An Improved P-Type Doped Barrier Surface AlGaN/GaN High Electron Mobility Transistor with High Power-Added Efficiency
Abstract
:1. Introduction
2. Device Structure and Simulation Method
3. Results and Discussion
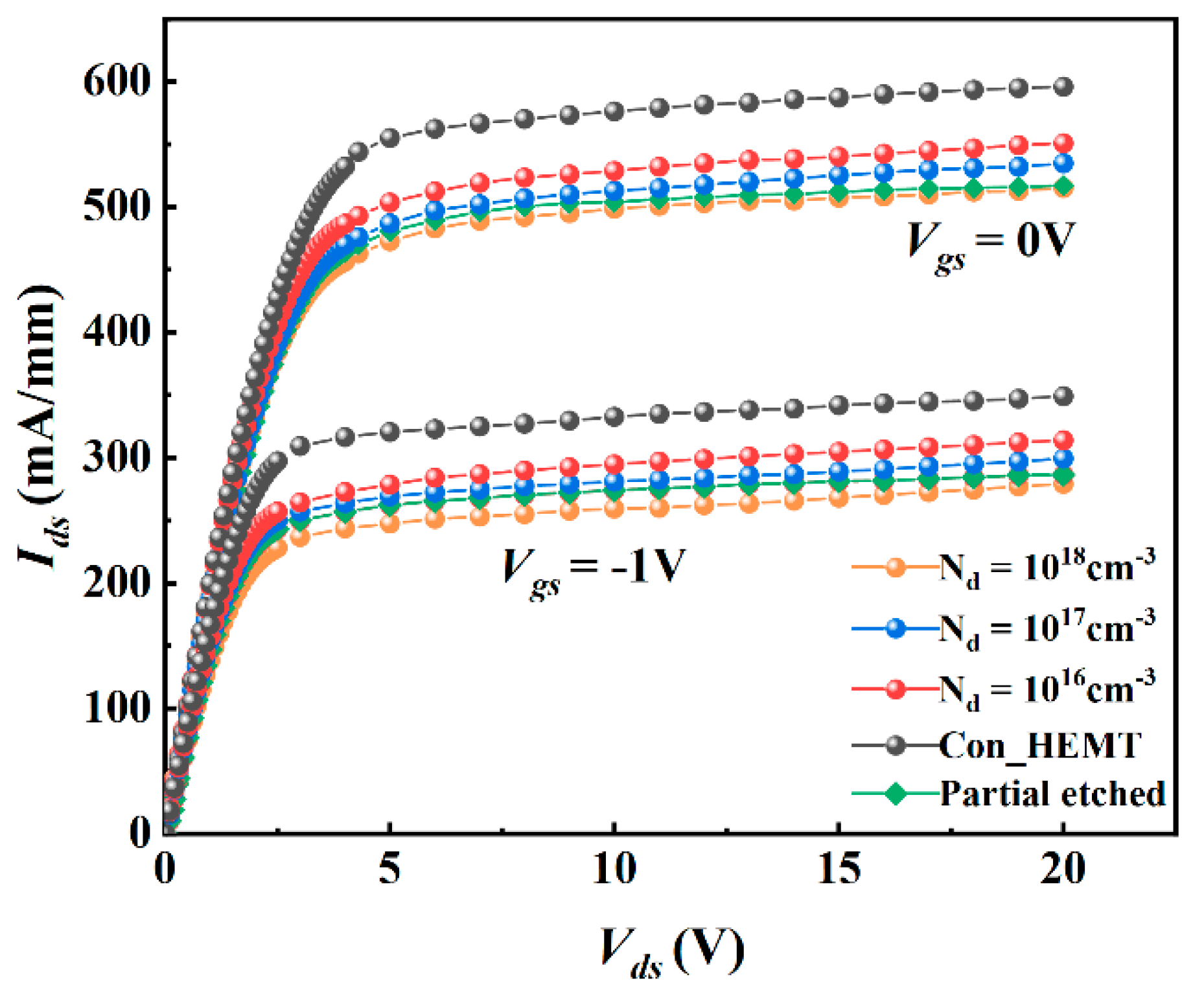
3.1. DC Characteristics
3.2. AC Characteristics
3.3. Energy and Efficiency
4. Conclusions
Author Contributions
Funding
Institutional Review Board Statement
Informed Consent Statement
Data Availability Statement
Conflicts of Interest
References
- Pengelly, R.S.; Wood, S.M.; Milligan, J.W.; Sheppard, S.T.; Pribble, W.L. A Review of GaN on SiC High Electron-Mobility Power Transistors and MMICs. IEEE Trans. Microw. Theory Tech. 2012, 60, 1764–1783. [Google Scholar] [CrossRef]
- Ibbetson, J.P.; Fini, P.T.; Ness, K.D.; DenBaars, S.P.; Speck, J.S.; Mishra, U.K. Polarization effects, surface states, and the source of electrons in AlGaN/GaN heterostructure field effect transistors. Appl. Phys. Lett. 2000, 77, 250–252. [Google Scholar] [CrossRef]
- Saito, W.; Takada, Y.; Kuraguchi, M.; Tsuda, K.; Omura, I.; Ogura, T.; Ohashi, H. High breakdown voltage AlGaN-GaN Power-HEMT design and high current density switching behavior. IEEE Trans. Electron. Devices 2003, 50, 2528–2531. [Google Scholar] [CrossRef]
- Yuan, S.; Duan, B.X.; Yuan, X.N.; Cao, Z.; Guo, H.J.; Yang, Y.T. New Al0.25Ga0.75N/GaN high electron mobility transistor with partial etched AlGaN layer. Superlattices Microstruct. 2016, 93, 303–307. [Google Scholar] [CrossRef]
- Razavi, S.M.; Zahiri, S.H.; Hosseini, S.E. A novel AlGaN/GaN HEMT with a p-layer in the barrier. Phys. E-Low-Dimens. Syst. Nanostructures 2013, 54, 24–29. [Google Scholar] [CrossRef]
- Guo, H.J.; Duan, B.X.; Xie, S.L.; Yuan, S.; Yang, Y.T. Enhancement-mode AlGaN/GaN HEMTs with optimised electric field using a partial GaN cap layer. Micro Nano Lett. 2017, 12, 763–766. [Google Scholar] [CrossRef]
