Analysis of Output Performance of a Novel Symmetrical T-Shaped Trapezoidal Micro Piezoelectric Energy Harvester Using a PZT-5H
Abstract
1. Introduction
2. Structure and Method
2.1. Mechanism of Power Generation
2.2. Structure Design
2.3. Finite Element Model
2.4. Modal Analysis
3. Results and Discussion
3.1. Influence of External Loading Resistance and Acceleration Coefficient on the Output Performance of the STTM-PEH
3.2. Influence of T-Shped Trapezoidal Piezoelectric Cantilever Beam Substrate Material on the Output Performance of the STTM-PEH
3.3. Influence of Structural Parameters on the Output Performance of the STTM-PEH
3.3.1. Influence of Changing the Piezoelectric Patches Thickness of STTM-PEH
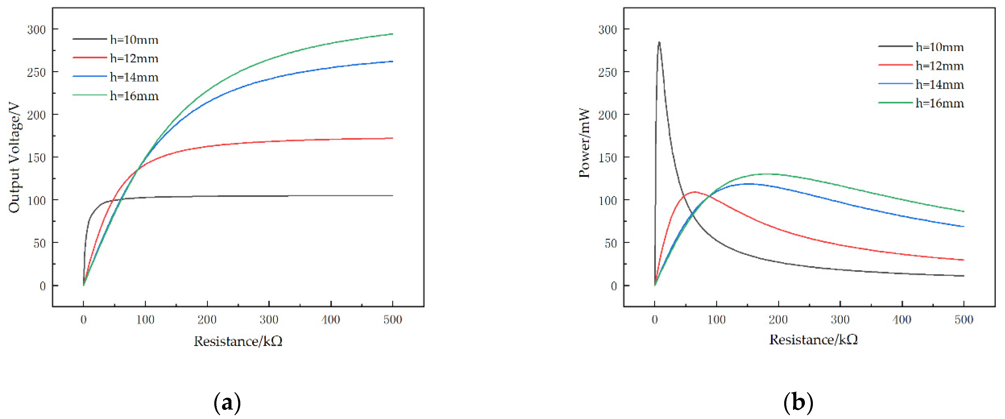
3.3.2. Influence of Changing the Thickness of the T-Shaped Trapezoidal Cantilever Beam Substrate
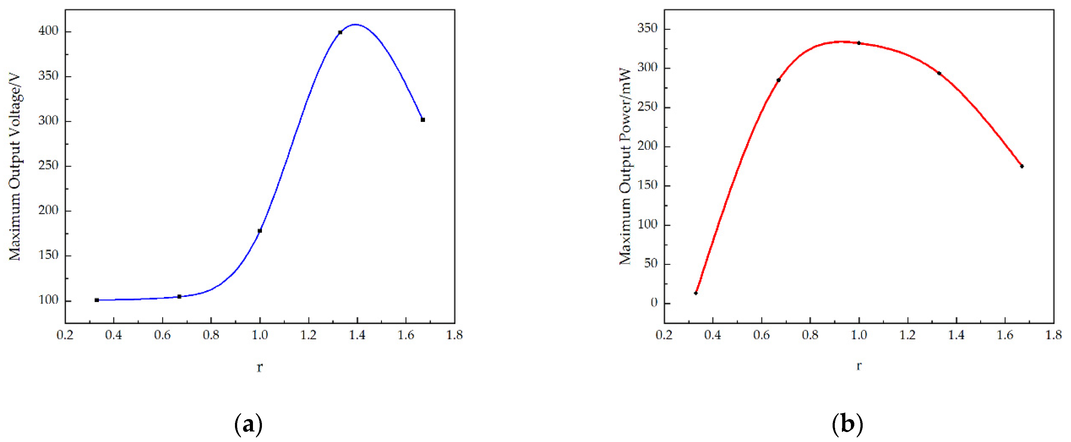
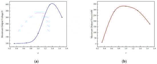
3.3.3. Influence of Changing the Length of Cantilever Head
4. Conclusions
- (1)
- The various modes of the T-trapezoidal piezoelectric cantilever beam were obtained using COMSOL. The results illustrate that bending deformation is mainly produced in the first-order and third-order modes, while torsion deformation mainly occurs in the second-order and fourth-order modes. The greatest energy is generated by the STTM-PEH in the first-order mode.
