Considerations for the Maximum Heat Load and Its Influence on Temperature Variation of the Evaporator in Flat MHPs in Transient Regimes
Abstract
:1. Introduction
2. Factors That Influence the Maximum Heat Transport Capacity for a Flat MHP
3. Evaluation of Maximum Heat Load through a Flat MHP
3.1. Analytical Determination of the Maximum Heat Flux Passing through the Evaporator of a Flat MHP
3.2. Evaluation of Maximum Heat Flux of the Evaporator of a Flat MHP in Relation to the Capillary Radius and the Working Liquids
4. Temperature Variation during Transient Regime for a Flat MHP
4.1. Temperature Variation during Transient Regime through the Wall and Liquid-Wick Structure for the Evaporator of the Flat MHP
4.2. Modeling of Heat Transfer inside a Flat MHP
4.3. Result Validation
5. Conclusions
- The method, acknowledged to provide efficient vaporization and condensation, consists in creating a partial vacuum at pre-set values. The effectiveness of the cooling depends on the liquid used and on its quantity. When the working liquid is too abundant or insufficient, malfunctions of the flat thermal microtubes may occur.
- Assessment of the maximum heat load and its influence on temperature variation of the evaporator in flat MHPs in a transient regime is useful in the field of cooling components that need fast dissipation of important heat. The present study allows determining the correlation between some parameters on the microchannel capillary radius, for three fluids and different temperatures that can be applied to different thermal control systems. Such systems can be used in various fields, such as the cooling of biological objects and drying technology.
- In the present paper the maximum rate of heat flow that can be applied in the vaporization region of a flat MHP was found analytically as a function of the capillary radius and for different working liquids such as acetone, methanol or distilled water. Finding the maximum rate of heat flow is important for practical applications since beyond this value the functional blocking of the flat MHP, by overheating, occurs.
