Abstract
Narrow-bandgap germanium–tin (GeSn) is employed to fabricate metal–semiconductor–metal (MSM) near-infrared photodetectors with low-dark currents and high responsivity. To reduce the dark current, the SiO2 layer is inserted in between the metal and semiconductor to increase the barrier height, albeit at the expense of photocurrent reduction. To couple more incident light into the absorption layer to enhance the responsivity, the distributed Bragg reflectors (DBRs) are deposited at the bottom of the GeSn substrate while placing the anti-reflection layer on the surface of the absorption layer. With the interdigital electrode spacing and width, both set at 5 µm and with 1 V bias applied, it is found the responsivities of the generic MSM control sample detector, the MSM with DBR, and the MSM with AR layer are 0.644 A/W, 0.716 A/W, and 1.30 A/W, respectively. The corresponding specific detectivities are 8.77 × 1010, 1.11 × 1011, and 1.77 × 1011 cm·Hz1/2/W, respectively. The measurement data show that these designs effectively enhance the photocurrent and responsivity. At 1 V bias voltage, normalized responsivity evinces that the photodetection range has been extended from 1550 nm to over 2000 nm, covering the entire telecommunication band. Incorporating GeSn as a sensing layer offers one of the new alternative avenues for IR photodetection.
1. Introduction
Infrared (IR) photodetectors are considered a niche in a myriad of applications that involve night vision, astronomy, ballistic missile tracking, microelectronics/nanoelectronics reliability testing, and environmental tracking, just to name a few. Traditionally, infrared radiation can be classified according to a particular wavelength range it falls into. Therefore, in general, a near-wavelength or a short-wavelength IR region corresponds to 0.8 to 3 μm, a range of 3 to 5 μm belongs to a mid-wavelength IR (MWIR) region, while a span of 8 to 12 μm is known as the long-wavelength IR (LWIR) region. To satisfy the particular spectral detection needs, quite a few conventional materials have already been investigated and put into practical use. For example, the aforementioned IR regimes can be conveniently covered by Ge (0.8–1.8 µm), InGaAs (0.9–2.6 µm), PbS (1.0–2.9 µm), PbSe (1.5–4.8 µm), and HgCdTe alloys (2.0–8.0 µm) [1,2]. In addition to these materials, other novel material candidates have also been pursued and studied. For instance, a InN/GaN heterostructural photodetector operating at 1064 nm has been fabricated and evaluated with a responsivity of 37.07 A/W under an illumination intensity of 50 µW/cm2 at −1.1 V [3]. Perovskite-based tandem photodetectors incorporating an interlayer of PMMA doped with Au nanoparticles have been tested to yield a responsivity of approximately 381 A/W, under an 850 nm illumination intensity of 270 μW/cm2 and at a biasing voltage of 1 V [4]. Other broadband IR photodetectors based on the hybrid bulk heterojunction of PbSe colloidal quantum dots and CsPbBr1.5I1.5 mixed-halide perovskite nanocrystals have been fabricated and characterized to yield the optical responsivities of 4.46 and 3.87 A/W, under the 980 and 1550 nm illumination intensities of 0.4 and 0.2 mW/cm2 at 0 V, respectively [5]. There has also been an attempt to use p-BP/n-PdSe2 transition-metal dichalcogenide (TMD) to fabricate a gate-tunable Van der Waals heterostructural photodetector to detect IR radiation with a gate-controlled photoresponsivity of 4.53 × 105 and 1.63 × 105 A/W, under the irradiation of light of IR wavelengths of 1064 and 1310 nm, respectively [6]. However, judging from the unique perspective of the silicon platform, the above-mentioned photodetectors certainly bear very little compatibility with the CMOS-processing flow. Therefore, finding silicon-based semiconducting alloys that are also capable of detecting IR radiation appears to be sensible to pursue.
