A Separated Reset Waveform Design for Suppressing Oil Backflow in Active Matrix Electrowetting Displays
Abstract
1. Introduction
2. Principles of EWDs
3. The Mechanism of Active Matrix EWDs
4. Design of Reset Waveform Using Overdriving Voltage
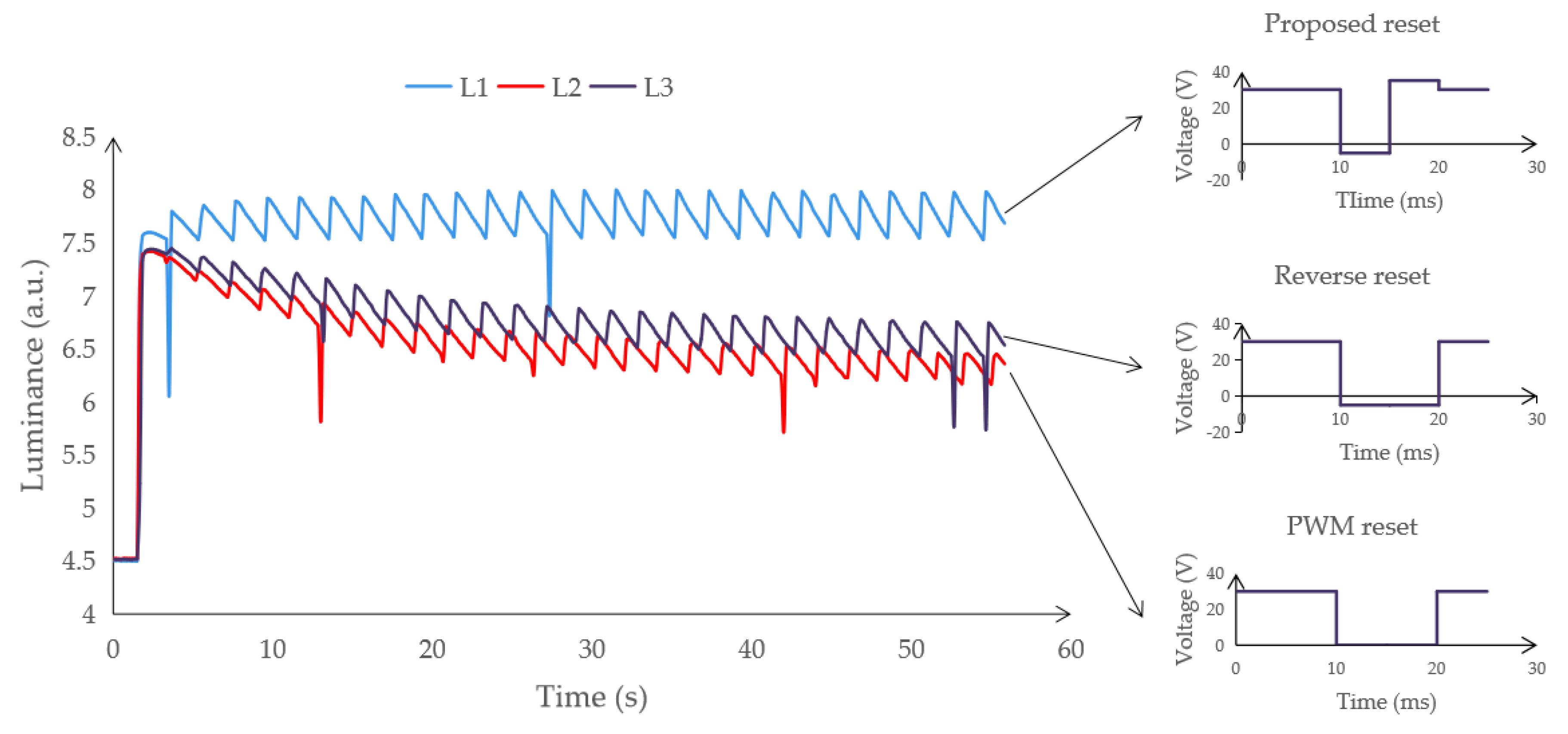
5. Results and Discussion
6. Conclusions
Author Contributions
Funding
Data Availability Statement
Acknowledgments
Conflicts of Interest
References
- Bai, P.F.; Hayes, R.A.; Jin, M.; Shui, L.; Yi, Z.C.; Wang, L.; Zhang, X.; Zhou, G. Review of paper-like display technologies (invited review). Prog. Electromagn. Res. 2014, 147, 95–116. [Google Scholar] [CrossRef]
- Chung, K.-C.; Lee, J.-J.; Huang, J.-R.; Lai, Y.-J.; Chen, K.-H.; Lin, Y.-H.; Lin, S.-R.; Tsai, T.-Y. A Dynamic compensated and 95% high-efficiency supply buffer in RGB virtual pixel MicroLED display for reducing ghosting by 73% and achieving four times screen resolution. IEEE Trans. Power Electron. 2021, 36, 8291–8299. [Google Scholar] [CrossRef]
- Tareq, M.O.; Song, K.; Cho, Y.; Bhowmik, A.; Lee, S.-W. New method for extracting the capacitance-voltage characteristics of an active-matrix liquid crystal display and its application to overdrive technology. Opt. Eng. 2009, 48, 074001. [Google Scholar] [CrossRef]
- Webber, R.M. 10.4: Image stability in active-matrix microencapsulated electrophoretic displays. SID Symp. Dig. Tech. Pap. 2002, 33, 126–129. [Google Scholar] [CrossRef]
- Heikenfeld, J.; Steckl, A.J. 56.3: Electrowetting light valves with greater than 80% transmission, unlimited view angle, and video response. SID Symp. Dig. Tech. Pap. 2005, 36, 1674–1677. [Google Scholar] [CrossRef]
- Blankenbach, K.; Schmoll, A.; Bitman, A.; Bartels, F.; Jerosch, D. Novel highly reflective and bistable electrowetting displays. J. Soc. Inf. Disp. 2008, 16, 237–241. [Google Scholar] [CrossRef]
- Chen, Y.; Au, J.; Kazlas, P.T.; Ritenour, A.P.; Gates, H.; McCreary, M.D. Flexible active-matrix electronic ink display. Nat. Cell Biol. 2003, 423, 136. [Google Scholar] [CrossRef]
- Comiskey, B.; Albert, J.D.; Yoshizawa, H.; Jacobson, J.M. An electrophoretic ink for all-printed reflective electronic displays. Nat. Cell Biol. 1998, 394, 253–255. [Google Scholar] [CrossRef]
- Meng, X.; Wen, T.; Qiang, L.; Ren, J.; Tang, F. Luminescent electrophoretic particles via miniemulsion polymerization for night-vision electrophoretic displays. ACS Appl. Mater. Interfaces 2013, 5, 3638–3642. [Google Scholar] [CrossRef]