- Calculations performed to determine the maximum heat transport capacity in MHPs take into account the physical characteristics of the working fluids, the geometrical parameters of the microchannels and the structure providing capillarity. The maximum heat transport capacity of MHPs is conditioned by the applied heat flux. At too high a heat flux applied in the vaporization zone, MHPs cannot be functionally stabilized if the working fluid flow rate is too low or in excess. Excess liquid flow can cause such intense vapor flow that it prevents the liquid from flowing out of the microchannels through the vaporization and promotes boundary layer detachment.
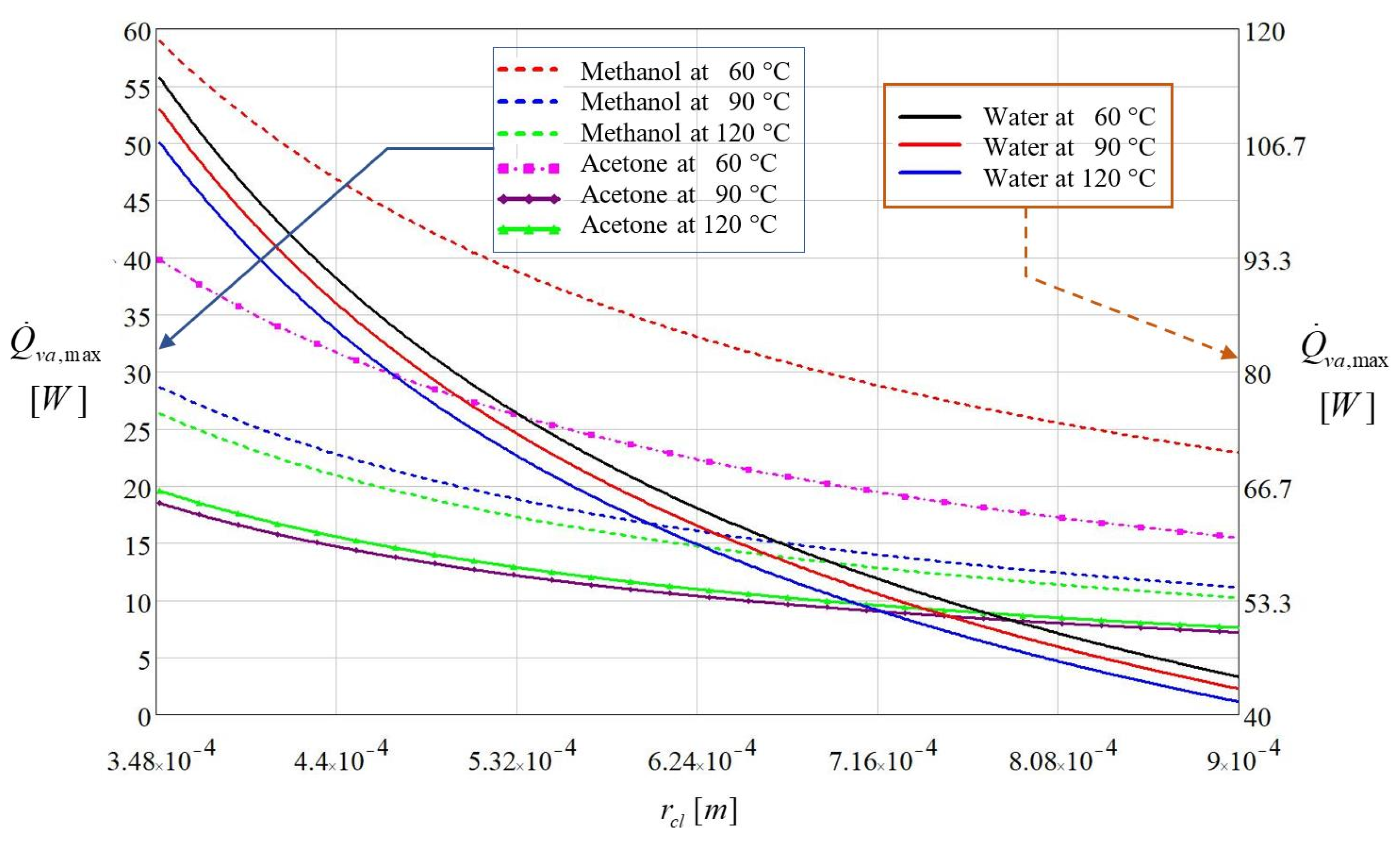
- The capillarity limit influences the functioning of MHPs, as for low temperatures it is restricted by the reduced pressure of vapors and the high viscosity of the liquid. When temperatures increase near the critical point, latent vaporization heat, surface tension as well as maximum power, decrease drastically.
- The decrease in the input heat takes place with the temperature increase and it is explained by the diminution of the thickness of condensation film in the vaporization region, due to the faster vaporization rate. Decreasing the rate of heat flow with increasing temperature also depends on the working fluid. The explanation for the pronounced decrease in maximum input heat for acetone and methanol is found in their much higher volatility.
- The calculus codes developed in Mathcad permit predicting the difference in temperature between the two faces of the evaporator (exterior and interior). The hypothesis adopted is that the external temperature to the flat MHP corresponds to the warm source. The source codes consider the values of the input heat applied to the flat MHP, the material, structure and thickness of the solid walls, the working liquid, specific heat, coefficient of thermal diffusivity and the equivalent coefficient of thermal conduction, etc.
- The selection of the working liquid must be made to ensure the cooling of the electronic device even for overloading. As known [1] the functional difference concerning a temperature disparity of over 10 °C with respect to the constructive maximum temperature may conduct to the physical collapse of the electronic components.
