Response Enhancement of Pt–AlGaN/GaN HEMT Gas Sensors by Thin AlGaN Barrier with the Source-Connected Gate Configuration at High Temperature
Abstract
1. Introduction
2. Experimental
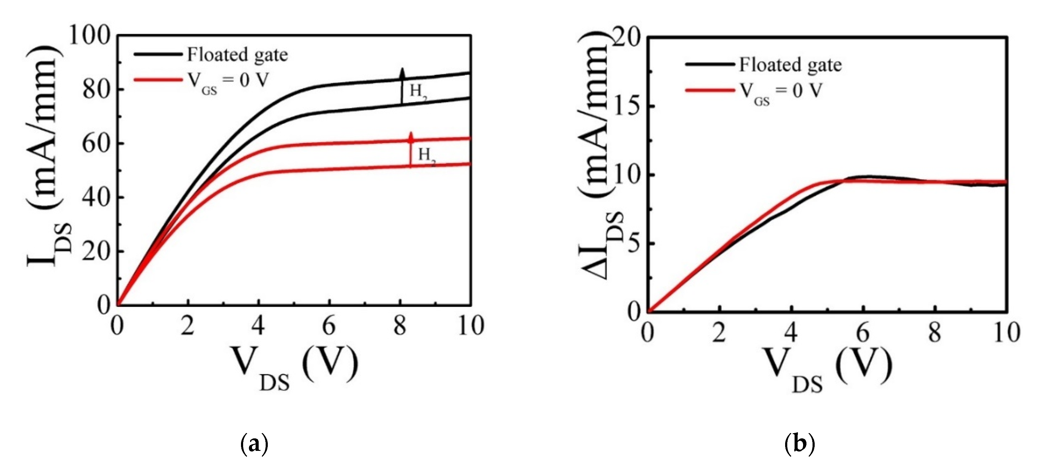
3. Results and Discussion
4. Conclusions
Author Contributions
Funding
Conflicts of Interest
References
- Petkov, T.; Veziroǧlu, T.N.; Sheffield, J.W. An outlook of hydrogen as an automotive fuel. Int. J. Hydrogen Energy 1989, 14, 449–474. [Google Scholar] [CrossRef]
- Agnolucci, P. Economics and Market Prospects of Portable Fuel Cells. Int. J. Hydrogen Energy 2007, 32, 4319–4328. [Google Scholar] [CrossRef]
- Mazloomi, K.; Gomes, C. Hydrogen as an energy carrier: Prospects and challenges. Renew. Sust. Energ. Rev. 2012, 16, 3024–3033. [Google Scholar] [CrossRef]
- Schalwig, J.; Müller, G.; Ambacher, O.; Stutzmann, M. Group-III-Nitride Based Gas Sensing Devices. Phys. Status Solidi A 2001, 185, 39–45. [Google Scholar] [CrossRef]
- Schalwig, J.; Müller, G.; Eickhoff, M.; Ambacher, O.; Stutzmann, M. Gas sensitive GaN/AlGaN-heterostructures. Sens. Actuators B Chem. 2002, 87, 425–430. [Google Scholar] [CrossRef]
- Song, J.; Lu, W.; Flynn, J.S.; Brandes, G.R. Pt−AlGaN/GaN Schottky diodes operated at 800 °C for hydrogen sensing. Appl. Phys. Lett. 2005, 87, 133501-1–133501-3. [Google Scholar] [CrossRef]
- Kang, B.S.; Kim, S.; Ren, F.; Gila, B.P.; Abernathy, C.R.; Pearton, S.J. AlGaN/GaN-based diodes and gateless HEMTs for gas and chemical sensing. IEEE Sens. J. 2005, 5, 677–680. [Google Scholar] [CrossRef]
- Schalwig, J.; Müller, G.; Karrer, U.; Eickhoff, M.; Ambacher, O.; Stutzmann, M.; Görgens, L.; Dollinger, G. Hydrogen response mechanism of Pt–GaN Schottky diodes. Appl. Phys. Lett. 2002, 80, 1222–1224. [Google Scholar] [CrossRef]
- Matsuo, K.; Negoro, N.; Kotani, J.; Hashizume, T.; Hasegawa, H. Pt Schottky Diode Gas Sensors Formed on GaN and AlGaN/GaN Heterostructure. Appl. Surf. Sci. 2005, 224, 273–276. [Google Scholar] [CrossRef]
- Ekedah, L.G.; Eriksson, M.; Lundström, I. Hydrogen Sensing Mechanisms of Metal−Insulator Interfaces. Acc. Chem. Res. 1998, 31, 249–256. [Google Scholar] [CrossRef]
- Consejo, C.; Prystawko, P.; Knap, W.; Nowakowska-Siwinska, A.; Perlin, P.; Leszczynski, M. Mechanism of Hydrogen Sensing by AlGaN/GaN Pt-Gate Field Effect Transistors: Magnetoresistance Studies. IEEE Sens. J. 2015, 15, 123–127. [Google Scholar] [CrossRef]