For more than several decades, silicon and germanium have been the main candidate materials utilized for optoelectronics and photonic integrated circuits [7,8,9]. However, for a detecting spectrum that falls within the infrared regime, silicon photodetectors usually have low responsivity in the short-wave infrared (SWIR) range. In response to this shortcoming, research interest has gradually shifted to Ge because of its direct bandgap that supports a telecommunication wavelength of 1310 nm. Unfortunately, the responsiveness of Ge-based devices drops dramatically beyond 1500 nm [10,11]. Therefore, Ge-based devices are not well-suited for optical detection in the near- and mid-infrared (MIR) range. Germanium is believably a quasi-direct bandgap material with a direct bandgap energy corresponding to a wavelength of 1550 nm. By judiciously alloying Ge with Sn of certain content, the resulting bandgap shrinkage will push the detection wavelength range beyond 2000 nm [11]. Certainly, a wavelength of 2000 nm is not unique for GeSn, since this particular wavelength can also be delivered by conventional III-V compound semiconductor systems [12]. However, for the benefits of silicon photonics and the prospective monolithic integration over silicon, it is vital to mandate the fabrication processes of the photonic components to be complementary metal–oxide–semiconductor (CMOS) compatible. In recent years, GeSn and its relevant alloys have emerged as promising optoelectronic materials for dealing with the aforementioned fabrication and performance concerns [13,14,15,16,17]. It has been reported that as Sn content reaches 3%, the cut-off wavelength of the Ge1−xSnx photodetectors is approximately 1800 nm [18], while increasing the Sn composition x to 0.065 or 6.5% means the resultant 2000 nm detecting band is well-covered [19]. As for the comparison, our 100 nm-thick GeSn film with approximately 8% Sn content is deposited over the 100 nm-thick-Ge-buffered silicon-on-insulator (SOI) substrate using the ultrahigh vacuum chemical vapor deposition technique.
On the other hand, enhancing the responsivity is also one of the vital tasks confronting the designers of optical photodetectors. Several innovative schemes that have been reported up to date include the utilization of photon-trapping microstructures [20], the inclusion of a resonant cavity realized either with the top- and bottom-distributed Bragg reflectors (DBRs) [21] or a buried oxide (BOX) layer as a bottom reflector coupled with a SiO2 passive layer as a top reflector [22], and waveguide-coupled photodetection [23]. With a somewhat similar approach but a different operating principle [21], what we propose instead is to introduce the SiO2/TiO2 dielectric DBR reflector stack along with the SiO2 anti-reflection layer to the photodetectors, aiming for the benefit of dialing up the optical responsivity at a near-infrared or a short-wavelength-infrared (SWIR) band. To our knowledge, we believe this is the first time a pure dielectric DBR mirror stack and SiO2 antireflection layer have been jointly incorporated with GeSn photodetectors. Unlike other traditional semiconductor-based DBRs such as Si/SiO2 and InAs/AlAs, one unparalleled benefit of using the dielectric DBR mirror stacks, such as the SiO2/TiO2 adopted in the current study, is that its absorption is negligibly small in the visible and near-infrared spectral ranges [24], which translates to the enhanced reflectivity of the stack and tiny absorption-related losses. In terms of contemplating plausible device configurations for photodetection, a metal–semiconductor–metal (MSM) photodetector is selected for the reason of its structural simplicity that comes in the form of back-to-back Schottky diodes, along with the interdigitated metal finger electrodes patterned on a semiconductor layer. To recap what we wish to pursue in this paper, we seek to demonstrate a GeSn MSM photodetector for enhancing the responsivity in the SWIR regime. The objective could be met by equipping the MSM photodetector with a SiO2/TiO2 DBR stack and SiO2 anti-reflection layer structure for benchmark comparison. The final suggestion on how to enhance the detector performance by optimizing the antireflection coating in a form of a multilayer structure is also provided.
2. Device Fabrication
- A.
- Metal–semiconductor–metal (MSM) structure
A clean lithography-ready substrate is covered with HMDS beforehand to increase photoresist (PR) adhesion on the substrate surface. The AZ-5214 PR is then coated using a spin coater. To obtain a specific thickness, the PR AZ-5214 is coated at an angular speed of 4000 revolutions per minute (rpm) for 30 s. The PR AZ-5214 coated substrate is then baked at 90 °C for 90 s. After lithographically defining the pattern, 150 nm-thick titanium metal is deposited on the substrate before performing a lift-off step, as depicted in Figure 1a.
Figure 1.
(a) Top view of MSM photodetector design. (b) The bird’s eye and cross-sectional views of the MSM photodetector with DBR and anti-reflection layer.
- B.
- MSM structure with DBR
The DBR structure is first added to the backside of the specimen chip with six pairs of SiO2/TiO2 mirror stacks using the electron-beam evaporation technique, and each pair consists of 340 nm-thick SiO2 and 180 nm-thick TiO2. Both SiO2 and TiO2 layers are deposited via the electron-beam evaporation technique. Specifically, each SiO2 layer is deposited at a rate of 0.7 Å/sec while the chamber pressure is kept at 4.5 × 10−5 torrs. For each TiO2 layer, the deposition rate is maintained at 0.3 Å/sec while the chamber pressure is also kept at 4.5 × 10−5 torrs. The relevant design parameters of the DBR stacks are verified before the actual deposition by carrying out a MATLAB simulation to ensure the reflection spectrum of the mirror stacks coincides with the intended detection wavelength range. The design of our SiO2/TiO2 reflection stack is based on an incident wavelength of 2000 nm and SiO2/TiO2 refractive indices of 1.45/2.4 so that the thickness of each layer can be ascertained accordingly.