- (2)
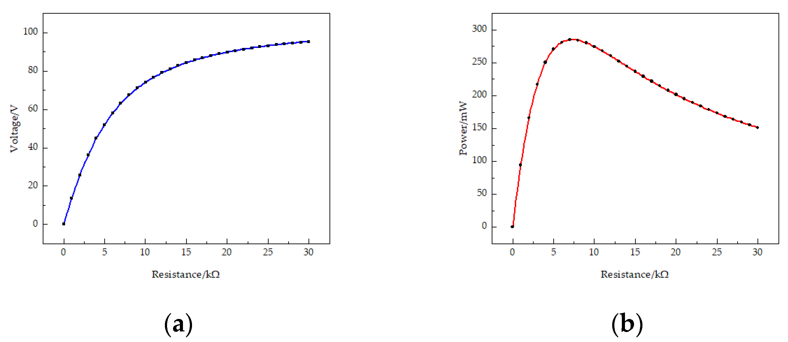
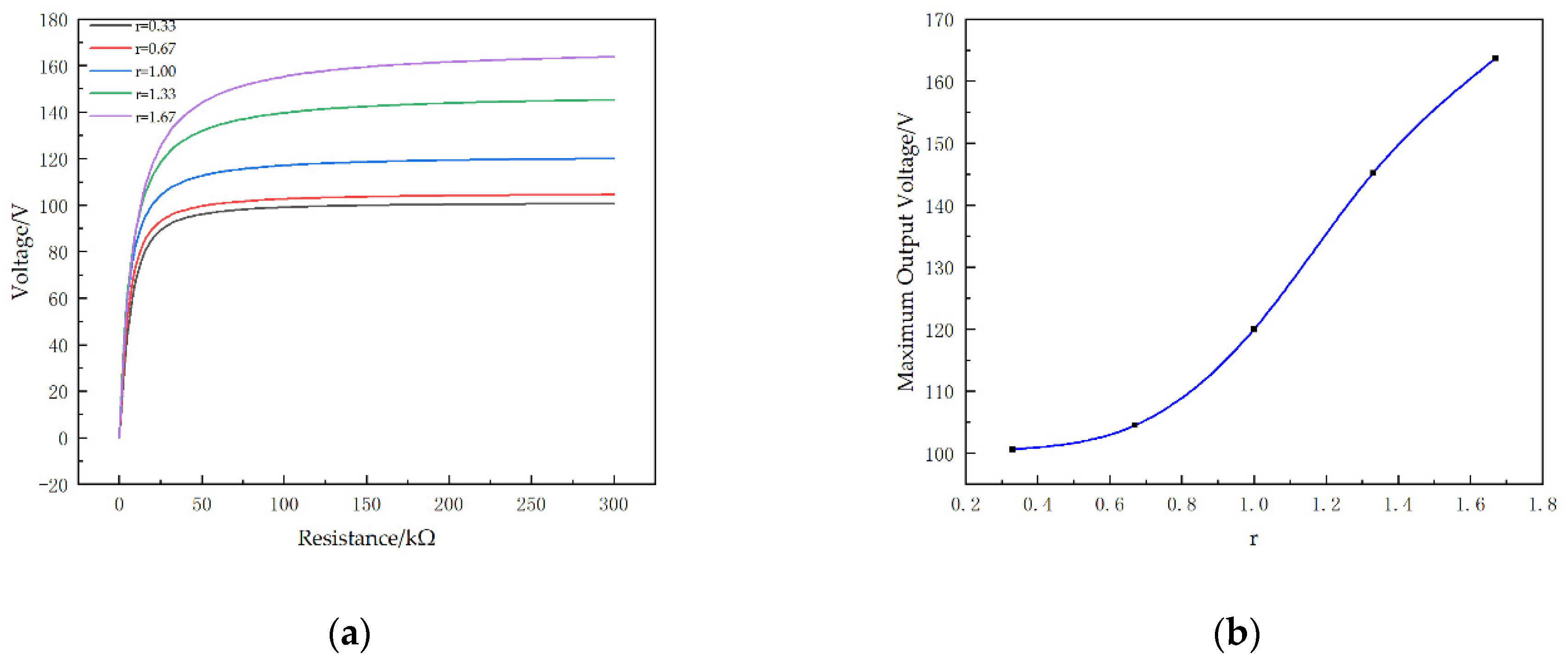
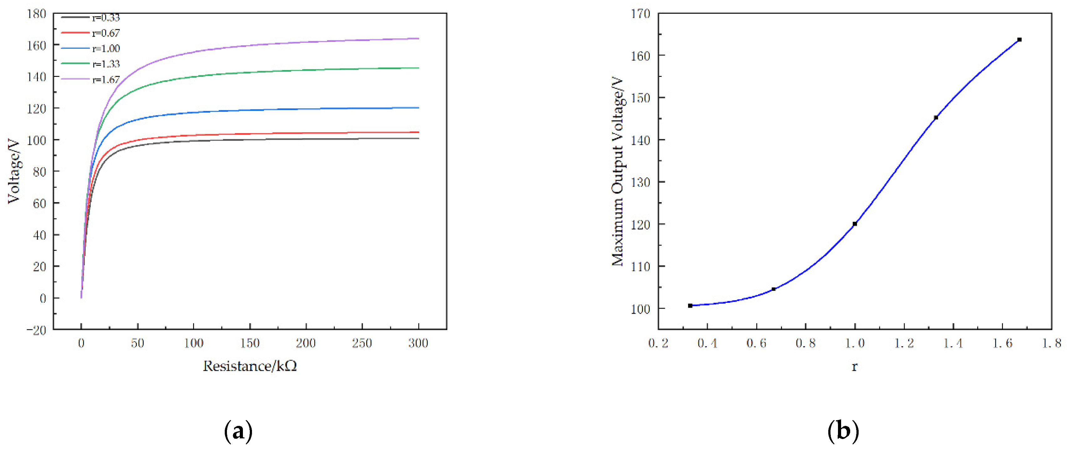
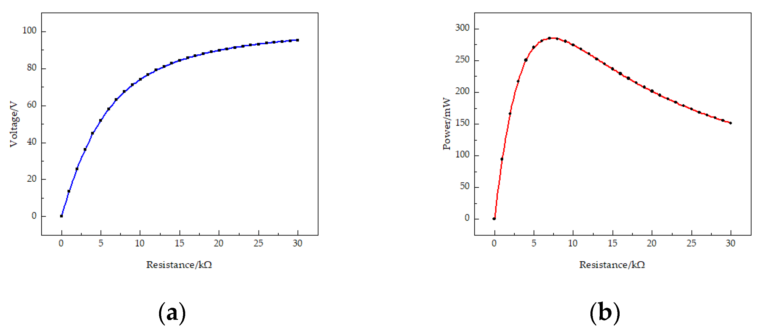
- The output performance of the STTM-PEH is affected by the resistance and external excitation. At first, the output voltage of the harvester increases with an increase in resistance, but when the resistance increases to a certain extent, the voltage does not increase any more. Secondly, as the resistance increases, the output power of the STTM-PEH increases first and then decreases, which means that there is an optimal resistance for maximizing the output power of the harvester. Thirdly, the output voltage and power of the STTM-PEH increase with the acceleration coefficient.
- (3)
- The output performance of the STTM-PEH with copper, chromium, silicon and structural steel as the substrate material of the T-shaped trapezoidal piezoelectric cantilever beam was studied. The results illustrate that a substrate material with a larger Poisson’s ratio can generate a higher output voltage and a material with a smaller Young’s modulus can produce higher output power. Among the selected substrate materials, copper generates the largest output voltage and power. Consequently, copper is utilized as the substrate material of the STTM-PEH to gain the highest possible power output.
- (4)
- The effects of the structural parameters, including the piezoelectric patch thickness, the T-shaped trapezoidal cantilever beam substrate thickness and the cantilever head length, on the output performance of the STTM-PEH were comprehensively explored. The results illustrate that the STTM-PEH produces greater output voltage and power when the piezoelectric patch thickness ranges from 0.2 to 0.5 and the substrate thickness ranges from 0.15 to 0.3 . Meanwhile, a longer cantilever head length can obtain higher output power when the external loading resistance is more than 200 . Hence, we can optimize the output performance of the STTM-PEH by properly changing its geometric parameters.