- Kim, J.H.; Ren, F.; Gila, B.P.; Abernathy, C.R.; Pearton, S.J. Reversible barrier height changes in hydrogen-sensitive Pd/GaN and Pt/GaN diodes. Appl. Phys. Lett. 2003, 82, 739–741. [Google Scholar] [CrossRef]
- Kim, H.W.; Jang, S.W. AlGaN/GaN HEMT based hydrogen sensor with platinum nanonetwork gate electrode. Curr. Appl. Phys. 2013, 13, 1746–1750. [Google Scholar] [CrossRef]
- Wang, X.H.; Wang, X.L.; Feng, C.; Yang, C.B.; Wang, B.Z.; Ran, J.X.; Xiao, H.L.; Wang, C.M.; Wang, J.X. Hydrogen sensors based on AlGaN/AlN/GaN HEMT. Microelectron. J. 2008, 39, 20–23. [Google Scholar] [CrossRef]
- Liu, I.P.; Chang, C.H.; Ke, B.Y.; Lin, K.W. Study of a GaN Schottky diode based hydrogen sensor with a hydrogen peroxide oxidation approach and platinum catalytic metal. Int. J. Hydrogen Energy 2019, 44, 32351–32361. [Google Scholar] [CrossRef]
- Baik, K.H.; Kim, J.; Jang, S. Highly sensitive nonpolar a-plane GaN based hydrogen diode sensor with textured active area using photo-chemical etching. Sens. Actuators B Chem. 2017, 238, 462–467. [Google Scholar] [CrossRef]
- Chen, G.; Choi, A.H.W.; Lai, P.T.; Tang, W.M. Schottky-diode hydrogen sensor based on InGaN/GaN multiple quantum well. J. Vac. Sci. Technol. B 2014, 32, 011212. [Google Scholar] [CrossRef]
- Anderson, T.J.; Wang, H.T.; Kang, B.S.; Ren, F.; Pearton, S.J.; Osinsky, A.; Dabiran, A.; Chow, P.P. Effect of bias voltage polarity on hydrogen sensing with AlGaN/GaN Schottky diodes. Appl. Surf. Sci. 2008, 255, 2524–2526. [Google Scholar] [CrossRef]
- Jang, S.; Son, P.; Kim, J.; Lee, S.N.; Baik, K.H. Hydrogen sensitive Schottky diode using semipolar (1122) AlGaN/GaN heterostructures. Sens. Actuators B Chem. 2016, 222, 43–47. [Google Scholar] [CrossRef]
- Song, J.H.; Lu, W. Operation of Pt/AlGaN/GaN-Heterojunction Field-Effect-Transistor Hydrogen Sensors with Low Detection Limit and High Response. IEEE Electron Device Lett. 2008, 29, 1193–1195. [Google Scholar] [CrossRef]
- Choi, J.H.; Jo, M.G.; Han, S.W.; Kim, H.; Kim, S.H.; Jang, S.; Kim, J.S.; Cha, H.Y. Hydrogen gas sensor of Pd-functionalised AlGaN/GaN heterostructure with high response and low-power consumption. Electron. Lett. 2017, 53, 1200–1202. [Google Scholar] [CrossRef]
- Chung, G.H.; Cha, H.Y.; Kim, H. Enhanced hydrogen response of AlGaN/GaN heterojunction gas sensors by GaN-cap layer. Electron. Lett. 2018, 54, 896–897. [Google Scholar] [CrossRef]