- Yi, Z.; Zeng, W.; Ma, S.; Feng, H.; Zeng, W.; Shen, S.; Shui, L.; Zhou, G.; Zhang, C. Design of driving waveform based on a damping oscillation for optimizing red saturation in three-color electrophoretic displays. Micromachines 2021, 12, 162. [Google Scholar] [CrossRef] [PubMed]
- Henzen, A.; Van De Kamer, J.; Nakamura, T.; Tsuji, T.; Yasui, M.; Pitt, M.; Duthaler, G.; Amundson, K.; Gates, H.; Zehner, R. Development of active-matrix electronic-ink displays for handheld devices. J. Soc. Inf. Disp. 2004, 12, 455–461. [Google Scholar] [CrossRef]
- Wang, L.; Yi, Z.; Jin, M.; Shui, L.; Zhou, G. Improvement of video playback performance of electrophoretic displays by optimized waveforms with shortened refresh time. Displays 2017, 49, 95–100. [Google Scholar] [CrossRef]
- He, W.; Yi, Z.; Shen, S.; Huang, Z.; Liu, L.; Zhang, T.; Li, W.; Wang, L.; Shui, L.; Zhang, C.; et al. Driving waveform design of electrophoretic display based on optimized particle activation for a rapid response speed. Micromachines 2020, 11, 498. [Google Scholar] [CrossRef]
- Heikenfeld, J.; Smith, N.; Dhindsa, M.; Zhou, K.; Kilaru, M.; Hou, L.; Zhang, J.; Kreit, E.; Raj, B. Recent progress in arrayed electrowetting optics. Opt. Photon. News 2009, 20, 20–26. [Google Scholar] [CrossRef]
- Hayes, R.A.; Feenstra, B.J. Video-speed electronic paper based on electrowetting. Nat. Cell Biol. 2003, 425, 383–385. [Google Scholar] [CrossRef]
- Shen, S.; Gong, Y.; Jin, M.; Yan, Z.; Xu, C.; Yi, Z.; Zhou, G.; Shui, L. Improving electrophoretic particle motion control in electrophoretic displays by eliminating the fringing effect via driving waveform design. Micromachines 2018, 9, 143. [Google Scholar] [CrossRef]
- Raj, B.; Smith, N.R.; Christy, L.; Dhindsa, M.; Heikenfeld, J. Composite dielectrics and surfactants for low voltage electrowetting devices. In Proceedings of the 17th Biennial University/Government/Industry Micro/Nano Symposium, Louisville, KY, USA, 13–16 July 2008; pp. 187–190. [Google Scholar] [CrossRef]
- Feenstra, B.; Hayes, R.; Van Dijk, R.; Boom, R.; Wagemans, M.; Camps, I.G.J.; Giraldo, A.; Heijden, B. Electrowetting-based displays: Bringing microfluidics alive on-screen. In Proceedings of the 19th IEEE International Conference on Micro Electro Mechanical Systems, Istanbul, Turkey, 22–26 January 2006; pp. 48–53. [Google Scholar] [CrossRef]
- Yi, Z.; Feng, H.; Zhou, X.; Shui, L. Design of an open electrowetting on dielectric device based on printed circuit board by using a parafilm, M. Front. Phys. 2020, 8, 193. [Google Scholar] [CrossRef]