- C.
- MSM structure with DBR and anti-reflection layer
First, after cleaning the specimen coated with the DBR structure, the SiO2 anti-reflection layer is deposited through the electron-beam evaporation method on the surface of the specimen with a thickness of 340 nm, and the pattern is defined by lithography. The anti-reflection is targeted at a wavelength of 2000 nm. Then, the substrate is etched with BOE for 40 s, and titanium metal is deposited on the substrate at 150 nm and lift-off, as depicted in Figure 1b. In the metal electrode section, the sizes of 5, 10, 15, and 20 µm are targeted for the interdigital electrode spacing and width, and the interdigital electrode length is 300 µm, as depicted in Figure 2.
Figure 2.
The sizes are (a) 5, (b) 10, (c) 15, and (d) 20 µm for the interdigital electrode spacing and width.
3. Results and Discussion
- A.
- Metal–semiconductor–metal (MSM) structure
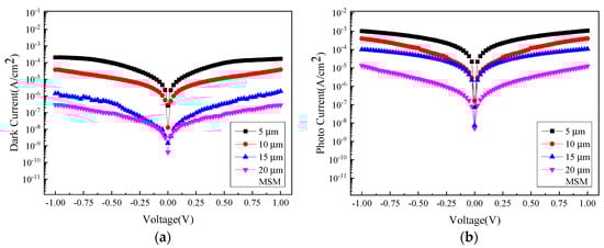
The MSM photodetector performance is investigated in terms of measuring the dark current and the photocurrent. The dark current is measured under no illumination, and Figure 3a shows the comparison of the dark current-voltage characteristics measured for samples of four different sizes (5, 10, 15, and 20 µm). The photocurrent is quantified by using a light source with a wavelength of 2000 nm to irradiate the surface of the photodetector. Figure 3b shows the comparison of photocurrent-to-voltage relations recorded for the four samples, as mentioned previously.
Figure 3.
The current density–voltage relations for the MSM photodetectors with four different sizes: (a) under no illumination, and (b) under the illumination of 2000 nm wavelength.
By ranking the magnitude of the current from the highest to the lowest, the smallest electrode size of 5 µm yields the highest current while the largest size of 20 µm has the lowest current. This observation is attributed to the fact that as the distance between the interdigital electrode spacing increases, the electron-hole pairs (EHPs) distancing away from the respective electrodes also increase, thereby augmenting the resistance they encounter or decreasing the corresponding current at the same voltage. Figure 4 shows the comparison of photocurrent (Iphoto) and dark current (Idark) between samples of different sizes. The photocurrent surpassing the dark current typically represents the generation of the EHPs instigated by the incident light source, followed by a subsequent drift to electrodes due to the applied voltage.
Figure 4.
The photocurrent and dark current density between different sizes: (a) 5 µm, (b) 10 µm, (c) 15 µm, and (d) 20 µm.
The dark current can be curtailed by adding a 10 nm-thick SiO2 layer between the interdigital electrodes and GeSn, turning it into a metal–insulator–semiconductor (MIS)-based photodetector. By comparing with a conventional MSM device sample, the dark current reduction has been consistently observed from the MIS-based photodetectors of all different electrode sizes. For instance, the dark current of an MIS-based photodetector covered with interdigital electrodes of 5 μm finger/spacing widths can be brought down by more than an order of magnitude, as shown in Figure 5a. However, its photocurrent, unfortunately, has also been compromised by less than an order of magnitude, as depicted in Figure 5b. What we have observed can be properly elucidated by using a set of schematic band diagrams presented in Figure 6. As clearly depicted in Figure 6a, inserting a thin SiO2 layer helps to elevate the barrier height between metal and GeSn, which prevents the interfacially and bulk-trapped carriers from transporting into metal after being excited into the conduction band. However, as depicted in Figure 6b, the photo carriers generated after light illumination have also been impeded from crossing over the barrier into metal, thereby bringing down the magnitude of photocurrent.
Figure 5.
The current-voltage comparison between the MIS-based and conventional MSM photodetectors: (a) the dark current and (b) photocurrent.
Figure 6.
Band diagrams of an MIS diode: (a) in a dark condition and (b) under light illumination.
The entire measurement setup consists of a probe station, an IR light source for wavelengths up to 2100 nm, a source meter, and data acquisition software. Specifically, the current-voltage measurement data of our photodetectors are collected with a Keithley 2632A source meter. The light source used to deliver light of different wavelengths needed for the responsivity and specific detectivity characterizations is achieved by using a Newport 250 W quartz–tungsten–halogen research light source connected with a monochromator.
