Sign in to use this feature.

Years

Between: -

Subjects

remove_circle_outline
remove_circle_outline
remove_circle_outline
remove_circle_outline
remove_circle_outline
remove_circle_outline
remove_circle_outline
remove_circle_outline
remove_circle_outline

Journals

remove_circle_outline
remove_circle_outline
remove_circle_outline
remove_circle_outline
remove_circle_outline
remove_circle_outline
remove_circle_outline
remove_circle_outline
remove_circle_outline
remove_circle_outline
remove_circle_outline
remove_circle_outline
remove_circle_outline
remove_circle_outline
remove_circle_outline
remove_circle_outline
remove_circle_outline
remove_circle_outline
remove_circle_outline
remove_circle_outline
remove_circle_outline
remove_circle_outline
remove_circle_outline
remove_circle_outline
remove_circle_outline
remove_circle_outline
remove_circle_outline
remove_circle_outline
remove_circle_outline
remove_circle_outline
remove_circle_outline
remove_circle_outline
remove_circle_outline
remove_circle_outline

Article Types

Countries / Regions

remove_circle_outline
remove_circle_outline
remove_circle_outline
remove_circle_outline
remove_circle_outline
remove_circle_outline
remove_circle_outline
remove_circle_outline

Search Results (8,155)

Search Parameters:
Keywords = evaporator

Order results
Result details
Results per page
Select all
Export citation of selected articles as:
14 pages, 3747 KB  
Article
Assessing the Ability of the Variable Length Block Bootstrapping Model for the Generation of Multiple Stochastic Hydrometric Data Types
by Rachel Makungo and John Ndiritu
Water 2026, 18(9), 1023; https://doi.org/10.3390/w18091023 (registering DOI) - 25 Apr 2026
Abstract
Stochastic inputs are essential for incorporating hydrological variability in water resources assessment, planning, and management. However, most studies focus on the generation of precipitation and temperature, precipitation and streamflow, and precipitation and evaporation, with limited incorporation of groundwater levels. This study assessed the [...] Read more.
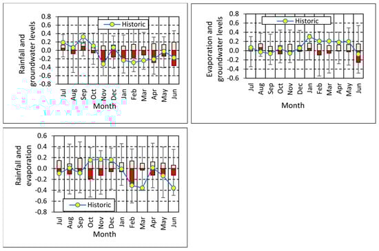
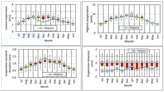
Stochastic inputs are essential for incorporating hydrological variability in water resources assessment, planning, and management. However, most studies focus on the generation of precipitation and temperature, precipitation and streamflow, and precipitation and evaporation, with limited incorporation of groundwater levels. This study assessed the ability of the Variable Length Block (VLB) bootstrapping model for simultaneously generating stochastic sequences of rainfall, evaporation, and groundwater levels. The performance of the model was assessed by comparing single statistics of historical time series located within the box plots of 100 annual and monthly stochastically generated time series. The model preserved eight of the nine statistics adequately, except for skewness, across all variables, with historical values for evaporation and groundwater levels falling below and above the interquartile range for 12 months. All the historic statistics for rainfall, evaporation, and groundwater levels were within the interquartile ranges of the box plots for 83, 71, and 71% of the time, respectively. The historic statistics for rainfall, evaporation, and groundwater levels were within the box plot ranges for 100, 98, and 99% of the time, respectively. These findings indicated reasonably successful generation, and the VLB generator was therefore considered applicable for the stochastic generation of multiple hydrometric data types. Full article
(This article belongs to the Special Issue Application of Machine Learning in Hydrological Monitoring)
Show Figures

