Development of High-Sensitivity Electrically Conductive Composite Elements by Press Molding of Polymer and Carbon Nanofibers
Abstract
:1. Introduction
2. Materials and Methods
2.1. Structure Design for Composite Element
2.2. Materials
2.3. Press Molding for Composite Structure Fabrication
2.4. Investigation of CNFs Network Formation
2.5. Conductivity Evaluation
3. Results and Discussion
3.1. Wavy Conductive Path Formation Process
3.2. Behavior of CNFs under Tension
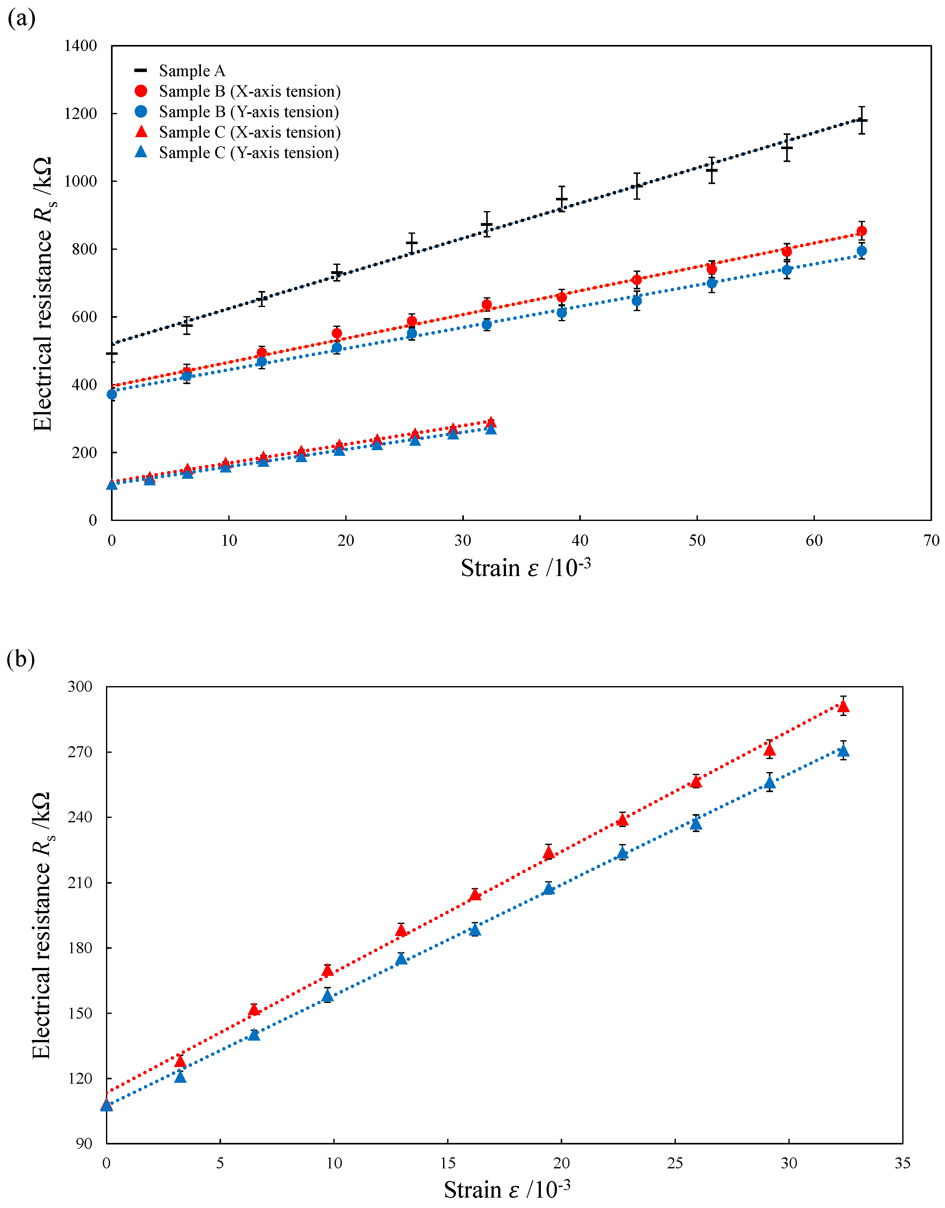
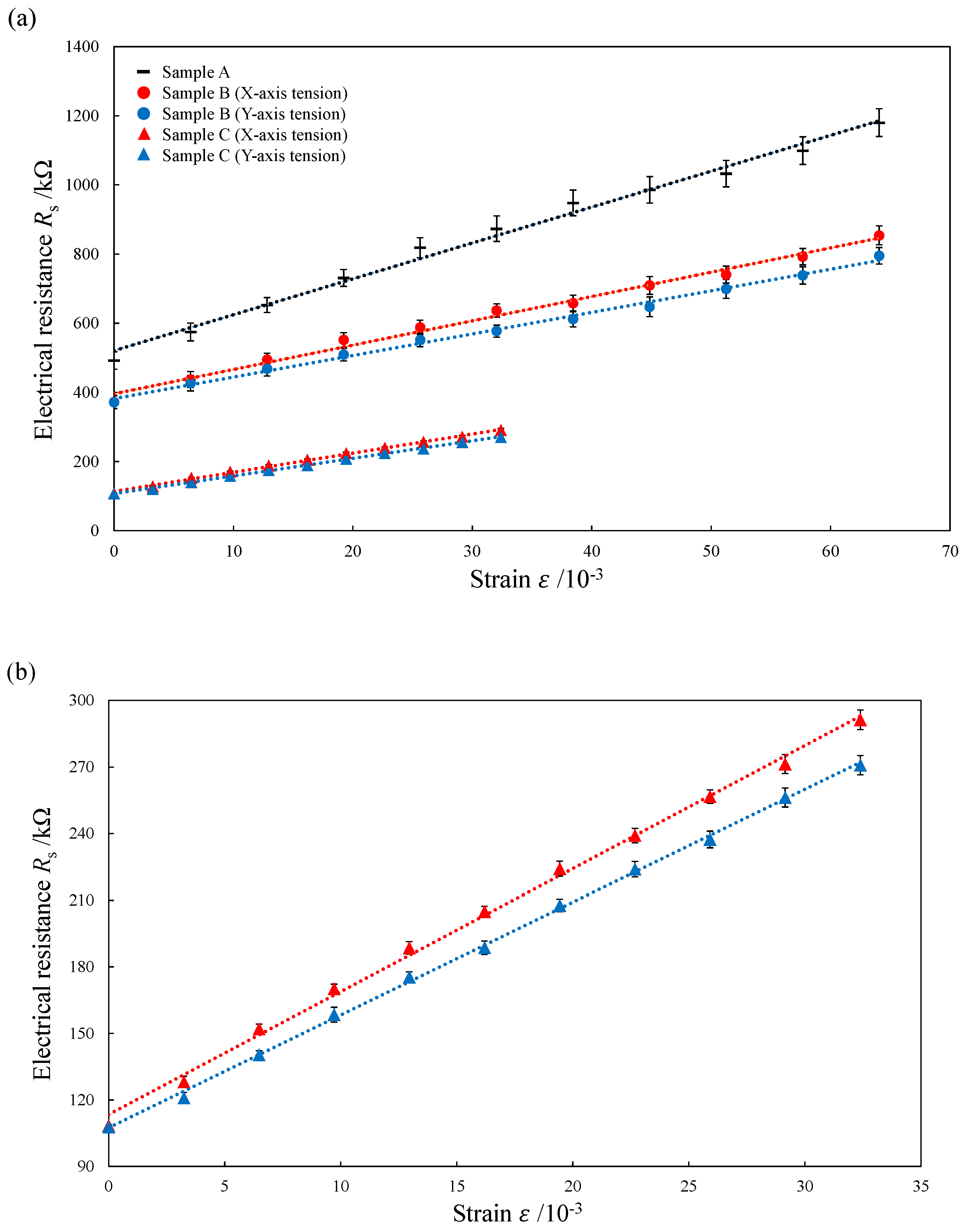
3.3. Electrical Resistance Evaluation
3.4. Gauge Factor Evaluation
4. Conclusions
- (1)
- The surface periodic structure of TPO transferred from a mold with LIPSS exhibited a strong effect of retaining CNFs and unifying the CNF distribution. As a result, the electrical resistance was decreased.
- (2)
- A wavy conductive path of CNFs was formed based on the periodic structure of TPO surface. Due to the compression of the CNF aggregate by a pressing force, the contact points among the fibers increased. The conductive path decreased the electrical resistance by approximately 70% under no tension.
- (3)
- Under tension, the contact points of CNFs decrease in the wavy conductive parts where tensile stress is generated, while in locations where compressive stress is generated, the contact points are less affected.
- (4)
- The composite element with a sandwich structure showed a gauge factor over 47 which is several times higher than that of conventional CNF-based conductive elements reported in previous studies, indicating significantly higher sensitivity as a strain sensor.