Author Contributions
Funding
Institutional Review Board Statement
Informed Consent Statement
Data Availability Statement
Conflicts of Interest
References
- Mihai, I.; Pîrghie, C.; Zegrean, V. Research Regarding Heat Exchange through Nanometric Polysynthetic Thermal Compound to Cooler–CPU Interface. In Heat Transfer Engineering; Taylor & Francis: Abingdon, UK, 2010; Volume 31, pp. 90–97. ISSN1 1521-0537. ISSN2 0145-7632. [Google Scholar]
- Sprînceană, S. Heat Transfer Intensification Methods in Micro Heat Pipes. Ph.D. Thesis, Stefan cel Mare University of Suceava, Suceava, Romania, 2017; pp. 1–308. [Google Scholar]
- Reay, D.; Kew, P.A.; McGlen, R.J. Heat Pipes Theory, Design and Applications, 6th ed.; Butterworth-Heinemann: Oxford, UK, 2014; 208p. [Google Scholar]
- Hua, L. Heat Exchanger Development for Waste Water Heat Recovery. Master’s Thesis, University of Canterbury, Department of Mechanical Engineering, Christchurch, New Zealand, 2005; pp. 1–116. [Google Scholar]
- Nemec, P.; Čajal, A.; Malcho1, M. Testing Thermal Properties of the Cooling Device with Heat Pipes. In EPJ Web of Conferences; EDP Sciences: Les Ulis, France, 2013; pp. 1066–1070. [Google Scholar] [CrossRef]
- Faghri, A. Heat pipes: Review, opportunities and challenges. Front. Heat Pipes 2014, 5, 1–48. [Google Scholar] [CrossRef]
- UNILAB SRL. Heat Pipes—Part I: From Aerospace to Air Conditioning Applications. Available online: https://www.unilab.eu/articles/technical-articles/thermodynamic-engineering-articles/heat-pipes-pt-1/ (accessed on 31 July 2020).
- Cotter, T.P. Principles and Prospects of the Micro Heat Pipe. In Proceedings of the 5th International Heat Pipe Conference, Tsukuba, Japan, 14–18 May 1984; pp. 328–335. [Google Scholar]
- Ma, H. Heat Pipes—Chapter 9. In Mechanical Engineers’ Handbook: Energy and Power, 3rd ed.; Kutz, M., Ed.; John Wiley & Sons, Inc.: Hoboken, NJ, USA, 2006; Volume 4, pp. 335–360. [Google Scholar]
- Choondal, B.S. Modeling of the flow and heat transfer in micro heat pipes. In Proceedings of the ASME 2004 2nd International Conference on Microchannels and Minichannels, Rochester, NY, USA, 17–19 June 2004. [Google Scholar]
- Jeong, S.; Young, S.P. Analysis of Thermal Performance in a Micro Flat Heat Pipe with Axially Trapezoidal Groove. Tamkang J. Sci. Eng. 2003, 6, 201–206. [Google Scholar]
- Sprinceana, S.; Mihai, I. The modeling of the speed, of the friction coefficient and the capillary pressure in the heat convective transfer through porous media. In Proceedings of the 18th International Conference, Suceava, Romania, 8–9 May 2015; pp. 371–377. [Google Scholar]
- Zhu, N.; Vafai, K. Analytical modeling of the startup characteristics of asymmetrical flat-plate and diskshaped heat pipes. J. Hear Mass Transfer. 1998, 41, 2619–2631. [Google Scholar] [CrossRef]
- Wang, Y.; Vafai, K. Transient characterization of at plate heat pipes during startup and shutdown operations. Int. J. Heat Mass Transf. 2000, 43, 2641–2655. [Google Scholar] [CrossRef]
- Jang, J.M.; Faghri, A.; Chang, W.S. Analysis of the Transient Compressible Vapor Flow in Heat Pipe; NASA Contract Report 185119; Wright State University: Dayton, OH, USA, 1989; pp. 1–10. [Google Scholar]
- William Anderson, G.W.; Tarau, C. TFAWS Heat Pipes. Presentation. In Proceedings of the Thermal & Fluids Analysis Workshop (TFAWS 2019), Hampton, VA, USA, 26–30 August 2019; p. 194. [Google Scholar]
- Ranjan, R.; Patel, A.; Garimella, S.V.; Murthy, J. Wicking and Thermal Characteristics of Micropillared Structures for Use in Passive Heat Spreaders; CTRC Research Publications: West Lafayette, IN, USA, 2012; pp. 1–35. [Google Scholar] [CrossRef] [Green Version]