Figure 1

17 pages, 50353 KB  
Article
Floating Rafts from Coastal Hypersaline Environments in Brazil
by Carolina N. Keim, André Rossi and Marcos Farina
Minerals 2026, 16(5), 445; https://doi.org/10.3390/min16050445 (registering DOI) - 24 Apr 2026
Abstract
Floating rafts are thin, flat mineral layers that precipitate at still air–water interfaces. They are composed of calcite, aragonite, vaterite, gypsum, trona, carnallite, and/or halite. Floating rafts present a flat surface at the top in contact with air, and a rough surface at [...] Read more.
Floating rafts are thin, flat mineral layers that precipitate at still air–water interfaces. They are composed of calcite, aragonite, vaterite, gypsum, trona, carnallite, and/or halite. Floating rafts present a flat surface at the top in contact with air, and a rough surface at the bottom, which develops as they grow into the water. In this work, we describe floating rafts from hypersaline environments using imaging and analytical microscopy techniques. The four rafts studied consist of interconnected polycrystalline grains. Scanning electron microscopy (SEM) showed that the top surfaces were flat, whereas in the bottom surfaces, the grains protrude into the water. High magnification revealed nanoparticles arranged in stacks, suggesting growth through the organized agglutination of nanocrystals. Electron diffraction of two of the rafts indicates that they consist of aragonite. Accordingly, electron energy-loss spectroscopy (EELS) shows the C K-edges characteristic of carbonates, along with O and Ca edges. Energy-dispersive spectroscopy (EDS) in the SEM also revealed a few Ca sulfate crystals on the bottom surface. In addition, the presence of cubic shapes indicates the presence of halite. We hypothesize that the genesis of these rafts is driven by evaporation of still water, which increases supersaturation at the very surface, leading to mineral nucleation at the air–water interface, where the activation energy is lower. Full article
Show Figures

Figure 1

18 pages, 8545 KB  
Article
Analysis of Temperature Field Characteristics of Highway Tunnels During Fire
by Junan Ji, Yalong Dang, Pengfei Wang, Jianfeng Gu and Yunpeng Jiang
Buildings 2026, 16(9), 1678; https://doi.org/10.3390/buildings16091678 - 24 Apr 2026
Abstract
The temperature field characteristics of highway tunnels during fire conditions are investigated in this paper. Numerical simulations coupled with reduced-scale physical model tests were conducted to analyze the thermal characteristics of the tunnel interior and lining structure under various ventilation conditions. Taking the [...] Read more.
The temperature field characteristics of highway tunnels during fire conditions are investigated in this paper. Numerical simulations coupled with reduced-scale physical model tests were conducted to analyze the thermal characteristics of the tunnel interior and lining structure under various ventilation conditions. Taking the extra-long double-tube highway tunnel as a case study, a numerical model was established using FLUENT to simulate a 100 MW fire under different longitudinal ventilation velocities. Furthermore, a reduced-scale physical model with a geometric similarity ratio of 1:2.7 was fabricated to investigate the effect of lining moisture content on the heat transfer characteristics. It is indicated by the results that high-temperature zones above 800 °C are mainly concentrated within roughly 100 m of the fire source, extending approximately 20 m upstream and 80 m downstream. As the ventilation velocity rises, the high-temperature zone adjacent to the fire source is gradually reduced, the upstream smoke backflow length is shortened, and the downstream thermal influence range is expanded. Obvious spatial variations are observed in the cross-sectional temperature distribution: relatively uniform temperatures are found near the fire source, whereas higher temperatures are observed at the crown in upstream and downstream sections, followed by the haunch and sidewalls. A pronounced thermal lag effect is observed in the lining structure, with both slower heating rates and lower peak temperatures being exhibited at larger distances from the fire source and in linings with higher moisture content. A temperature plateau at around 100 °C is detected, which is mainly attributed to latent heat absorption during moisture evaporation. A more significant temperature gradient through the lining thickness is also caused by a higher moisture content. These findings provide valuable references for tunnel fire safety design, smoke control strategies, and evacuation safety analysis. Full article
(This article belongs to the Special Issue Application of Experiment and Simulation Techniques in Engineering)
Show Figures