- Chiu, Y.-H.; Liang, C.-C.; Chen, Y.-C.; Lee, W.-Y.; Chen, H.-Y.; Wu, S.-H. Accurate-gray-level and quick-response driving methods for high-performance electrowetting displays. J. Soc. Inf. Disp. 2011, 19, 741–748. [Google Scholar] [CrossRef]
- Yi, Z.; Liu, L.; Wang, L.; Li, W.; Shui, L.; Zhou, G. A driving system for fast and precise gray-scale response based on amplitude–frequency mixed modulation in TFT electrowetting displays. Micromachines 2019, 10, 732. [Google Scholar] [CrossRef] [PubMed]
- You, H.; Steckl, A.J. Three-color electrowetting display device for electronic paper. Appl. Phys. Lett. 2010, 97, 023514. [Google Scholar] [CrossRef]
- Yi, Z.; Huang, Z.; Lai, S.; He, W.; Wang, L.; Chi, F.; Zhang, C.; Shui, L.; Zhou, G. Driving waveform design of electrowetting displays based on an exponential function for a stable grayscale and a short driving time. Micromachines 2020, 11, 313. [Google Scholar] [CrossRef]
- Papathanasiou, A.G.; Papaioannou, A.T.; Boudouvis, A.G. Illuminating the connection between contact angle saturation and dielectric breakdown in electrowetting through leakage current measurements. J. Appl. Phys. 2008, 103, 34901. [Google Scholar] [CrossRef]
- Giraldo, A.; Massard, R.; Mans, J.; Derckx, E.; Aubert, J.; Mennen, J. 10.3: Ultra low-power electrowetting-based displays using dynamic frame rate driving. SID Symp. Dig. Tech. Pap. 2011, 42, 114–117. [Google Scholar] [CrossRef]
- Yi, Z.; Shui, L.; Wang, L.; Jin, M.; Hayes, R.A.; Zhou, G. A novel driver for active matrix electrowetting displays. Displays 2015, 37, 86–93. [Google Scholar] [CrossRef]
- Choi, U.C.; Park, C.W.; Hwang, H.S.; Jang, Y.J. Electrowetting Display Device Including Reset Signal Lines That Include Notch Elec-Trodes and Driving Method Thereof. U.S. Patent No 9,001,027, 7 April 2015. [Google Scholar]
- Liu, L.; Wu, Z.; Wang, L.; Zhang, T.; Li, W.; Lai, S.; Bai, P. Design of an AC driving waveform based on characteristics of electrowetting stability for electrowetting displays. Front. Phys. 2020, 8, 8. [Google Scholar] [CrossRef]
- Yi, Z.; Feng, W.; Wang, L.; Liu, L.; Lin, Y.; He, W.; Shui, L.; Zhang, C.; Zhang, Z.; Zhou, G. Aperture ratio improvement by optimizing the voltage slope and reverse pulse in the driving waveform for electrowetting displays. Micromachines 2019, 10, 862. [Google Scholar] [CrossRef] [PubMed]
- Yi, Z.-C.; Bai, P.-F.; Wang, L.; Zhang, X.; Zhou, G.-F. An electrophoretic display driving waveform based on improvement of activation pattern. J. Cent. South Univ. 2014, 21, 3133–3137. [Google Scholar] [CrossRef]