The responsivity is directly proportional to the level of photocurrent detected. The responsivity R can be determined by R = (Iphoto − Idark)/Pin, where Pin is the output power incident on the GeSn absorption layer. Since metal blocks the incident photons from reaching the GeSn absorption layer, the responsivity is extracted by excluding the shadowing effect of the metal contacts on the top of the GeSn MSM PDs. As can be seen in Figure 7, the responsivity is estimated to be 0.644 A/W, 0.133 A/W, 26.5 mA/W, and 21.2 mA/W for the size of 5, 10, 15, and 20 µm, at an incident wavelength of 2000 nm at 1 V bias voltage, respectively. Furthermore, the specific detectivity (D*) can be calculated in terms of the responsivity R as , where A is the effective area for light detection and q is the electronic charge. Therefore, the highest responsivity achieved for 5 μm interdigital spacing, 0.644 A/W, would lead to the specific detectivity D* of 8.77 × 1010 cm·Hz1/2/W.
Figure 7.
The responsivity of GeSn MSM PD at different four sizes under 2000 nm illumination.
- B.
- MSM structure with DBR
In this section, we propose ways to increase the responsivity and optimize its structure to achieve the highest performance at the absorption wavelength of 2000 nm. Figure 8 shows the reflectance at 2000 nm for different SiO2/TiO2 pairs (N) calculated using the transfer matrix method (TMM). Due to the large difference in the refractive index between SiO2 and TiO2, high reflectivity is expected. As N increases, the reflectance increases significantly and approaches a theoretical value of 1 for N larger than 4 within the 1600–2600 nm spectral range. Therefore, as the figure manifests, the sample coated with four pairs of DBRs yields nearly 100% reflectivity. Figure 8(b) shows the measured reflectivity, and it is found that six pairs of DBRs would have the best reflectance performance closest to 100%.
Figure 8.
(a) Simulated and (b) measured reflectivity spectra of the SiO2/TiO2 DBR with the corresponding thicknesses of 340 nm/180 nm.
Figure 9 shows the relationship between the measured photocurrent and the voltage at an incident wavelength of 2000 nm for samples with four different sizes of interdigital electrode spacing and width coupled with the DBR structure. A similar trend among samples of different electrode dimensions has also been observed. Figure 10 shows the comparison of photocurrent and dark current between different sizes with DBR structures. The data indicate that at least an order of magnitude difference in the current contrasts has been achieved for all the samples under study.
Figure 9.
The photocurrent density of PDs with electrodes of different sizes (5 µm, 10 µm, 15 µm, and 20 µm) and with DBR structures coated.
Figure 10.
The photocurrent density of the DBR-coated MSM photodetector with four different sizes under the illumination of 2000 nm: (a) 5 µm, (b) 10 µm, (c) 15 µm, and (d) 20 µm.
As can be seen in Figure 11, the responsivity is estimated to be 0.716 A/W, 0.307 A/W, 53 mA/W, and 27.71 mA/W for the size of 5, 10, 15, and 20 µm, at a wavelength of 2000 nm at 1 V bias voltage, respectively. Accordingly, the photodetector with 5 μm electrode linewidth/spacing consistently outperforms the other devices with other dimensions. Overall, the photodetectors with the DBRs, regardless of their electrode sizes, have all brought forth an increase in photocurrent. Consequently, the highest responsivity of 0.716 A/W translates to the specific detectivity D* of 1.11 × 1011 cm·Hz1/2/W. Figure 12 specifically shows the comparison of the photocurrents before and after the inclusion of six pairs of DBR. Adding the DBR to the GeSn photodetector effectively increases the photocurrent, and the responsivity becomes significantly higher as a result.
Figure 11.
The responsivity of GeSn MSM PD with DBR structure and four different electrode sizes under 2000 nm illumination.
Figure 12.
Comparison of photocurrents before and after introducing DBR to the PDs of four different electrode sizes: (a) 5 µm, (b) 10 µm, (c) 15 µm, and (d) 20 µm.
- C.
- MSM structure with DBR and anti-reflection layer
One of the loss-related issues concerning the operation of GeSn in a MSM photodetector is the reflection of light from its surface. GeSn has a high index of refraction (n = 4.3), and therefore the Ge surface tends to reflect more than 30 to 40% of the incident light. As a result, the reduction of surface reflectance is essential for enhancing the performance of the GeSn-based infrared photodetectors. It is well known that an optimized anti-reflection (AR) coating is required to ascertain a substantial amount of incident light that could reach and penetrate GeSn film for absorption. Among the possible materials considered, SiO2 has been considered a superior AR candidate for the GeSn-based photodetector because of its good passivation, scratch resistance, and chemical stability. This is confirmed by the reflection spectra collected in the wavelength range of 1000~2300 nm for GeSn substrates with and without the incorporation of a SiO2 AR layer of 340 nm in thickness, as shown in Figure 13.