Figure 1

21 pages, 1617 KB  
Article
Moisture Transport and Recycling Shape Wetting and Drying Across China: Implications for Water Sustainability
by Chang Lu, Long Ma, Bolin Sun, Xing Huang and Tingxi Liu
Sustainability 2026, 18(9), 4252; https://doi.org/10.3390/su18094252 (registering DOI) - 24 Apr 2026
Abstract
Global warming is reshaping the global dry–wet pattern, yet its future trajectory remains uncertain, with important implications for sustainable water resources. China, influenced by both the monsoon system and the mid-latitude westerlies, requires an integrated assessment linking net water balance (precipitation minus evaporation, [...] Read more.
Global warming is reshaping the global dry–wet pattern, yet its future trajectory remains uncertain, with important implications for sustainable water resources. China, influenced by both the monsoon system and the mid-latitude westerlies, requires an integrated assessment linking net water balance (precipitation minus evaporation, PME) to moisture transport. Here we use precipitation, evaporation, and air temperature records for 1981–2023, together with Lagrangian moisture tracking and precipitation recycling diagnostics, to quantify changes in PME across China and to identify the underlying mechanisms. We further assess future evolution under different warming levels (1.5 °C, 2 °C, and 3–4 °C) for 2024–2099 using a CMIP6 multi-model ensemble. China experienced a pronounced warming during the historical period, while precipitation declined overall and evaporation remained nearly stable. As a result, reduced moisture supply strengthened drought sensitivity. Spatially, warming-driven drying is concentrated in the eastern and southern monsoon regions. In contrast, the inland arid and semi-arid Northwest and parts of high-elevation transition zones show a relative shift toward warmer and wetter conditions. Moisture transport diagnostics indicate that China’s moisture supply is jointly sustained by the mid- to high-latitude westerlies and low-latitude oceanic monsoon pathways. These pathways form a continuous transition from the Northwest to the Southeast. Land–atmosphere recycling is stronger in the Southeast, whereas the Northwest depends more on imported moisture, with plateau topography further reshaping the main transport corridors. In the future, PME continues to decline under 1.5 °C warming. Under 2 °C warming, PME enters a transitional state with patchy regional patterns. Under 3–4 °C warming, PME shifts to an overall increase, but uncertainty becomes larger. These results identify a critical turning window at around 2–3 °C warming for China’s PME response, providing a physical basis for sustainable water-resource management and adaptation planning. Full article
12 pages, 2592 KB  
Article
Cerium-Doped ZnO Thin Films for Photocatalysts
by Pavlina Bancheva-Koleva, Stephan Kozhukharov, Christian Girginov, Ivo Banchev, Plamen Petkov, Tamara Petkova and Georgi Avdeev
Materials 2026, 19(9), 1739; https://doi.org/10.3390/ma19091739 - 24 Apr 2026
Abstract
In this work, Ce-doped ZnO thin films at various contents of cerium were deposited on glass substrates by thermal vacuum evaporation to study the influence of Ce concentration on their optical, structural, morphological, and photocatalytic behavior. Pure ZnO and Ce-doped ZnO films doped [...] Read more.
In this work, Ce-doped ZnO thin films at various contents of cerium were deposited on glass substrates by thermal vacuum evaporation to study the influence of Ce concentration on their optical, structural, morphological, and photocatalytic behavior. Pure ZnO and Ce-doped ZnO films doped with 2% and 5% Ce were characterized by SEM, XRD, AFM, UV–VIS spectroscopy, and ellipsometry. The XRD analysis confirmed that all the films retained the hexagonal wurtzite structure, while Ce incorporation induced lattice strain and reduced crystallite size, particularly at higher doping levels. SEM and AFM studies showed that films with 2% Ce exhibited smaller grain size and lower roughness, whereas 5% Ce-doped films showed grain growth and increased roughness. Pure ZnO films displayed high transparency (>90%), whereas Ce incorporation caused a red shift in the absorption edge and narrowing of the optical band gap due to defect-related states and lattice distortion. Photocatalytic experiments revealed that Ce doping improved charge carrier separation and increased the number of oxygen vacancies. Among all samples, the 2% Ce-doped ZnO film demonstrated the highest photocatalytic efficiency. These findings highlight the importance of controlled Ce doping in tuning the microstructure, optical properties, and photocatalytic performance of ZnO thin films, making them suitable for environmental remediation and optoelectronic applications. Full article
18 pages, 2362 KB  
Article
Competing Mechanisms and Implications of Rock Physical Property Alteration in Carbonate UGS During Cyclic Operations
by Han Jia, Dongbo He, Meifang Hou, Weijie Wang, Wei Hou, Yixuan Yang, Liao Zhao and Mingjun Chen
Processes 2026, 14(9), 1354; https://doi.org/10.3390/pr14091354 - 23 Apr 2026