Author Contributions
Funding
Institutional Review Board Statement
Informed Consent Statement
Data Availability Statement
Acknowledgments
Conflicts of Interest
References
- Tian, X.; Lee, P.M.; Tan, Y.J.; Wu, T.L.; Yao, H.; Zhang, M.; Li, Z.; Ng, K.A.; Tee, B.C.; Ho, J.S. Wireless body sensor networks based on metamaterial textiles. Nat. Electron. 2019, 2, 243–251. [Google Scholar] [CrossRef]
- Wang, J.; Gao, Y.; Liu, W.; Sangaiah, A.K.; Kim, H.-J. Energy efficient routing algorithm with mobile sink support for wireless sensor networks. Sensors 2019, 19, 1494. [Google Scholar] [CrossRef]
- Agrawal, H.; Dhall, R.; Iyer, K.; Chetlapalli, V. An improved energy efficient system for IoT enabled precision agriculture. J. Ambient. Intell. Humaniz. Comput. 2020, 11, 2337–2348. [Google Scholar] [CrossRef]
- Lim, H.R.; Kim, H.S.; Qazi, R.; Kwon, Y.T.; Jeong, J.W.; Yeo, W.H. Advanced soft materials, sensor integrations, and applications of wearable flexible hybrid electronics in healthcare, energy, and environment. Adv. Mater. 2020, 32, 1901924. [Google Scholar] [CrossRef] [PubMed]
- Lv, Z.; Hu, B.; Lv, H. Infrastructure monitoring and operation for smart cities based on IoT system. IEEE Trans. Ind. Inform. 2019, 16, 1957–1962. [Google Scholar] [CrossRef]
- Mandel, C.; Jiménez-Sáez, A.; Polat, E.; Schüßler, M.; Kubina, B.; Scherer, T.; Lautenschläger, N.; Jakoby, R. Dielectric ring resonators as chipless temperature sensors for wireless machine tool monitoring. In Proceedings of the 2017 11th European Conference on Antennas and Propagation (EUCAP), Paris, France, 19–24 March 2017; pp. 3912–3916. [Google Scholar]
- Dong, Y.; Li, D.; Ducharne, B.; Wang, X.; Gao, J.; Zhang, B. Impedance Analysis and Optimization of Self-Powered Interface Circuit for Wireless Sensor Nodes Application. Shock. Vib. 2018, 2018, 1–11. [Google Scholar] [CrossRef]
- Jiang, C.; Li, X.; Lian, S.W.M.; Ying, Y.; Ho, J.S.; Ping, J. Wireless Technologies for Energy Harvesting and Transmission for Ambient Self-Powered Systems. ACS Nano 2021, 15, 9328–9354. [Google Scholar] [CrossRef]
- O’Riordan, E.; Frizzell, R.; O’Connell, D.; Blokhina, E. Characterisation of anti-resonance in two-degree-of-freedom electromagnetic kinetic energy harvester, with modified electromagnetic model. J. Intell. Mater. Syst. Struct. 2018, 29, 2295–2306. [Google Scholar] [CrossRef]
- Eun, Y.; Kwon, D.-S.; Kim, M.-O.; Yoo, I.; Sim, J.; Ko, H.-J.; Cho, K.-H.; Kim, J. A flexible hybrid strain energy harvester using piezoelectric and electrostatic conversion. Smart Mater. Struct. 2014, 23, 045040. [Google Scholar] [CrossRef]
- Ji, S.; Liao, X. Researches on MEMS thermoelectric-photoelectric integrated energy harvester with metal heat sink. Microelectron. J. 2020, 96, 104702. [Google Scholar] [CrossRef]
- Sezer, N.; Koç, M. A comprehensive review on the state-of-the-art of piezoelectric energy harvesting. Nano Energy 2021, 80, 105567. [Google Scholar] [CrossRef]
- Zhou, H.; Zhang, Y.; Qiu, Y.; Wu, H.; Qin, W.; Liao, Y.; Yu, Q.; Cheng, H. Stretchable piezoelectric energy harvesters and self-powered sensors for wearable and implantable devices. Biosens. Bioelectron. 2020, 168, 112569. [Google Scholar] [CrossRef] [PubMed]
- Lee, K.Y.; Gupta, M.K.; Kim, S.-W. Transparent flexible stretchable piezoelectric and triboelectric nanogenerators for powering portable electronics. Nano Energy 2015, 14, 139–160. [Google Scholar] [CrossRef]
- Saadon, S.; Sidek, O. A review of vibration-based MEMS piezoelectric energy harvesters. Energy Convers. Manag. 2011, 52, 500–504. [Google Scholar] [CrossRef]