Author Contributions
Funding
Conflicts of Interest
References
- Jang, B.-K.; Tsuda, K.; Sakka, Y. Alignment of Carbon Nanofibers in the Al2O3 Matrix under a Magnetic Field. Mater. Trans. 2011, 52, 572–575. [Google Scholar] [CrossRef]
- Zhigalina, V.; Zhigalina, O.; Ponomarev, I.; Skupov, K.; Razorenov, D.Y.; Ponomarev, I.I.; Kiselev, N.; Leitinger, G. Electron microscopy study of new composite materials based on electrospun carbon nanofibers. CrystEngComm 2017, 19, 3792–3800. [Google Scholar] [CrossRef]
- Chen, C.; Zhang, Z.; Xu, M.; Kou, L.; Yan, J.; Jia, W.; Zhao, W.; Yun, J. Inventive design of Cu/SiO2 substrate for chemical vapor deposition preparation of dense carbon nanofibers. Diam. Relat. Mater. 2018, 89, 174–179. [Google Scholar] [CrossRef]
- Wu, G.; Ma, L.; Liu, L.; Wang, Y.; Huang, Y. Interfacial improvement of carbon fiber-reinforced methylphenylsilicone resin composites with sizing agent containing functionalized carbon nanotubes. J. Adhes. Sci. Technol. 2015, 29, 2295–2310. [Google Scholar] [CrossRef]
- Al-Sabagh, A.; Taha, E.; Kandil, U.; Awadallah, A.; Nasr, G.-A.M.; Taha, M.R. Monitoring Moisture Damage Propagation in GFRP Composites Using Carbon Nanoparticles. Polymers 2017, 9, 94. [Google Scholar] [CrossRef] [PubMed] [Green Version]
- Yao, H.; Zhou, G.; Wang, W.; Peng, M. Effect of polymer-grafted carbon nanofibers and nanotubes on the interlaminar shear strength and flexural strength of carbon fiber/epoxy multiscale composites. Compos. Struct. 2018, 195, 288–296. [Google Scholar] [CrossRef]
- Ladani, L.; Awad, I.; She, Y.; Dardona, S.; Schmidt, W. Fabrication of carbon nanotube/copper and carbon nanofiber/copper composites for microelectronics. Mater. Today Commun. 2017, 11, 123–131. [Google Scholar] [CrossRef] [Green Version]
- Wang, Y.; Han, J.; Guo, F.; Ke, X. Effects of Grain Orientation on the Electromigration of Cu-Reinforced Composite Solder Joints. J. Electron. Mater. 2017, 46, 5877–5883. [Google Scholar] [CrossRef]
- Wang, F.; Zhou, L.; Zhang, Z.; Wang, J.; Wang, X.; Wu, M. Effect of Sn-Ag-Cu on the Improvement of Electromigration Behavior in Sn-58Bi Solder Joint. J. Electron. Mater. 2017, 46, 6204–6213. [Google Scholar] [CrossRef]
- Wang, B.; Wolfe, D.; Terrones, M.; Haque, M.; Ganguly, S.; Roy, A. Electro-graphitization and exfoliation of graphene on carbon nanofibers. Carbon 2017, 117, 201–207. [Google Scholar] [CrossRef]
- Lim, A.C.; Jadhav, H.S.; Kwon, H.J.; Gil Seo, J. High-Loading Carbon Nanotubes on Polymer Nanofibers as Stand-Alone Anode Materials for Li-Ion Batteries. ACS Omega 2019, 4, 4129–4137. [Google Scholar] [CrossRef] [PubMed]
- Wang, R.; Sun, Y.; Xiong, K.; Zheng, J.; Qian, Z.; He, Z. Optimal Quantity of Nano-Silicon for Electrospun Silicon/Carbon Fibers as High Capacity Anodes. Front. Chem. 2020, 7, 867. [Google Scholar] [CrossRef] [PubMed] [Green Version]
- Park, S.-H.; Jung, H.-R.; Kim, B.-K.; Lee, W.-J. MWCNT/mesoporous carbon nanofibers composites prepared by electrospinning and silica template as counter electrodes for dye-sensitized solar cells. J. Photochem. Photobiol. A Chem. 2012, 246, 45–49. [Google Scholar] [CrossRef]
- Hieu, N.T.; Baik, S.J.; Chung, O.H.; Park, J.S. Fabrication and characterization of electrospun carbon nanotubes/titanium dioxide nanofibers used in anodes of dye-sensitized solar cells. Synth. Met. 2014, 193, 125–131. [Google Scholar] [CrossRef]