Abstract
The multi-cycle high-rate injection and production operations in Underground Gas Storage (UGS) facilities converted from depleted fracture-pore carbonate gas reservoirs induce complex rock–fluid interactions that threaten long-term integrity and performance. This study experimentally investigates the petrophysical responses of the Xiangguosi (XGS) UGS carbonate [...] Read more.
The multi-cycle high-rate injection and production operations in Underground Gas Storage (UGS) facilities converted from depleted fracture-pore carbonate gas reservoirs induce complex rock–fluid interactions that threaten long-term integrity and performance. This study experimentally investigates the petrophysical responses of the Xiangguosi (XGS) UGS carbonate reservoirs in China using multi-cycle stress sensitivity tests, fines migration experiments, and water evaporation–salt precipitation analyses. SEM observations distinguish the contributions of crack closure and matrix compression to permeability evolution. Results show a sharp contrast in mechanical damage: high-quality rocks present negligible permanent deformation (<8% Young’s modulus reduction), whereas poor-quality rocks suffer catastrophic deterioration (>60%). Fines migration exhibits a three-stage behavior under cyclic flow, with water saturation significantly aggravating permeability impairment. A critical salinity threshold (220,000 ppm) is identified for the transition between drying-enhanced storage and salt plugging. Permeability declines sharply despite a slight porosity increase due to selective salt clogging of key pore throats, revealing a clear porosity–permeability decoupling. Salt deposition under movable water conditions can reduce UGS capacity by up to 1.45%. Reservoir heterogeneity, microfractures, karst structures, and initial petrophysical properties dominate the storage and flow space evolution. This work provides a predictive framework for optimizing injection–production strategies and improving the performance of complex carbonate UGS. Full article
(This article belongs to the Special Issue Advanced Strategies in Enhanced Oil Recovery: Theory and Technology)
18 pages, 1252 KB  
Article
Synergistic Effects of Ascorbic Acid By-Product and Poly-γ-Glutamic Acid on Maize Seedling Growth and Soil Properties Under Drought Stress
by Meiqiu Jiang, Mingfu Gao, Weichao Yang, Hao Sun and Hui Xu
Agriculture 2026, 16(9), 929; https://doi.org/10.3390/agriculture16090929 - 23 Apr 2026
Abstract
Drought stress severely restricts agricultural productivity. Effective drought mitigation requires both improved rhizosphere water retention and enhanced nutrient availability. Poly-γ-glutamic acid (PGA) was expected to enhance water retention, while residue after evaporation (RAE) of 2-keto-L-gulonic acid fermentation was expected to supply labile carbon [...] Read more.
Drought stress severely restricts agricultural productivity. Effective drought mitigation requires both improved rhizosphere water retention and enhanced nutrient availability. Poly-γ-glutamic acid (PGA) was expected to enhance water retention, while residue after evaporation (RAE) of 2-keto-L-gulonic acid fermentation was expected to supply labile carbon and promote nutrient mobilization. We hypothesized that their combined application would synergistically optimize the rhizosphere environment and enhance maize seedlings’ resistance to drought. A pot experiment was conducted to evaluate the growth of maize under simulated drought conditions, containing four treatments: control (C), RAE alone (R), PGA alone (P), and their combination (M). Results demonstrated that the M treatment synergistically promoted maize seedling growth, increasing the seedling growth index by 125% compared to the control. Co-application also synergistically enhanced the accumulation of osmotic adjustment substances (proline, soluble proteins, and soluble sugars) and ascorbic acid content, while reducing malondialdehyde (MDA) level. Furthermore, the M treatment markedly increased soil ammonium nitrogen and total organic carbon, thereby improving soil moisture and optimizing the rhizosphere conditions. Mantel analysis revealed that the M treatment restructured soil bacterial communities and enzyme activities by enhancing nutrient and organic carbon availability, which subsequently improved overall soil properties. These findings suggest that co-application of PGA and RAE improves maize seedling drought resilience and soil nutrient supply, offering a promising and economically viable strategy for sustainable agriculture in drought-prone regions by valorizing industrial by-products. Full article
35 pages, 1056 KB  
Review
Does It Hold Water? Effectiveness, Feasibility, and Risks of Drought Adaptation Amendments
by Noah Silber-Coats and Guillermo Alvarez
Agronomy 2026, 16(9), 854; https://doi.org/10.3390/agronomy16090854 - 23 Apr 2026
Abstract
Increasing freshwater scarcity alongside growing irrigation demand poses a major challenge for agricultural production. One potential response is the use of drought adaptation amendments: materials of natural or synthetic origin that, when applied to soil or crops, either increase water availability or improve [...] Read more.