- He, X.; Wen, Q.; Wen, Z.; Mu, X. A MEMS Piezoelectric Vibration Energy Harvester Based on Trapezoidal Cantilever Beam Array. In Proceedings of the 2020 IEEE 33rd International Conference on Micro Electro Mechanical Systems (MEMS), Vancouver, BC, Canada, 18–22 January 2020; pp. 532–535. [Google Scholar]
- Wang, Z.; Du, Y.; Li, T.; Yan, Z.; Tan, T. A flute-inspired broadband piezoelectric vibration energy harvesting device with mechanical intelligent design. Appl. Energy 2021, 303, 117577. [Google Scholar] [CrossRef]
- Yang, Z.; Zu, J. High-efficiency compressive-mode energy harvester enhanced by a multi-stage force amplification mechanism. Energy Convers. Manag. 2014, 88, 829–833. [Google Scholar] [CrossRef]
- Wu, Y.; Qiu, J.; Zhou, S.; Ji, H.; Chen, Y.; Li, S. A piezoelectric spring pendulum oscillator used for multi-directional and ultra-low frequency vibration energy harvesting. Appl. Energy 2018, 231, 600–614. [Google Scholar] [CrossRef]
- Xia, Y.; Ruzzene, M.; Erturk, A. Bistable attachments for wideband nonlinear vibration attenuation in a metamaterial beam. Nonlinear Dyn. 2020, 102, 1285–1296. [Google Scholar] [CrossRef]
- Zou, D.; Liu, G.; Rao, Z.; Tan, T.; Zhang, W.; Liao, W.-H. Design of vibration energy harvesters with customized nonlinear forces. Mech. Syst. Signal Processing 2021, 153, 107526. [Google Scholar] [CrossRef]
- Chen, K.; Gao, Q.; Fang, S.; Zou, D.; Yang, Z.; Liao, W.-H. An auxetic nonlinear piezoelectric energy harvester for enhancing efficiency and bandwidth. Appl. Energy 2021, 298, 117274. [Google Scholar] [CrossRef]
- Zhang, J.; Zhang, X.; Shu, C.; Fang, Z.; Ning, Y. Modeling and nonlinear analysis of stepped beam energy harvesting from galloping vibrations. J. Sound Vib. 2020, 479, 115354. [Google Scholar] [CrossRef]
- Uddin, M.; Islam, M.; Sampe, J.; Bhuyan, M.S. Design and Analysis of a T-shaped Piezoelectric Cantilever Beam at Low Resonant Frequency using Vibration for Biomedical Device. Asian J. Sci. Res. 2016, 9, 160–166. [Google Scholar] [CrossRef][Green Version]
- Matova, S.; Renaud, M.; Jambunathan, M.; Goedbloed, M.; Van Schaijk, R. Effect of length/width ratio of tapered beams on the performance of piezoelectric energy harvesters. Smart Mater. Struct. 2013, 22, 075015. [Google Scholar] [CrossRef]
- Hosseini, R.; Hamedi, M. An investigation into resonant frequency of trapezoidal V-shaped cantilever piezoelectric energy harvester. Microsyst. Technol. 2016, 22, 1127–1134. [Google Scholar] [CrossRef]
- Gawron, P.; Wendt, T.M.; Stiglmeier, L.; Hangst, N.; Himmelsbach, U.B. A Review on Kinetic Energy Harvesting with Focus on 3D Printed Electromagnetic Vibration Harvesters. Energies 2021, 14, 6961. [Google Scholar] [CrossRef]
- Zheng, T.; Wu, J.; Xiao, D.; Zhu, J. Recent development in lead-free perovskite piezoelectric bulk materials. Prog. Mater. Sci. 2018, 98, 552–624. [Google Scholar] [CrossRef]
- Liu, H.; Fu, H.; Sun, L.; Lee, C.; Yeatman, E.M. Hybrid energy harvesting technology: From materials, structural design, system integration to applications. Renew. Sustain. Energy Rev. 2021, 137, 110473. [Google Scholar] [CrossRef]
- Tang, E.; He, T.; Han, Y.; Chen, C. Influence of temperature on the electrical characteristic parameters and dynamic electro-mechanical behaviour of PZT-5H. Eur. Phys. J. Plus 2021, 136, 364. [Google Scholar] [CrossRef]
- Zhang, C.; Wei, W.; Sun, H.; Zhu, Q. Performance enhancements in poly (vinylidene fluoride)-based piezoelectric films prepared by the extrusion-casting process. J. Mater. Sci. Mater. Electron. 2021, 32, 21837–21847. [Google Scholar] [CrossRef]