- Jia, H.J.; Luo, Y.H.; Wu, Q.Y.; Yang, Y.T. A novel GaN HEMT with double recessed barrier layer for high efficiency-energy applications. Superlattices Microstruct. 2017, 111, 841–851. [Google Scholar] [CrossRef]
- Wang, L.; Tan, C.; Luo, H.; Wang, S.; Ye, H.; Chen, X. Paper Title The Breakdown Voltage of AlGaN/GaN HEMT is Restricted to The Structure Parameters of The Device: A Study Based on TCAD. In Proceedings of the 2018 19th International Conference on Electronic Packaging Technology (ICEPT), Shanghai, China, 8–11 August 2018; pp. 961–964. [Google Scholar]
- Jia, H.J.; Li, T.; Tong, Y.B.; Zhu, S.W.; Liang, Y.; Wang, X.Y.; Zeng, T.H.; Yang, Y.T. A novel 4H-SiC MESFET with symmetrical lightly doped drain for high voltage and high power applications. Mater. Sci. Semicond. Process. 2020, 105, 104707. [Google Scholar] [CrossRef]
- Zhu, S.; Jia, H.; Wang, X.; Liang, Y.; Tong, Y.; Li, T.; Yintang, Y. Improved MRD 4H-SiC MESFET with High Power Added Efficiency. Micromachines 2019, 10, 479. [Google Scholar] [CrossRef] [PubMed] [Green Version]
- Okita, H.; Kaifu, K.; Mita, J.; Yamada, T.; Sano, Y.; Ishikawa, H.; Egawa, T.; Jimbo, T. High transconductance AlGaN/GaN-HEMT with recessed gate on sapphire substrate. Phys. Status Solidi A-Appl. Res. 2003, 200, 187–190. [Google Scholar] [CrossRef]
- Zhu, S.W.; Jia, H.J.; Li, T.; Tong, Y.B.; Liang, Y.; Wang, X.Y.; Zeng, T.H.; Yang, Y.T. Novel High-Energy-Efficiency AlGaN/GaN HEMT with High Gate and Multi-Recessed Buffer. Micromachines 2019, 10, 444. [Google Scholar] [CrossRef] [PubMed] [Green Version]
- Huang, F.Y.; Tang, X.S.; Wei, Z.N.; Zhang, L.H.; Jiang, N. An Improved Small-Signal Equivalent Circuit for GaN High-Electron Mobility Transistors. IEEE Electron. Device Lett. 2016, 37, 1399–1402. [Google Scholar] [CrossRef]
- ADS Documentation in Agilent Technologies. 2010. Available online: https://literature.cdn.keysight.com/litweb/pdf/ads2002/doc.html (accessed on 28 August 2021).