- Jiang, C.; Tang, B.; Xu, B.; Groenewold, J.; Zhou, G. Oil conductivity, electric-field-induced interfacial charge effects, and their influence on the electro-optical response of electrowetting display devices. Micromachines 2020, 11, 702. [Google Scholar] [CrossRef]
- Chen, Y.-C.; Chiu, Y.-H.; Lee, W.-Y.; Liang, C.-C. 56.3: A charge trapping suppression method for quick response electrowetting displays. SID Symp. Dig. Tech. Pap. 2010, 41, 842–845. [Google Scholar] [CrossRef]
- Li, X.; Tian, H.; Shao, J.; Ding, Y.; Chen, X.; Wang, L.; Lu, B. Decreasing the saturated contact angle in electrowetting-on-dielectrics by controlling the charge trapping at liquid-solid interfaces. Adv. Funct. Mater. 2016, 26, 2994–3002. [Google Scholar] [CrossRef]
- Verheijen, H.J.J.; Prins, M.M. Reversible electrowetting and trapping of charge: Model and experiments. Langmuir 1999, 15, 6616–6620. [Google Scholar] [CrossRef]









| Metal of Gate | Semiconductor Material | Drain/Source Metal | Transparent Electrode |
|---|---|---|---|
| MoW | A-Si | Al-Nd | ITO |
| Pixel Number | Pixel Wall Width | Pixel Wall Thickness | Hydrophobic Layer | Top ITO Thickness |
|---|---|---|---|---|
| 1024 × 768 | 12 μm | 6 μm | 1 μm | 25 μm |
Publisher’s Note: MDPI stays neutral with regard to jurisdictional claims in published maps and institutional affiliations. |
© 2021 by the authors. Licensee MDPI, Basel, Switzerland. This article is an open access article distributed under the terms and conditions of the Creative Commons Attribution (CC BY) license (https://creativecommons.org/licenses/by/4.0/).
Share and Cite
Liu, L.; Bai, P.; Yi, Z.; Zhou, G. A Separated Reset Waveform Design for Suppressing Oil Backflow in Active Matrix Electrowetting Displays. Micromachines 2021, 12, 491. https://doi.org/10.3390/mi12050491
Liu L, Bai P, Yi Z, Zhou G. A Separated Reset Waveform Design for Suppressing Oil Backflow in Active Matrix Electrowetting Displays. Micromachines. 2021; 12(5):491. https://doi.org/10.3390/mi12050491
Chicago/Turabian StyleLiu, Linwei, Pengfei Bai, Zichuan Yi, and Guofu Zhou. 2021. "A Separated Reset Waveform Design for Suppressing Oil Backflow in Active Matrix Electrowetting Displays" Micromachines 12, no. 5: 491. https://doi.org/10.3390/mi12050491
APA StyleLiu, L., Bai, P., Yi, Z., & Zhou, G. (2021). A Separated Reset Waveform Design for Suppressing Oil Backflow in Active Matrix Electrowetting Displays. Micromachines, 12(5), 491. https://doi.org/10.3390/mi12050491