- Fu, Y.Q.; Luo, J.; Nguyen, N.-T.; Walton, A.; Flewitt, A.J.; Zu, X.-T.; Li, Y.; McHale, G.; Matthews, A.; Iborra, E. Advances in piezoelectric thin films for acoustic biosensors, acoustofluidics and lab-on-chip applications. Prog. Mater. Sci. 2017, 89, 31–91. [Google Scholar] [CrossRef]
- Zhao, Q.; Liu, Y.; Wang, L.; Yang, H.; Cao, D. Design method for piezoelectric cantilever beam structure under low frequency condition. Int. J. Pavement Res. Technol. 2018, 11, 153–159. [Google Scholar] [CrossRef]
- Roundy, S.; Leland, E.S.; Baker, J.; Carleton, E.; Reilly, E.; Lai, E.; Otis, B.; Rabaey, J.M.; Wright, P.K.; Sundararajan, V. Improving power output for vibration-based energy scavengers. IEEE Pervasive Comput. 2005, 4, 28–36. [Google Scholar] [CrossRef]
- Xu, M.-H.; Zhou, H.; Zhu, L.-H.; Shen, J.-N.; Zeng, Y.-B.; Feng, Y.-J.; Guo, H. Design and fabrication of a D 33-mode piezoelectric micro-accelerometer. Microsyst. Technol. 2019, 25, 4465–4474. [Google Scholar] [CrossRef]
- DuToit, N.E.; Wardle, B.L. Experimental verification of models for microfabricated piezoelectric vibration energy harvesters. AIAA J. 2007, 45, 1126–1137. [Google Scholar] [CrossRef]
- Erturk, A.; Inman, D.J. A distributed parameter electromechanical model for cantilevered piezoelectric energy harvesters. J. Vib. Acoust. 2008, 130, 041002. [Google Scholar] [CrossRef]














| Heading | Size |
|---|---|
| Upper bottom of trapezoidal cantilever body | 14 |
| Lower bottom of trapezoidal cantilever body | 40 |
| Length of trapezoidal cantilever body | 60 |
| Cantilever head | |
| Mass |
| Components of the STTM-PEH | Materials | Size | Piezoelectric Coefficient |
|---|---|---|---|
| Electrode | Aluminum | - | |
| Piezoelectric material | PZT-5H | −41 to 274 | |
| Insulating encapsulation layer | PET insulating sheet | - | |
| Conductive adhesive layer | Epoxy resin | - |
| Substrate Material | Young’s Modulus () | Density () | Poisson’s Ratio |
|---|---|---|---|
| Copper | |||
| Chromium | |||
| Silicon | |||
| Structural steel |
Publisher’s Note: MDPI stays neutral with regard to jurisdictional claims in published maps and institutional affiliations. |
© 2022 by the authors. Licensee MDPI, Basel, Switzerland. This article is an open access article distributed under the terms and conditions of the Creative Commons Attribution (CC BY) license (https://creativecommons.org/licenses/by/4.0/).
Share and Cite
Xu, W.; Ao, H.; Zhou, N.; Song, Z.; Jiang, H. Analysis of Output Performance of a Novel Symmetrical T-Shaped Trapezoidal Micro Piezoelectric Energy Harvester Using a PZT-5H. Micromachines 2022, 13, 282. https://doi.org/10.3390/mi13020282
Xu W, Ao H, Zhou N, Song Z, Jiang H. Analysis of Output Performance of a Novel Symmetrical T-Shaped Trapezoidal Micro Piezoelectric Energy Harvester Using a PZT-5H. Micromachines. 2022; 13(2):282. https://doi.org/10.3390/mi13020282
Chicago/Turabian StyleXu, Wenda, Hongrui Ao, Nannan Zhou, Zenghao Song, and Hongyuan Jiang. 2022. "Analysis of Output Performance of a Novel Symmetrical T-Shaped Trapezoidal Micro Piezoelectric Energy Harvester Using a PZT-5H" Micromachines 13, no. 2: 282. https://doi.org/10.3390/mi13020282
APA StyleXu, W., Ao, H., Zhou, N., Song, Z., & Jiang, H. (2022). Analysis of Output Performance of a Novel Symmetrical T-Shaped Trapezoidal Micro Piezoelectric Energy Harvester Using a PZT-5H. Micromachines, 13(2), 282. https://doi.org/10.3390/mi13020282