Increasing freshwater scarcity alongside growing irrigation demand poses a major challenge for agricultural production. One potential response is the use of drought adaptation amendments: materials of natural or synthetic origin that, when applied to soil or crops, either increase water availability or improve plant performance under water stress. Because these amendments range from minerals and microorganisms to polymers and plant-derived compounds, they are often studied in separate disciplinary literatures rather than as a single category of inputs. Here, we review drought adaptation amendments for agricultural use and evaluate them along three dimensions: effectiveness in mitigating drought stress, economic feasibility, and environmental and human-health implications. Across amendment classes, effectiveness is achieved through several recurring pathways, including reduced soil evaporation, altered canopy energy balance, improved infiltration and soil water retention, improved rhizosphere and root access to retained water, and enhanced physiological tolerance to water deficit. No single amendment consistently performs best across all three criteria. Materials that strongly modify soil water dynamics can be effective but may be costly or environmentally risky, while lower-risk options often have smaller or more context-dependent effects. Among the most promising lower-risk options identified in this review are microbial inoculants, certain mineral amendments, and water-based plant extracts, though their effectiveness remains context-dependent. Future research should prioritize amendments that combine drought-mitigating effects with economic feasibility and minimal environmental or health risks. Full article
27 pages, 18982 KB  
Article
Composite Materials Based on Bioresorbable Polymers and Phosphate Phases for Bone Tissue Regeneration
by Oana Maria Caramidaru, Celina Maria Damian, Gianina Popescu-Pelin, Mihaela Bacalum, Roberta Moisa, Cornelia-Ioana Ilie, Sorin-Ion Jinga and Cristina Busuioc
J. Compos. Sci. 2026, 10(5), 223; https://doi.org/10.3390/jcs10050223 - 23 Apr 2026
Viewed by 15
Abstract
Bone tissue plays a vital role in the human body and possesses intrinsic self-repair mechanisms; however, large defects or pathological fractures may exceed its natural healing capacity. Bone tissue engineering provides promising strategies to restore bone integrity through the use of scaffolds, growth [...] Read more.
Bone tissue plays a vital role in the human body and possesses intrinsic self-repair mechanisms; however, large defects or pathological fractures may exceed its natural healing capacity. Bone tissue engineering provides promising strategies to restore bone integrity through the use of scaffolds, growth factors, and stem cells. While calcium phosphate (CaP)-based ceramics, such as hydroxyapatite (HAp) and tricalcium phosphate (TCP), represent the current benchmark, their limitations, including slow degradation (HAp) and limited osteoinductivity (TCP), have driven the development of alternative biomaterials. In this context, magnesium phosphate (MgP)-based materials have gained increasing attention due to their tunable resorption rate, improved biodegradability, and ability to stimulate osteogenesis and angiogenesis through the release of magnesium (Mg2+) ions. This study reports on composite scaffolds based on electrospun poly(ε-caprolactone) (PCL) fibres coated with MgP layers doped with lithium (Li) and zinc (Zn), designed to mimic the nanofibrous architecture of the extracellular matrix. Lithium and zinc were selected due to their known ability to modulate cellular response, with lithium promoting osteogenic activity and zinc contributing to improved cell proliferation and antibacterial potential. The phosphate phases obtained by coprecipitation were deposited onto the PCL fibres using Matrix-Assisted Pulsed Laser Evaporation (MAPLE), enabling controlled surface functionalization. Following thermal treatment, the formation of the crystalline magnesium pyrophosphate (Mg2P2O7) phase was confirmed by chemical and structural characterization. The combination of a slowly degrading PCL matrix, providing sustained structural support, and a bioactive MgP coating, enabling rapid and controlled ion release, results in improved scaffold performance in terms of biocompatibility, biodegradability, and bioactivity. While the slow degradation rate of PCL ensures mechanical stability over an extended period, the surface-deposited MgP phase allows immediate interaction with the biological environment, facilitating faster ion release and enhancing cell–material interactions. These findings highlight the potential of the developed composites as promising candidates for trabecular bone regeneration and as viable alternatives to conventional CaP-based scaffolds in regenerative medicine. Full article
(This article belongs to the Special Issue Biomedical Composite Applications)
Show Figures