- Kilic, B.; Simsek, E.B.; Turkdogan, S.; Demircivi, P.; Tuna, Ö.; Mucur, S.P.; Berek, D. Carbon nanofiber based CuO nanorod counter electrode for enhanced solar cell performance and adsorptive photocatalytic activity. J. Nanopart. Res. 2020, 22, 52. [Google Scholar] [CrossRef]
- Nayak, L.; Khastgir, D.; Chaki, T. Influence of carbon nanofibers reinforcement on thermal and electrical behavior of polysulfone nanocomposites. Polym. Eng. Sci. 2012, 52, 2424–2434. [Google Scholar] [CrossRef]
- Pingot, M.; Szadkowski, B.; Zaborski, M. Effect of carbon nanofibers on mechanical and electrical behaviors of acrylonitrile-butadiene rubber composites. Polym. Adv. Technol. 2018, 29, 1661–1669. [Google Scholar] [CrossRef]
- Sun, D.-X.; Yang, C.-J.; Qi, X.-D.; Yang, J.-H.; Wang, Y. Largely enhanced fracture toughness of the PP/EPDM blends induced by adding carbon nanofibers. Compos. Sci. Technol. 2018, 164, 146–152. [Google Scholar] [CrossRef]
- Kumar, V.; Lee, G.; Singh, K.; Choi, J.; Lee, D.-J. Structure-property relationship in silicone rubber nanocomposites reinforced with carbon nanomaterials for sensors and actuators. Sensors Actuators A Phys. 2019, 303, 111712. [Google Scholar] [CrossRef]
- Yang, H.; Yao, X.; Yuan, L.; Gong, L.; Liu, Y. Strain-sensitive electrical conductivity of carbon nanotube-graphene-filled rubber composites under cyclic loading. Nanoscale 2019, 11, 578–586. [Google Scholar] [CrossRef]
- Kisin, E.; Murray, A.; Sargent, L.; Lowry, D.; Chirila, M.; Siegrist, K.; Schwegler-Berry, D.; Leonard, S.; Castranova, V.; Fadeel, B.; et al. Genotoxicity of carbon nanofibers: Are they potentially more or less dangerous than carbon nanotubes or asbestos? Toxicol. Appl. Pharmacol. 2011, 252, 1–10. [Google Scholar] [CrossRef] [PubMed] [Green Version]
- Zhao, S.; He, L.; Lu, Y.; Duo, L. The impact of modified nano-carbon black on the earthworm Eisenia fetida under turfgrass growing conditions: Assessment of survival, biomass, and antioxidant enzymatic activities. J. Hazard. Mater. 2017, 338, 218–223. [Google Scholar] [CrossRef] [PubMed]
- Tang, Z.; Yao, D.; Du, D.; Ouyang, J. Highly machine-washable e-textiles with high strain sensitivity and high thermal conduction. J. Mater. Chem. C 2020, 8, 2741–2748. [Google Scholar] [CrossRef]
- Gu, J.; Kwon, D.; Ahn, J.; Park, I. Wearable strain sensors using light transmittance change of carbon nanotube-embedded elastomers with microcracks. ACS Appl. Mater. Interfaces 2019, 12, 10908–10917. [Google Scholar] [CrossRef] [PubMed]
- Lee, Y.; Joo, M.-K.; Le, V.T.; Ovalle-Robles, R.; Lepró, X.; Lima, M.D.; Suh, D.G.; Yu, H.Y.; Lee, Y.H.; Suh, D. Ultrastretchable Analog/Digital Signal Transmission Line with Carbon Nanotube Sheets. ACS Appl. Mater. Interfaces 2017, 9, 26286–26292. [Google Scholar] [CrossRef] [PubMed]
- Kumar, V.; Rawal, A. A model for predicting uniaxial compression behavior of fused fibrous networks. Mech. Mater. 2014, 78, 66–73. [Google Scholar] [CrossRef]
- Kumar, V.; Rawal, A. Compression induced electrical response of entangled network of carbon nanomaterials. Polymer 2016, 84, 117–120. [Google Scholar] [CrossRef]
- Wang, M.; Qiu, Y.; Jia, J.; Wang, C.; Deng, J.; Pan, K. Wavelength-Gradient Graphene Films for Pressure-Sensitive Sensors. Adv. Mater. Technol. 2018, 4. [Google Scholar] [CrossRef]
- Shen, Y.; Wang, Y.; Luo, Z.; Wang, B. Durable, Sensitive, and Wide-Range Wearable Pressure Sensors Based on Wavy-Structured Flexible Conductive Composite Film. Macromol. Mater. Eng. 2020, 305, 2000206. [Google Scholar] [CrossRef]