Figure 13.
The reflectance plots of the GeSn samples with and without the coverage of the SiO2 AR layers of 340 nm in thickness as a function of wavelength in the range of 1000~2300 nm.
To investigate the beneficial effect of the SiO2 AR layer on the optoelectronic performance of the GeSn MSM photodetectors, a series of photoelectric measurements are performed at room temperature. Figure 14 shows the relationship between the measured photocurrent and voltage at an incident wavelength of 2000 nm for detectors with four different sizes of interdigital electrode spacing and width and also with the AR layer and DBR structure properly coated. Figure 15 shows the comparison of photocurrent and dark current obtained from samples of different electrode sizes with both the AR layer and DBR structure incorporated. Accordingly, the photocurrent/dark current contrast ratios are found to be approximately two orders of magnitude for all samples under study. Furthermore, as can be seen in Figure 16, the responsivity is estimated to be 1.30 A/W, 0.851 A/W, 95.7 mA/W, and 27.63 mA/W for the samples with the electrode size of 5, 10, 15, and 20 µm at the light wavelength of 2000 nm and 1 V bias voltage, respectively. Furthermore, it can also be found that the highest responsivity of 1.30 A/W corresponds to the specific detectivity D* of 1.77 × 1011 cm·Hz1/2/W.
Figure 14.
The photocurrent current of the AR/DBR-coated PDs with electrodes of four different sizes: 5 µm, 10 µm, 15 µm, and 20 µm.
Figure 15.
The respective photocurrent and dark current are recorded from the MSM PDs with four different electrode sizes with and without the illumination of 2000 nm light. All samples are coated with DBR mirror stacks: (a) 5 μm, (b) 10 μm, (c) 15 μm, and (d) 20 μm.
Figure 16.
The responsivity of GeSn MSM PDs with combined AR layer and DBR structure, and with electrodes of four different sizes under 2000 nm illumination.
To determine whether adding the AR layer to the photodetector would lead to an increase in photocurrent, the experimental result compiled in Figure 17 shows the photocurrents obtained from devices with and without the inclusion of the AR layer. For MSM photodetector with the electrode size of 5 and 10 µm, adding the AR layer effectively increases the photocurrent, and this in turn renders the responsivity significantly higher. On the other hand, for electrode sizes of 15 and 20 µm, adding the AR layer may not be beneficial for enhancing the magnitude of the photocurrent. We believe that there are two reasons for this observation: first, the possibility of surface defects situated in GeSn would make the photo carriers generated during illumination at risk of getting intercepted by defects before they have the opportunity to reach the electrodes. Second, when the distance between the electrode spacing is large, though the illumination area potentially becomes larger, a longer transit time for these carriers relative to their corresponding lifetime is conceivably needed, which in turn raises the probability of capturing these carriers by defects embedded in the film.
Figure 17.
Comparison of photocurrents recorded before and after introducing the AR layers to the samples of different electrode sizes: (a) 5 μm, (b) 10 μm, (c) 15 μm, and (d) 20 μm.
Furthermore, there is certainly room for improving the performance of AR coating. Recall that our SiO2 is designed for antireflection at a 2000 nm wavelength. However, due to the stoichiometric inhomogeneity of the SiO2 layer deposited with electron-beam evaporation that leads to index variation, this AR layer may deviate away from its intended performance at a wavelength of 2000 nm. Moreover, for a broadband photodetector application, it would be preferable to extend the ultralow reflectance to a wider bandwidth; in this case, the number of quarter-wavelength layers needed may have to be two or more. Since GeSn is a high-index material with a refractive index of more than 4.0 and could potentially lead to more than 40% of the reflection loss, for a case that involves a double-layer AR coating deposited on the GeSn layer with a layer structure of GeSn(ns)/H(n2)/L(n1)/air(n0) and with each layer a quarter-wave thick—where ns > n2 > n1 > n0—the reflectance can be cut down to zero at a comparatively wider bandwidth by satisfying the relation: n1/n0 = n2/n1 = ns/n2. To extend this zero-reflectance bandwidth even further, a multilayer coating would be needed, such as a three-layer coating with each layer a quarter-wave thick, and the relation of n1/n0 = n2/n1 = n3/n2 = ns/n3 is required to be fulfilled. By taking the aforementioned improvement into account, we expect the responsivity and specific detectivity of the GeSn-based infrared photodetectors can be enhanced dramatically. Therefore, without the benefits of the elaborating or fancy GeSn layer structures, such as quantum wells embedded within a resonant cavity, a simple GeSn layer with decent material quality can still perform marvelously with the addition of a DBR mirror stack and the optimized antireflection layer.