Figure 1

16 pages, 295 KB  
Review
An Overview of Rheumatoid Arthritis-Associated Dry Eye Disease, Scleritis, and Peripheral Ulcerative Keratitis
by María García Forestier, Ricardo Murati Calderón and Armando Oliver
J. Clin. Med. 2026, 15(9), 3207; https://doi.org/10.3390/jcm15093207 - 23 Apr 2026
Viewed by 94
Abstract
Rheumatoid arthritis (RA) is a systemic autoimmune disease that can involve the ocular surface and deeper ocular tissues, leading to a spectrum of ophthalmic manifestations ranging from dry eye disease to vision-threatening inflammation, such as scleritis and peripheral ulcerative keratitis (PUK). This paper [...] Read more.
Rheumatoid arthritis (RA) is a systemic autoimmune disease that can involve the ocular surface and deeper ocular tissues, leading to a spectrum of ophthalmic manifestations ranging from dry eye disease to vision-threatening inflammation, such as scleritis and peripheral ulcerative keratitis (PUK). This paper presents the results of a narrative review conducted using PubMed and Google Scholar from database inception to March 2026. Eligible publications describing clinical features and management of RA-associated ocular disease were synthesized, and no unpublished data were included. According to the literature, dry eye disease (DED) is the most frequent ocular manifestation of RA, and it is primarily managed with lubrication and topical anti-inflammatory therapies, including cyclosporine and lifitegrast. Additional options for refractory disease include neurostimulation and evaporation-targeted therapy. Scleritis and PUK are less common but represent severe inflammatory complications that generally require systemic immunosuppression. Conventional management includes systemic corticosteroids and steroid-sparing agents such as methotrexate (MTX), azathioprine (AZA), cyclophosphamide (CYC), and mycophenolate mofetil (MMF) in aggressive cases. Escalation to biologic disease-modifying antirheumatic drugs (bDMARDs), specifically tumor necrosis factor-alpha (TNF-α) inhibitors and rituximab (RTX), is supported for refractory scleritis and corneal melt, although evidence is largely observational. Among anti-TNF agents, monoclonal antibodies, such as infliximab and adalimumab, appear more effective than etanercept for ocular inflammation. Rituximab is preferred for vasculitis-associated or refractory disease, and Janus Kinase (JAK) inhibitors represent an emerging option requiring careful safety monitoring. Evidence for DED therapies includes randomized controlled trials (RCTs), whereas data for RA-associated scleritis and PUK are largely derived from registries, case series, and case reports. Prospective studies with standardized ocular outcomes are needed to refine treatment algorithms and compare the effectiveness of biologic versus targeted synthetic agents. Full article
(This article belongs to the Section Ophthalmology)
16 pages, 8007 KB  
Article
Seasonal Characteristics and Mechanisms of Evaporation Variation Uncertainty over the Tropical Indian Ocean in Four Datasets
by Zehui Zheng, Lingfeng Zheng, Xi Liu, Bicheng Huang, Tao Su, Guolin Feng, Zhonghua Qian and Yongping Wu
Atmosphere 2026, 17(5), 431; https://doi.org/10.3390/atmos17050431 - 22 Apr 2026
Viewed by 86
Abstract
Evaporation is a key component of air–sea coupling processes and understanding the uncertainty in its estimation is essential for climate research and prediction. Based on four widely used datasets (OAFlux, NCEP2, MERRA2 and ERA5), this study systematically analyzes the seasonal evolution of inter-dataset [...] Read more.
Evaporation is a key component of air–sea coupling processes and understanding the uncertainty in its estimation is essential for climate research and prediction. Based on four widely used datasets (OAFlux, NCEP2, MERRA2 and ERA5), this study systematically analyzes the seasonal evolution of inter-dataset uncertainty in evaporation variation over the tropical Indian Ocean using an evaporation decomposition method. Our main contribution is to show that evaporation variation uncertainty is not seasonally uniform but organized into distinct seasonal regimes with different dominant controlling factors and sensitivity structures. The results reveal significant seasonal dependence of evaporation variation uncertainty: the uncertainty is relatively small in boreal spring and autumn but larger in boreal summer and winter. The evaporation variation is primarily controlled by the relative humidity term (RH*) in boreal summer and by the wind speed term (U*) in other seasons. More importantly, the sources of uncertainty differ fundamentally between seasons: the large uncertainty of RH* in boreal summer mainly originates from the high and variable sensitivity of evaporation to relative humidity, whereas the large uncertainty of U* in boreal winter primarily stems from substantial inter-dataset discrepancies in wind speed data itself. These findings reveal that evaporation variation uncertainty arises from both input data discrepancies and the nonlinear sensitivity of evaporation processes, with their relative contributions varying seasonally. This study provides a physically based explanation for evaporation uncertainty and offers a useful basis for evaporation dataset selection and climate model evaluation. Full article