- Oshman, C.; Li, Q.; Liew, L.A.; Yang, R. Thermal performance of a flat polymer heat pipe heat spreader under high acceleration. J. Micromech. Microeng. 2012, 22, 45018. [Google Scholar] [CrossRef] [Green Version]
- Thomas, K.S.; Likins, R.C.; Yerkes, L.K. Fully-developed laminar flow in trapezoidal grooves with shear stress at the liquid-vapor interface. Int. J. Heat Mass Transf. 2001, 44, 3397–3412. [Google Scholar] [CrossRef]
- Odabasi, G. Modelling of Multidimensional Heat Transfer in a Rectangular Grooved Heat Pipe. Master’s Thesis, Middle East Technical University, Ankara, Turkey, 2014; pp. 1–156. [Google Scholar]
- Sprinceana, S.; Mihai, I.; Beniuga, M.; Suciu, C. Heat transfer intensification by increasing vapor flow rate in flat heat pipes. In Advanced Topics in Optoelectronics, Microelectronics, and Nanotechnologies VII; SPIE: Bellingham, WA, USA, 2015; Volume 9258, pp. 415–422. [Google Scholar] [CrossRef]
- Mohammed, N.; Gerner, F.M.; Henderson, H.T. Steady-state model of the loop heat pipe (LHP) with coherent porous silicon (CPS) wick in the evaporator. In Proceedings of the Semiconductor Thermal Measurement and Management Symposium, San Jose, CA, USA, 11–13 March 2003; pp. 88–96. [Google Scholar] [CrossRef]
- Kimura, Y.; Nakamura, Y.; Sotani, J.; Katsuta, M. Steady and transient heat transfer characteristics of flat micro hea tpipe. Furukawa Rev. 2005, 27, 3–8. [Google Scholar]
- Peterson, G.P.; Babin, B.R. Analitical and Experimental Investigation of Miniature Heat Pipes—Phase II; Report NoWRDC-TR-89-2067; Mechanical Engineering Department Texas, A&M University College Station: College Station, TX, USA, 1989; pp. 1–65. [Google Scholar]
- Lips, S.; Lefèvre, F.; Bonjour, J. Physical mechanisms involved in grooved flat heat pipes: Experimental and numerical analyses. Int. J. Therm. Sci. 2011, 50, 1243–1252. [Google Scholar] [CrossRef] [Green Version]
- Kakaç, S.; Vasiliev, L.L.; Bayazitoglu, Y.; Yener, Y. Microscale Heat Transfer—Fundamentals and Applications: Proceedings of the NATO Advanced Study Institute on Microscale Heat Transfer—Fundamentals and Applications in Biological and Microelectromechanical Systems, Cesme-Izmir, Turkey, 18–30 July, 2004; Springer Science & Business Media: Berlin/Heidelberg, Germany, 2006; p. 509. [Google Scholar]
- Camargo, H.V.R.; Bazzo, E. Thermal behavior of microgrooved capillary for different thermal working fluids. In Proceedings of the 11th Brazilian Congress of Thermal Sciences and Engineering, Curitiba, Brazil, 5–8 December 2006; pp. 1–12. [Google Scholar]
- Celsia, T.M. Heat Pipe & Vapor Chamber Technology Overview. Available online: https://celsiainc.com/heat-pipe-and-vapor-chamber-technology-overview/ (accessed on 9 April 2019).
- Boughey, B.W. Design, Construction, and Analysis of a Flat Heat Pipe; U.S. Naval Academy, Report; USNA: Annapolis, MD, USA, 1999; pp. 1–102. [Google Scholar]
- Faghri, A.; Khrustalev, D. Micro-Miniature Heat Pipe Analysis; Departament of Mechanical and Materials Engineering, Wright State University Dayton: Dayton, OH, USA, 1994. [Google Scholar]
- Ma, H.B.; Hanlon, M.A.; Chen, C.L. An investigation of oscillating motions in a miniature pulsating heat pipe. Microfluid. Nanofluid. 2006, 2, 171–179. [Google Scholar] [CrossRef]
- Singh, M.; Kondaraju, S.; Bahga, S.S. Enhancement of thermal performance of micro heat pipes using wettability gradients. Int. J. Heat Mass Transf. 2017, 104, 400–408. [Google Scholar] [CrossRef]
- Maxfield, B. Engineering with Mathcad: Using Mathcad to Create and Organize Your Engineering Calculations; Elsevier: Amsterdam, The Netherlands, 2006. [Google Scholar]
- EngineeringToolbox. Thermophysical Properties Methanol. Available online: http://www.engineeringtoolbox.com/material-properties-t_24.html (accessed on 25 January 2020).