The normalized spectral responsivity is displayed in Figure 18. The photodetector exhibits responsivity at NIR (1800 to 2100 nm) with a sharp downfall beyond 1950–2000 nm, which is correlated to the absorption edge and bandgap of GeSn. Since the cutoff wavelength of Ge falls between 1550 and 1800 nm, alloying 8% Sn with Ge extends the absorption of our Ge0.94Sn0.06 samples to the near NIR or close to 2000 nm wavelength, which has been empirically confirmed by the spectral responsivity measurement. To compare our results with other research teams’ published works based on the criteria of the metal-semiconductor-metal (MSM) and single GeSn absorption layer configurations, the 9% Sn-based MSM photodetectors fabricated by Son et al. earlier have managed to deliver the responsivities of 0.5 and 0.29 A/W at a wavelength of 1600 and 2033 nm at 2 V, respectively [25]. It appears that the highest responsivity (~1.3 A/W) achievable through our 8% Sn-based device with DBR and AR both included has an edge at a wavelength of 2000 nm and a bias voltage of 1 V. Furthermore, Ghosh et al. have realized a wide bandwidth infrared detector with 4% Sn composition to cover a wavelength range of 1200 to 2100 nm [26]. The responsivity of their detector (in the mA/W level) peaks at the wavelength of 1200 nm and gradually dials down, and eventually levels off within a wavelength range of 1800 to 2100 nm when administering a bias voltage of 3 to 7 V. At 1 V, which is the voltage we have consistently used to characterize our detector’s responsivity at 2000 nm wavelength, their resultant responsivity measured is barely noticeable, which is well explainable because of their low Sn composition (4%). Therefore, based on the aforementioned results we have achieved so far, the GeSn alloy certainly merits classification as a suitable material for applications in NIR or SWIR photodetection in its own right.
Figure 18.
The normalized spectral responsivity of the GeSn MSM photodetector with AR layer and DBR structure incorporated.
4. Conclusions
In summary, incorporating the DBR structure with the MSM photodetector enhances both the photocurrent and the responsivity. The addition of a 340 nm SiO2 AR layer is found to be effective in reducing the surface reflectance of GeSn, allowing more light to enter the absorber layer for the benefit of raising the photocurrent and responsivity. Taking the electrode size of 5 µm as an example, the responsivity of a purely MSM structure is 0.644 A/W, and the corresponding specific detectivity is 8.77 × 1010 cm·Hz1/2/W. With an additional DBR structure included, the responsivity increases to 0.716 A/W while its specific detectivity elevates to 1.11 × 1011 cm·Hz1/2/W. Then, after introducing an extra AR layer, the responsivity reaches up to 1.30 A/W, which leads to the specific detectivity of 1.77 × 1011 cm·Hz1/2/W. The results show that combining the DBR and AR layer with an MSM could effectively improve the performance of the SWIR photodetector.
Finally, the normalized responsivity measurements show that the cutoff wavelength can be extended to near 2000 nm, which exceeds the highest absorption wavelength limit of Ge, thereby extending the traditional communication band to the short-wavelength infrared (SWIR) regime and ultimately rendering GeSn as one of the leading materials for fabricating SWIR photodetectors.
Author Contributions
Conceptualization, R.W.C.; methodology, R.W.C. and Y.-H.H.; software, Y.-H.H. and T.-H.T.; validation, R.W.C., Y.-H.H. and T.-H.T.; formal analysis, R.W.C. and Y.-H.H.; investigation, R.W.C., Y.-H.H. and T.-H.T.; resources, R.W.C.; data curation, R.W.C., Y.-H.H. and T.-H.T.; writing—original draft preparation, R.W.C. and Y.-H.H.; writing—review and editing, R.W.C.; visualization, R.W.C. and Y.-H.H.; supervision, R.W.C.; project administration, R.W.C.; funding acquisition, R.W.C. All authors have read and agreed to the published version of the manuscript.
Funding
This research was funded by the Ministry of Science and Technology, R.O.C. (Taiwan), two grants with the numbers: MOST 107-2221-E-006-184-MY3 and MOST 110-2221-E-006-205.
Data Availability Statement
Data is contained within the article.
Acknowledgments
We would like to acknowledge and offer our sincere gratitude for the GeSn samples and technical support provided by the Taiwan Semiconductor Research Institute (TSRI). The TSRI is a premium research center located in Hsin-Chu, Taiwan, with strong research emphases in semiconductor nanoelectronics, ultra-large-scale integrated circuits, high-frequency microwave/RF devices, and biomedical applications.
Conflicts of Interest
The authors declare no conflict of interest.