| Parameters | PDBS-HEMT | Con-HEMT |
|---|---|---|
| Idsat (mA/mm) | 534 | 596 |
| Vt (V) | −3.4 | −3.5 |
| Gmmax (mS/mm) | 230 | 265 |
| Vb (V) | 265 | 195 |
| Cgs (pF/mm) | 2.5 | 2.93 |
| Cgd (fF/mm) | 53.9 | 63 |
| Parameters | PDBS-HEMT | Con-HEMT | ||||
|---|---|---|---|---|---|---|
| Frequency | ||||||
| 600 MHz | 1200 MHz | 2400 MHz | 600 MHz | 1200 MHz | 2400 MHz | |
| Power density | 10.9 W/mm | 9.3 W/mm | 6.4 W/mm | 10.4 W/mm | 9.3 W/mm | 5.1 W/mm |
| Gain | 11.4 dB | 10.7 dB | 9.1 dB | 11.2 dB | 10.0 dB | 8.1 dB |
| PAE (max) | 85.5% | 88.4% | 79% | 82.5% | 83.0% | 73.5% |
Publisher’s Note: MDPI stays neutral with regard to jurisdictional claims in published maps and institutional affiliations. |
© 2021 by the authors. Licensee MDPI, Basel, Switzerland. This article is an open access article distributed under the terms and conditions of the Creative Commons Attribution (CC BY) license (https://creativecommons.org/licenses/by/4.0/).
Share and Cite
Jia, H.; Wang, X.; Dong, M.; Zhu, S.; Yang, Y. An Improved P-Type Doped Barrier Surface AlGaN/GaN High Electron Mobility Transistor with High Power-Added Efficiency. Micromachines 2021, 12, 1035. https://doi.org/10.3390/mi12091035
Jia H, Wang X, Dong M, Zhu S, Yang Y. An Improved P-Type Doped Barrier Surface AlGaN/GaN High Electron Mobility Transistor with High Power-Added Efficiency. Micromachines. 2021; 12(9):1035. https://doi.org/10.3390/mi12091035
Chicago/Turabian StyleJia, Hujun, Xiaowei Wang, Mengyu Dong, Shunwei Zhu, and Yintang Yang. 2021. "An Improved P-Type Doped Barrier Surface AlGaN/GaN High Electron Mobility Transistor with High Power-Added Efficiency" Micromachines 12, no. 9: 1035. https://doi.org/10.3390/mi12091035
APA StyleJia, H., Wang, X., Dong, M., Zhu, S., & Yang, Y. (2021). An Improved P-Type Doped Barrier Surface AlGaN/GaN High Electron Mobility Transistor with High Power-Added Efficiency. Micromachines, 12(9), 1035. https://doi.org/10.3390/mi12091035

