 1763–1773. [Google Scholar] [CrossRef]
- Gasparotto, P.; Fischer, M.; Scopece, D.; Liedke, M.O.; Butterling, M.; Wagner, A.; Yildirim, O.; Trant, M.; Passerone, D.; Hug, H.J.; et al. Mapping the Structure of Oxygen-Doped Wurtzite Aluminum Nitride Coatings from Ab Initio Random Structure Search and Experiments. ACS Appl. Mater. Interfaces 2021, 13, 5762–5771. [Google Scholar] [CrossRef] [PubMed]
- Mah, A.D.; Grain, C.F.; Smith, D.F.; Singleton, E.L.; Peters, F.A.; Alley, J.K.; Tyrrell, M.E.; Cole, W.A.; Campbell, W.J.; King, E.G.; et al. Heats and Free Energies of Formation of Gallium Sesquioxide and Scandium Sesquioxide; U.S. Department of the Interior, Bureau of Mines: Washington, DC, USA, 1962. [Google Scholar]
- Moram, M.A.; Barber, Z.H.; Humphreys, C.J. The Effect of Oxygen Incorporation in Sputtered Scandium Nitride Films. Thin Solid Film. 2008, 516, 8569–8572. [Google Scholar] [CrossRef]
- Casamento, J.; Xing, H.G.; Jena, D. Oxygen Incorporation in the Molecular Beam Epitaxy Growth of ScxGa1−xN and ScxAl1−xN. Phys. Status Solidi (B) 2020, 257, 1900612. [Google Scholar] [CrossRef] [Green Version]
- Wang, P.; Wang, B.; Laleyan, D.A.; Pandey, A.; Wu, Y.; Sun, Y.; Liu, X.; Deng, Z.; Kioupakis, E.; Mi, Z. Oxygen Defect Dominated Photoluminescence Emission of ScxAl1−xN Grown by Molecular Beam Epitaxy. Appl. Phys. Lett. 2021, 118, 032102. [Google Scholar] [CrossRef]
- Kumar, R.; Nayak, S.; Garbrecht, M.; Bhatia, V.; Indiradevi Kamalasanan Pillai, A.; Gupta, M.; Shivaprasad, S.M.; Saha, B. Clustering of Oxygen Point Defects in Transition Metal Nitrides. J. Appl. Phys. 2021, 129, 055305. [Google Scholar] [CrossRef]
- Chichibu, S.F.; Miyake, H.; Ishikawa, Y.; Tashiro, M.; Ohtomo, T.; Furusawa, K.; Hazu, K.; Hiramatsu, K.; Uedono, A. Impacts of Si-Doping and Resultant Cation Vacancy Formation on the Luminescence Dynamics for the near-Band-Edge Emission of Al0.6Ga0.4N Films Grown on AlN Templates by Metalorganic Vapor Phase Epitaxy. J. Appl. Phys. 2013, 113, 213506. [Google Scholar] [CrossRef]
- Eldrup, M.; Singh, B.N. Studies of Defects and Defect Agglomerates by Positron Annihilation Spectroscopy. J. Nucl. Mater. 1997, 251, 132–138. [Google Scholar] [CrossRef]
- Youngman, R.A.; Harris, J.H. Luminescence Studies of Oxygen-Related Defects In Aluminum Nitride. J. Am. Ceram. Soc. 1990, 73, 3238–3246. [Google Scholar] [CrossRef]








| Al1−xScxN(0001) | #1 | #2 | #3 |
|---|---|---|---|
| Template | Mo(110)/AlN(0001)/Si(001) | Al2O3(0001) | Mo(110)/AlN(0001)/Al2O3(0001) |
| Sc concentration x | 0.27 | 0, 0.09, 0.23, 0.32, 0.40 | 0.40 |
| Thickness | 400 nm | 1000 nm | 400 nm |
| Microstructure | Fiber textured | Epitaxial with columnar growth | Epitaxial with columnar growth |
| XRC (FWHM) | 1.6° | 0.9–1.6° | 0.7 |
| SiNx passivation | As specified | No | Yes |
| a [pm] | c [pm] | ω-FWHM [°] | |||||||
|---|---|---|---|---|---|---|---|---|---|
| Sample | As-Grown | Annealed | Δa/a0 [×10−3] | As-Grown | Annealed | Δc/c0 [×10−3] | As-Grown | Annealed | Δω/ω0 [×10−2] |
| AlN | 312.0 | 312.1 | 0.468 | 497.5 | 497.8 | 0.64 | 0.95 | 1.04 | 9.8 |
| Al0.91Sc0.09N | 313.6 | 316.0 | 7.64 | 498.3 | 498.5 | 0.39 | 1.07 | 1.10 | 2.2 |
| Al0.77Sc0.23N | 331.6 | 322.6 | −27.13 | 498.8 | 499.6 | 1.66 | 1.53 | 1.59 | 3.7 |
| Al0.68Sc0.32N | 327.4 | 326.7 | −2.38 | 497.3 | 499.7 | 4.80 | 1.64 | 1.89 | 14.9 |
| Al0.60Sc0.40N | 332.7 | 330.5 | −6.61 | 494.2 | 496.8 | 5.33 | 1.78 | 2.06 | 15.7 |
Publisher’s Note: MDPI stays neutral with regard to jurisdictional claims in published maps and institutional affiliations. |
© 2022 by the authors. Licensee MDPI, Basel, Switzerland. This article is an open access article distributed under the terms and conditions of the Creative Commons Attribution (CC BY) license (https://creativecommons.org/licenses/by/4.0/).
Share and Cite
Wolff, N.; Islam, M.R.; Kirste, L.; Fichtner, S.; Lofink, F.; Žukauskaitė, A.; Kienle, L. Al1−xScxN Thin Films at High Temperatures: Sc-Dependent Instability and Anomalous Thermal Expansion. Micromachines 2022, 13, 1282. https://doi.org/10.3390/mi13081282
Wolff N, Islam MR, Kirste L, Fichtner S, Lofink F, Žukauskaitė A, Kienle L. Al1−xScxN Thin Films at High Temperatures: Sc-Dependent Instability and Anomalous Thermal Expansion. Micromachines. 2022; 13(8):1282. https://doi.org/10.3390/mi13081282
Chicago/Turabian StyleWolff, Niklas, Md Redwanul Islam, Lutz Kirste, Simon Fichtner, Fabian Lofink, Agnė Žukauskaitė, and Lorenz Kienle. 2022. "Al1−xScxN Thin Films at High Temperatures: Sc-Dependent Instability and Anomalous Thermal Expansion" Micromachines 13, no. 8: 1282. https://doi.org/10.3390/mi13081282
APA StyleWolff, N., Islam, M. R., Kirste, L., Fichtner, S., Lofink, F., Žukauskaitė, A., & Kienle, L. (2022). Al1−xScxN Thin Films at High Temperatures: Sc-Dependent Instability and Anomalous Thermal Expansion. Micromachines, 13(8), 1282. https://doi.org/10.3390/mi13081282