(This article belongs to the Section Climatology)
19 pages, 6274 KB  
Article
Loss Characteristics and Quantitative Restoration Model of Light Hydrocarbons in Shale Oil from the Chang 7₃ Submember of the Ordos Basin
by Zheng Sun, Xinping Zhou, Congsheng Bian, Yan Zhang, Wei Liu, Fang Hou, Yongxin Li, Ming Guan and Jin Dong
Processes 2026, 14(9), 1337; https://doi.org/10.3390/pr14091337 - 22 Apr 2026
Viewed by 101
Abstract
Light hydrocarbons in shale oil readily volatilize during conventional coring, surface handling, storage, and laboratory preparation. The resulting evaporative loss causes systematic underestimation of Rock-Eval S1 peak (free hydrocarbons measured by programmed pyrolysis), which can bias oil-bearing evaluation, sweet-spot delineation, and resource [...] Read more.
Light hydrocarbons in shale oil readily volatilize during conventional coring, surface handling, storage, and laboratory preparation. The resulting evaporative loss causes systematic underestimation of Rock-Eval S1 peak (free hydrocarbons measured by programmed pyrolysis), which can bias oil-bearing evaluation, sweet-spot delineation, and resource assessment. Here we investigate Chang 73 lacustrine shale oil in the Ordos Basin (China) using frozen cores recovered by pressure-retained coring from four wells. Time-series Rock-Eval pyrolysis and thermal desorption–gas chromatography (TD–GC) were used to quantify the magnitude, temporal evolution, and practical equilibrium time of light-hydrocarbon loss and to establish a practical restoration model. S1 decreases with storage time and exhibits a clear two-stage behavior. Shale shows a rapid-loss stage during 0–90 days, followed by a practical equilibrium stage after 90 days (S1 change less than 5%). Sandstone interbeds lose light hydrocarbons faster and more completely, reaching practical equilibrium after 60 days. TD–GC indicates that the lost fraction is dominated by n-alkane components lighter than C13, with gaseous hydrocarbons showing the greatest depletion; medium and heavy fractions decrease modestly. Loss is coupled with progressive desorption from kerogen and clays, leading to enrichment of heavier components in the residual free hydrocarbons and a shift of the modal carbon number toward higher values. At the shale equilibrium time, total organic carbon (TOC) and vitrinite reflectance (Ro) jointly control the restoration factor K. We propose a two-parameter restoration model: K = (0.4024·ln (TOC) + 0.821)·(0.652·Ro + 0.4292). Applying the model to more than 50 conventionally cored wells reveals that the Qingyang–Zhengning area in the southwestern basin is the principal enrichment zone of original free hydrocarbons, followed by the Jiyuan area in the north and the Huachi area in the central basin, whereas the eastern basin is relatively depleted. The workflow provides a robust and transferable approach for correcting S1 and improving shale-oil evaluation in lacustrine systems. Full article
16 pages, 3471 KB  
Article
Analytical Method Optimization, Evaluation and Characterization of Ivermectin Solid Dispersion Formulations Using Hydrophilic Carriers
by Sajib Chandra Roy, Md. Jahid Hossain, Uttom Kumar, Sreedam Chandra Das, Fatema Moni, Deepankar Sutradhar, Faria Tasneem and A. S. M. Monjur Al Hossain
Sci. Pharm. 2026, 94(2), 32; https://doi.org/10.3390/scipharm94020032 - 22 Apr 2026
Viewed by 165
Abstract
Improving the dissolution and solubility of poorly water-soluble drugs remains a major challenge in drug development. Solid dispersion (SD) techniques offer an effective strategy by which to enhance the bioavailability of BCS Class II drugs such as ivermectin (IVM). This study aimed to [...] Read more.
Improving the dissolution and solubility of poorly water-soluble drugs remains a major challenge in drug development. Solid dispersion (SD) techniques offer an effective strategy by which to enhance the bioavailability of BCS Class II drugs such as ivermectin (IVM). This study aimed to develop and validate stability-indicating analytical methods for the quantification of IVM and to evaluate the performance of the formulated SDs. A novel RP-HPLC and a UV spectrophotometric method were developed and validated in accordance with ICH guidelines. IVM SDs were prepared via physical mixing (PM), solvent evaporation (SE), and melt fusion (MF) using Poloxamer 188, Kollicoat® IR, and PEG 6000 at respective ratios of 1:1, 1:3, and 1:5. Dissolution studies showed a marked enhancement in drug release from SDs prepared by SE and MF methods compared with pure IVM. Among all formulations, the Poloxamer 188-based binary SD prepared by the SE method at a 1:5 ratio exhibited the highest dissolution (98.55% at 60 min), with release kinetics following anomalous (non-Fickian) transport (n = 0.681) according to the Korsmeyer–Peppas model. Solid-state characterization evidenced by FTIR, DSC, TGA, and SEM confirmed the transformation of IVM from its crystalline form to an amorphous state. Future studies will focus on the in vivo evaluation of the optimized IVM SD formulations. Full article
Show Figures