- Choi, J.H.; Kim, H.; Sung, H.K.; Cha, H.Y. Investigation of Stability and Power Consumption of an AlGaN/GaN Heterostructure Hydrogen Gas Sensor Using Different Bias Conditions. Sensors 2019, 19, 5549. [Google Scholar] [CrossRef] [PubMed]







| AlGaN Thickness | No Recess | 23 nm | 15 nm |
|---|---|---|---|
| Response (%) | 19 | 25 | 42 |
| gm (mS/mm) | 10 | 13.3 | 22.5 |
| Sensor Platform | Temp. | Hydrogen Concentration | Response Time | Recovery Time | Sensor Response | Ref. |
|---|---|---|---|---|---|---|
| Diode (GaN) | Room temp. | 1% | 15 s | 19 s | 1 × 105% | [15] |
| Diode (GaN) | 200 °C | 4% | - | - | 7 × 108% | [16] |
| Diode (GaN) | 300 °C | 0.081% | 25.1 s | 34.1 s | 0.11% | [17] |
| Diode (AlGaN/GaN) | Room temp. | 0.05% | - | - | 2.4% | [18] |
| Diode (AlGaN/GaN) | Room temp. | 4% | - | - | 3700% | [19] |
| MOS Diode (AlGaN/GaN) | Room temp. | 10% | ~30 s | - | - | [7] |
| HEMT (Pd–AlGaN/GaN) | 200 °C | 4% | 3 s | - | 72% | [21] |
| HEMT (Pd–AlGaN/GaN) | 200 °C | 4% | <0.4 s | 12.4 s | 80% | [23] |
| HEMT (Pt–AlGaN/GaN) | 200 °C 500 °C | 4% | 3 s <1 s | 20 s 4 s | 85% 22% | This work |
Publisher’s Note: MDPI stays neutral with regard to jurisdictional claims in published maps and institutional affiliations. |
© 2021 by the authors. Licensee MDPI, Basel, Switzerland. This article is an open access article distributed under the terms and conditions of the Creative Commons Attribution (CC BY) license (https://creativecommons.org/licenses/by/4.0/).
Share and Cite
Vuong, T.-A.; Cha, H.-Y.; Kim, H. Response Enhancement of Pt–AlGaN/GaN HEMT Gas Sensors by Thin AlGaN Barrier with the Source-Connected Gate Configuration at High Temperature. Micromachines 2021, 12, 537. https://doi.org/10.3390/mi12050537
Vuong T-A, Cha H-Y, Kim H. Response Enhancement of Pt–AlGaN/GaN HEMT Gas Sensors by Thin AlGaN Barrier with the Source-Connected Gate Configuration at High Temperature. Micromachines. 2021; 12(5):537. https://doi.org/10.3390/mi12050537
Chicago/Turabian StyleVuong, Tuan-Anh, Ho-Young Cha, and Hyungtak Kim. 2021. "Response Enhancement of Pt–AlGaN/GaN HEMT Gas Sensors by Thin AlGaN Barrier with the Source-Connected Gate Configuration at High Temperature" Micromachines 12, no. 5: 537. https://doi.org/10.3390/mi12050537
APA StyleVuong, T.-A., Cha, H.-Y., & Kim, H. (2021). Response Enhancement of Pt–AlGaN/GaN HEMT Gas Sensors by Thin AlGaN Barrier with the Source-Connected Gate Configuration at High Temperature. Micromachines, 12(5), 537. https://doi.org/10.3390/mi12050537