References
- Iqbal, M.A.; Liaqat, A.; Hussain, S.; Wang, X.; Tahir, M.; Urooj, Z.; Xie, L. Ultralow-Transition-Energy Organic Complex on Graphene for High-Performance Shortwave Infrared Photodetection. Adv. Mater. 2020, 32, 2002628. [Google Scholar] [CrossRef] [PubMed]
- Tan, C.L.; Mohseni, H. Emerging technologies for high performance infrared detectors. Nanophotonics 2018, 7, 169–197. [Google Scholar] [CrossRef]
- Imran, A.; Sulaman, M.; Yang, S.; Bukhtiar, A.; Qasim, M.; Elshahat, S.; Khan, M.S.A.; Dastgeer, G.; Zou, B.; Yousaf, M. Molecular beam epitaxy growth of high mobility InN film for high-performance broadband heterointerface photodetectors. Surf. Interfaces 2022, 29, 101772. [Google Scholar] [CrossRef]
- Sulaman, M.; Song, Y.; Yang, S.; Saleem, M.I.; Li, M.; Veeramalai, C.P.; Zhi, R.; Jiang, Y.; Cui, Y.; Hao, Q.; et al. Interlayer of PMMA Doped with Au Nanoparticles for High-Performance Tandem Photodetectors: A Solution to Suppress Dark Current and Maintain High Photocurrent. ACS Appl. Mater. Interfaces 2020, 12, 26153–26160. [Google Scholar] [CrossRef] [PubMed]
- Sulaman, M.; Yang, S.; Bukhtiar, A.; Tang, P.; Zhang, Z.; Song, Y.; Imran, A.; Jiang, Y.; Cui, Y.; Tang, L.; et al. Hybrid Bulk-Heterojunction of Colloidal Quantum Dots and Mixed-Halide Perovskite Nanocrystals for High-Performance Self-Powered Broadband Photodetectors. Adv. Funct. Mater. 2022, 32, 2201527. [Google Scholar] [CrossRef]
- Afzal, A.M.; Dastgeer, G.; Iqbal, M.Z.; Gautam, P.; Faisal, M.M. High-Performance p-BP/n-PdSe2 Near-Infrared Photodiodes with a Fast and Gate-Tunable Photoresponse. ACS Appl. Mater. Interfaces 2020, 12, 19625–19634. [Google Scholar] [CrossRef]
- Soref, R.A. Silicon-based optoelectronics. Proc. IEEE 1993, 81, 1687–1706. [Google Scholar] [CrossRef]
- Okyay, A.K.; Kuzum, D.; Latif, S.; Miller, D.A.B.; Saraswat, K.C. Silicon Germanium CMOS Optoelectronic Switching Device: Bringing Light to Latch. IEEE Trans. Electron Devices 2007, 54, 3252–3259. [Google Scholar] [CrossRef]
- Benedikovic, D.; Virot, L.; Aubin, G.; Hartmann, J.-M.; Amar, F.; Le Roux, X.; Alonso-Ramos, C.; Marris-Morini, D.; Cassan, E.; Boeuf, F.; et al. Silicon-Germanium Heterojunction Photodetectors for On-Chip Optoelectronics and Communications. In Proceedings of the IEEE 17th International Conference on Group IV Photonics (GFP), Malaga, Spain, 7–10 December 2021. [Google Scholar]
- Colace, L.; Assanto, G. Germanium on Silicon for Near-Infrared Light Sensing. IEEE Photonics J. 2009, 1, 69–79. [Google Scholar] [CrossRef]
- Zheng, J.; Liu, Z.; Xue, C.; Li, C.; Zuo, Y.; Cheng, B.; Wang, Q. Recent progress in GeSn growth and GeSn-based photonic devices. J. Semicond. 2018, 39, 061006. [Google Scholar] [CrossRef]
- Jones, A.H.; March, S.D.; Bank, S.R.; Campbell, J.C. Low-noise high-temperature AlLnAsAb/GaSb avalanche photodiodes for 2-µm applications. Nat. Photon. 2020, 14, 559–563. [Google Scholar] [CrossRef]
- Werner, J.; Oehme, M.; Schmid, M.; Kaschel, M.; Schirmer, A.; Kasper, E.; Schulz, J. Germanium-tin p-i-n photodetectors integrated on silicon grown by molecular beam epitaxy. Appl. Phys. Lett. 2011, 98, 061108. [Google Scholar] [CrossRef]
- Geiger, R.; Zabel, T.; Sigg, H. Group IV direct band gap photonics: Methods, challenges, and opportunities. Front. Mater. 2015, 2, 52. [Google Scholar] [CrossRef]