Figure 1

30 pages, 65437 KB  
Article
Transboundary Aquifer Vulnerability: Modeling Future Groundwater Decline in the Nubian Sandstone Aquifer (Al Kufrah Basin, Libya)
by Abdalraheem Huwaysh, Fadoua Hamzaoui and Nawal Alfarrah
Water 2026, 18(8), 987; https://doi.org/10.3390/w18080987 - 21 Apr 2026
Viewed by 259
Abstract
Groundwater in arid and semi-arid regions is increasingly stressed by low rainfall, high evaporation, population growth, agricultural expansion, and climate change. A critical question is whether non-renewable aquifers can sustain rising water demand without irreversible decline. This study addresses that question for the [...] Read more.
Groundwater in arid and semi-arid regions is increasingly stressed by low rainfall, high evaporation, population growth, agricultural expansion, and climate change. A critical question is whether non-renewable aquifers can sustain rising water demand without irreversible decline. This study addresses that question for the Al Kufrah Basin in southeastern Libya, part of the Nubian Sandstone Aquifer System, the world’s largest fossil aquifer. A three-dimensional groundwater flow model (MODFLOW-2000) was calibrated using data from more than 1000 production wells and 32 piezometers spanning 1968–2022. The model was applied to simulate groundwater behavior under five scenarios extending to 2050, including the planned development of 150 new wells. The results indicate that over 85% of withdrawals are derived from aquifer storage rather than boundary inflows. While regional water levels remain relatively stable over the 25-year horizon, localized drawdowns of up to 11 m are expected near new well fields. These findings highlight short-term resilience but point to long-term vulnerability, as continued reliance on non-renewable reserves without recharge will ultimately lead to depletion. The study underscores the need for adaptive management, climate-resilient water strategies, and regional cooperation to ensure the sustainable use of this transboundary aquifer under increasing environmental and socio-economic pressures. Full article
(This article belongs to the Special Issue Advances in Extreme Hydrological Events Modeling)
Show Figures

Figure 1

17 pages, 4982 KB  
Article
Shrinkage Cracking Characteristics and Micro-Mechanism of Bentonite and Glass-Fiber-Modified Cement Soil in Dry Environment
by Zili Dai, Xiaowei Lu, Lin Wang, Shifei Yang and Rong Wang
Materials 2026, 19(8), 1671; https://doi.org/10.3390/ma19081671 - 21 Apr 2026
Viewed by 176
Abstract
In order to investigate the effects of bentonite and glass fiber on the macroscopic mechanical properties and microscopic mechanisms of cement soil in dry environments, a series of laboratory tests were conducted in this study, including drying tests under controlled environments (30 °C, [...] Read more.
In order to investigate the effects of bentonite and glass fiber on the macroscopic mechanical properties and microscopic mechanisms of cement soil in dry environments, a series of laboratory tests were conducted in this study, including drying tests under controlled environments (30 °C, 50% humidity), unconfined compressive strength (UCS) tests, digital image processing technology, and scanning electron microscopy (SEM) analyses. The moisture evaporation law, surface crack development process, UCS variation, and microstructure evolution of cement soil with different mix proportions (bentonite content: 0–9%; glass fiber content: 0–0.5%) were systematically analyzed. The results show that bentonite can significantly enhance the water retention capacity of cement soil, reduce the water evaporation rate, and increase the unconfined compressive strength by filling internal pores to densify the microstructure. Glass fibers form a three-dimensional network structure in the matrix, exerting a bridging effect to inhibit crack initiation and propagation, and optimize the mechanical properties. The unconfined compressive strength increases significantly with an increase in bentonite content (3–9%), and the optimal fiber content for strength improvement is determined as 0.3%. The synergistic effect of bentonite and fibers optimizes the interfacial bonding force between fibers and the matrix, which remarkably improves the anti-cracking performance of cement soil. Specifically, when the bentonite content is 6–9% and the fiber content is 0.3–0.5%, the cement soil maintains complete integrity after drying, with no obvious cracks on the surface. SEM analysis reveals that the addition of bentonite and fibers inhibits the expansion and connection of internal voids, avoiding the cycle of “void enlargement–stress concentration–crack propagation”. This study provides a scientific basis for the engineering application of cement soil in a dry environment. Full article
(This article belongs to the Special Issue Advanced Geomaterials and Reinforced Structures (Second Edition))
Show Figures

Figure 1

Back to TopTop