- Acetone Solvent Properties, CAS 67-64-1. Available online: https://macro.lsu.edu/HowTo/solvents/acetone.htm (accessed on 24 February 2020).
- Methanol Institute, Methanol Technical Data Sheet. Available online: http://www.methanol.org/Technical-Information/Resources/Technical (accessed on 30 January 2020).
- Dortmund Data Bank, Thermal Conductivity of Methanol. Available online: http://www.ddbst.com/en/EED/PCP/TCN_C110.php (accessed on 15 February 2020).
- Bejan, A.; Kraus, A.D. Heat Transfer Handbook; John Wiley & Sons Inc.: Hoboken, NJ, USA, 2003; pp. 161–571. [Google Scholar]
- Vafai, K.; Zhu, N.; Wang, W. Analysis of Asymmetric Disk Shaped and Flat-Plate Heat Pipes. J. Heat Transf. 1995, 117, 209–218. [Google Scholar] [CrossRef]
- Revellin, R.; Rullière, R.; Lefèvre, F.; Bonjur, J. Experimental validation of an analytical model for predicting the thermal and hydrodynamic capabilities of flat micro heat pipes. Appl. Therm. Eng. 2008, 29, 1114–1122. [Google Scholar] [CrossRef] [Green Version]
- Davidovits, P.; Worsnop, D.R.; Jayne, J.T.; Kolb, C.E.; Winkler, P.; Vrtala, A. Mass accommodation coefficient of water vapor on liquid water. Geophys. Res. Lett. 2004, 31, 122111. [Google Scholar] [CrossRef] [Green Version]
- Do, K.H.; Kim, S.J.; Garimella, S.V. A Mathematical Model for Analyzing the Thermal Characteristics of a Flat Micro Heat Pipe with a Grooved Wick. Int. J. Heat Mass Transf. 2008, 51, 4637–4650. [Google Scholar] [CrossRef] [Green Version]
- Iverson, B.D.; Davis, W.; Garimella, S.V.; North, M.T.; Kang, S.S. Heat and Mass Transport in Heat Pipe Wick Structures. J. Thermophys. Heat Transf. 2007, 21, 392–404. [Google Scholar] [CrossRef] [Green Version]
- Sprinceana, S.; Mihai, I. Analysis of the convective heat transfer at flat thermal micro-pipe through Crank-Nicolson’s method. In Proceedings of the 18th International Conference, Suceava, Romania, 8–9 May 2015; pp. 244–250. [Google Scholar]
- Liu, X.; Chen, Y. Transient thermal performance analysis of micro heat pipes. Appl. Therm. Eng. 2013, 58, 585–593. [Google Scholar] [CrossRef]
- Singh, R.; Akbarzadeh, A.; Mochizuki, M.; Saito, Y. Thermal performance of miniature loop heat pipe operating under different heating modes. In Proceedings of the Thermal and Thermomechanical Proceedings 10th Intersociety Conference on Phenomena in Electronics Systems, San Diego, CA, USA, 30 May–2 June 2006; pp. 557–562. [Google Scholar]
- Heat Pipe Limits, Advanced Cooling Technologies, Online Software Calculating Transport Capacity. Available online: https://www.1-act.com/resources/heat-pipe-performance/ (accessed on 30 May 2020).