- Xu, S.; Wang, W.; Huaang, Y.-C.; Dong, Y.; Masudy-Panah, S.; Wang, H.; Gong, X.; Yeo, Y.-C. High-speed photo detection at two-micron wavelength: Technology enablement by GeSn/Ge multiple-quantum-well photodiode on 300 mm Si substrate. Opt. Express 2019, 27, 5798–5813. [Google Scholar] [CrossRef] [PubMed]
- Chang, C.; Cheng, H.-H.; Sevison, G.A.; Hendrickson, J.R.; Li, Z.; Agha, I.; Mathews, J.; Soref, R.A.; Sun, G. Power-Dependent Investigation of Photo-Response from GeSn-Based p-i-n Photodetector Operating at High Power Density. Materials 2022, 15, 989. [Google Scholar] [CrossRef] [PubMed]
- Son, B.; Lin, Y.; Lee, K.H.; Margetis, J.; Kohen, D.; Tolle, J.; Tan, C.S. Metal-Se11miconductor-Metal Photodetectors on a GeSn-on-Insulator Platform for 2 µm Applications. IEEE Photonics J. 2022, 14, 6824406. [Google Scholar] [CrossRef]
- Su, S.; Cheng, B.; Xue, C.; Wang, W.; Cao, Q.; Xue, H.; Hu, W.; Zhang, G.; Zuo, Y.; Wang, Q. GeSn p-i-n photodetector for all telecommunication bands detection. Opt. Express 2011, 19, 6400–6405. [Google Scholar] [CrossRef]
- D’Costa, V.R.; Cook, C.S.; Birdwell, A.G.; Littler, C.L.; Canonico, M.; Zollner, S.; Kouvetakis, J.; Menéndez, J. Optical critical points of thin-film Ge1−ySny alloys: A comparative Ge1−ySny/Ge1−xSix study. Phys. Rev. B 2006, 73, 125207. [Google Scholar] [CrossRef]
- Zhou, H.; Xu, S.; Lin, Y.; Huang, Y.-C.; Son, B.; Chen, Q.; Guo, X.; Lee, K.H.; Goh, S.C.-K.; Gong, X.; et al. High-efficiency GeSn/Ge multiple-quantum-well photodetectors with photon-trapping microstructures operating at 2 µm. Opt. Express 2020, 28, 10280–10293. [Google Scholar] [CrossRef]
- Ghosh, S.; Kumar, H.; Mukhopadhyay, B.; Chang, G.-E. Design and Modeling of High-Performance DBR-Based Resonant-Cavity-Enhanced GeSn Photodetector for Fiber-Optic Telecommunication Networks. IEEE Sens. J. 2021, 21, 9900–9908. [Google Scholar] [CrossRef]
- Tsai, C.-H.; Huang, B.-J.; Soref, R.A.; Sun, G.; Cheng, H.H.; Chang, G.-E. GeSn resonant-cavity-enhanced photodetectors for efficient photodetection at the 2 µm wavelength band. Opt. Lett. 2020, 45, 1463–1466. [Google Scholar] [CrossRef] [PubMed]
- Li, X.Y.; Wang, J.Y.; Liu, Y.F.; Chen, J.J.; Du, Y.; Wang, W.; Cai, Y.; Ma, J.P.; Yu, M.B. Design of Ge1-xSnx-on-Si waveguide photodetectors featuring high-speed high-sensitivity photodetection in the C- to U-bands. Appl. Opt. 2020, 59, 7646–7651. [Google Scholar] [CrossRef] [PubMed]
- Ferré, S.; Peinado, A.; Garcia-Caurel, E.; Trinité, V.; Carras, M.; Ferreira, R. Comparative study of SiO2, Si3N4 and TiO2 thin films as passivation layers for quantum cascade lasers. Opt. Express 2016, 24, 24032–24044. [Google Scholar] [CrossRef] [PubMed]
- Son, B.K.; Lin, Y.; Li, W.; Lee, K.H.; Margetis, J.; Kohen, D.; Tolle, J.; Zhang, L.; Xin, T.G.; Wang, H.; et al. Metal-semiconductor-metal photodetectors on a GeSn-on-insulator platform. Proc. SPIE 2019, 10914, 109141A. [Google Scholar]
- Ghosh, S.; Lin, K.-C.; Tsai, C.-H.; Kumar, H.; Chen, Q.; Zhang, L.; Son, B.; Tan, C.S.; Kim, M.; Mukhopadhyay, B.; et al. Metal-Semiconductor-Metal GeSn Photodetectors on Silicon for Short-Wave Infrared Applications. Micromachines 2020, 11, 795. [Google Scholar] [CrossRef]
Publisher’s Note: MDPI stays neutral with regard to jurisdictional claims in published maps and institutional affiliations. |
© 2022 by the authors. Licensee MDPI, Basel, Switzerland. This article is an open access article distributed under the terms and conditions of the Creative Commons Attribution (CC BY) license (https://creativecommons.org/licenses/by/4.0/).

