- Takei, A.; Tsukamoto, S.; Komazaki, Y.; Kusaka, Y.; Kuribara, K.; Yoshida, M. Stretchable and durable Parylene/PEDOT: PSS/Parylene multi-layer induced by plastic deformation for stretchable device using functionalized PDMS. AIP Adv. 2020, 10, 025205. [Google Scholar] [CrossRef] [Green Version]
- Hu, Y.; Ding, J. Effects of morphologies of carbon nanofillers on the interfacial and deformation behavior of polymer nanocomposites–A molecular dynamics study. Carbon 2016, 107, 510–524. [Google Scholar] [CrossRef]
- Govorov, A.; Wentzel, D.; Miller, S.; Kanaan, A.; Sevostianov, I. Electrical conductivity of epoxy-graphene and epoxy-carbon nanofibers composites subjected to compressive loading. Int. J. Eng. Sci. 2018, 123, 174–180. [Google Scholar] [CrossRef]
- Buldum, A.; Lu, J. Contact resistance between carbon nanotubes. Phys. Rev. B 2001, 63, 161403. [Google Scholar] [CrossRef] [Green Version]
- Cruz-Pacheco, A.F.; Paredes-Madrid, L.; Orozco, J.; Gómez-Cuaspud, J.A.; Batista-Rodríguez, C.R.; Gómez, C.A.P. Assessing the Influence of the Sourcing Voltage on Polyaniline Composites for Stress Sensing Applications. Polymers 2020, 12, 1164. [Google Scholar] [CrossRef] [PubMed]












| Parameter | Value |
|---|---|
| Density [g/cm3] | 0.918 |
| Tensile modulus [MPa] | 8.41 |
| Tensile strength [MPa] | 8.3 |
| Poisson’s ratio | 0.419 |
| Parameter | Value |
|---|---|
| Pulse width [fs] | 256 |
| Frequency [kHz] | 100 |
| Laser power [mW] | 50 |
| Scanning speed [mm/s] | 50 |
| Repetition [times] | 3 |
| Pitch [µm] | 10 |
| Parameter | Value |
|---|---|
| Diameter [nm] | 0.918 |
| Length [µm] | 8.41 |
| Volume resistivity [Ω·cm] | 8.3 |
| Specific surface area [m2/g] | 0.419 |
| Parameter | Value |
|---|---|
| Pressing force [kN] | 1.0 (1st press for transferring LIPSS) 0.2 (2nd press for closing sandwich structure) |
| Pressing time [s] | 320 |
| Heating and pressing holding time [s] | 20 |
| Heating temperature [℃] | 160 |
| Cooling temperature [℃] | 90 |
| 1st Press for Transferring LIPSS | 2nd Press for Closing Sandwich Structure | |
|---|---|---|
| Sample A | No | No |
| Sample B | Yes | No |
| Sample C | Yes | Yes |
Publisher’s Note: MDPI stays neutral with regard to jurisdictional claims in published maps and institutional affiliations. |
© 2022 by the authors. Licensee MDPI, Basel, Switzerland. This article is an open access article distributed under the terms and conditions of the Creative Commons Attribution (CC BY) license (https://creativecommons.org/licenses/by/4.0/).
Share and Cite
Aikawa, S.; Zhao, Y.; Yan, J. Development of High-Sensitivity Electrically Conductive Composite Elements by Press Molding of Polymer and Carbon Nanofibers. Micromachines 2022, 13, 170. https://doi.org/10.3390/mi13020170
Aikawa S, Zhao Y, Yan J. Development of High-Sensitivity Electrically Conductive Composite Elements by Press Molding of Polymer and Carbon Nanofibers. Micromachines. 2022; 13(2):170. https://doi.org/10.3390/mi13020170
Chicago/Turabian StyleAikawa, Shunsuke, Yugang Zhao, and Jiwang Yan. 2022. "Development of High-Sensitivity Electrically Conductive Composite Elements by Press Molding of Polymer and Carbon Nanofibers" Micromachines 13, no. 2: 170. https://doi.org/10.3390/mi13020170
APA StyleAikawa, S., Zhao, Y., & Yan, J. (2022). Development of High-Sensitivity Electrically Conductive Composite Elements by Press Molding of Polymer and Carbon Nanofibers. Micromachines, 13(2), 170. https://doi.org/10.3390/mi13020170