| Working Liquid | Liquid Density | Thermal Conductivity | Surface Tension | Dynamic Viscosity | Boiling Point |
|---|---|---|---|---|---|
| Notations | ρlic | λlic | σlic | μlic | Tsat |
| Unit | [kg/m3] | [W/m°C] | [N/m] | [Pa·s] | [°C] |
| Distilled water | 996 | 0.632 | 0.0695 | 7.99 × 10−4 | 100 |
| Methanol | 792 | 0.203 | 0.0262 | 5.21 × 10−4 | 65 |
| Acetone | 791 | 0.181 | 0.0237 | 3.23 × 10−4 | 56 |
| Parameters | U.M. | Values | |||
|---|---|---|---|---|---|
| Input rate of heat flow | [W] | 10 | 20 | 30 | 40 |
| Maximum temperature outside evaporator of the flat MHP | [°C] | 60.541 | 78.348 | 96.866 | 114.672 |
| Internal temperature inside the evaporator of the flat MHP | [°C] | 58.479 | 74.975 | 91.984 | 108.455 |
| Temperature difference | [°C] | 2.062 | 3.373 | 4.882 | 6.217 |
| Parameters | U.M. | Values | ||||
|---|---|---|---|---|---|---|
| Heat flow | [W] | 10 | 10 | 10 | 6 | 20 |
| Thermal regime stabilization time | [s] | 175 | 175 | 175 | 197 | 278 |
| MHP surface temperature | [°C] | 59.2 | 60.54 | 58.75 | 66.9 | 64.5 |
| MHP inner wall temperature | [°C] | 57.1 | 58.48 | 56.60 | 60.1 | 58.8 |
| Temperature difference through the MHP wall | [°C] | 2.1 | 2.06 | 2.15 | 6.8 | 5.7 |
| Data source | Experimental | Analytic | Numeric | [45] | [46] | |
| MHP’s Heat Transport Capacity | Operating Temperature | Capillary Radius | Wall/Working Fluid | |
|---|---|---|---|---|
| U.M. | W | °C | m | |
| Various functional limits (present study) | 106.62 | 120 | 3.48 × 10−4 | Cooper/distilled water |
| 44.43 | 120 | 3.48 × 10−4 | Cooper/methanol | |
| 19.12 | 120 | 3.48 × 10−4 | Cooper/acetone | |
| [47]—horizontal | 88.70 | 150 | 6.25 × 10−3 | Cooper/distilled water |
| [47]—horizontal | 83.50 | 120 | 6.25 × 10−3 | Cooper/distilled water |
| [47]—vertical | 46.50 | 130 | 6.25 × 10−3 | Cooper/distilled water |
| [47]—vertical | 44.60 | 120 | 6.25 × 10−3 | Cooper/distilled water |
Publisher’s Note: MDPI stays neutral with regard to jurisdictional claims in published maps and institutional affiliations. |
© 2022 by the authors. Licensee MDPI, Basel, Switzerland. This article is an open access article distributed under the terms and conditions of the Creative Commons Attribution (CC BY) license (https://creativecommons.org/licenses/by/4.0/).
Share and Cite
Mihai, I.; Suciu, C.; Picus, C.M. Considerations for the Maximum Heat Load and Its Influence on Temperature Variation of the Evaporator in Flat MHPs in Transient Regimes. Micromachines 2022, 13, 979. https://doi.org/10.3390/mi13060979
Mihai I, Suciu C, Picus CM. Considerations for the Maximum Heat Load and Its Influence on Temperature Variation of the Evaporator in Flat MHPs in Transient Regimes. Micromachines. 2022; 13(6):979. https://doi.org/10.3390/mi13060979
Chicago/Turabian StyleMihai, Ioan, Cornel Suciu, and Claudiu Marian Picus. 2022. "Considerations for the Maximum Heat Load and Its Influence on Temperature Variation of the Evaporator in Flat MHPs in Transient Regimes" Micromachines 13, no. 6: 979. https://doi.org/10.3390/mi13060979
APA StyleMihai, I., Suciu, C., & Picus, C. M. (2022). Considerations for the Maximum Heat Load and Its Influence on Temperature Variation of the Evaporator in Flat MHPs in Transient Regimes. Micromachines, 13(6), 979. https://doi.org/10.3390/mi13060979

