Analysis of Threshold Voltage Shift for Full VGS/VDS/Oxygen-Content Span under Positive Bias Stress in Bottom-Gate Amorphous InGaZnO Thin-Film Transistors
Abstract
1. Introduction
2. Device Sample Preparation
3. Results and Discussion
3.1. VT Shift Mechanisms
- Electron trapping in the interface of bulk GI layer occurs by a vertical electric field (positive gate voltage), as shown in Figure 3a. This occurs throughout the entire channel area. However, when a high voltage is applied to the drain, it occurs more at the source-side interface because VGS > VGD. In this case, a positive VT shift occurs owing to the screen effect of trapped electrons [6,20,21].
- Electron trapping at the drain-side GI layer occurs by hot-carrier injection (HCI), as shown in Figure 3b. HCI is one of the mechanisms that adversely affects the reliability of semiconductors. Electrons gain sufficient kinetic energy by a large lateral electric field to overcome a potential barrier between the IGZO channel and the GI [22]. These electrons can be trapped in the GI and also cause a positive VT shift of the device [13,23].
- Hole trapping at the source-side ESL occurs via impact ionization, as shown in Figure 3c. This is also caused by the lateral electric field because of the highly applied drain bias, and electrons can get enough energy to give rise to impact ionization, and an electron-hole pair (EHP) is finally generated. The generated holes are trapped at the interface between the IGZO channel and ESL while drifting to the source side because of the absence of a path to exit (body electrode), which causes a potential increase in the channel, thus resulting in a negative VT shift [13].
- Donor-like state creation in the drain-side IGZO layer occurs by a lateral electric field, as shown in Figure 3d. In general, oxygen vacancies in a-IGZO were found to act mostly as shallow donors. In some cases, a deep donor can be created through the creation of a metal-metal bond with an electronic property able to capture two electrons. Donor-like states originate from the impact ionization of oxygen vacancies in the IGZO layer (Vo + e− → Vo2+ + 3e−). These positively charged states result in a negative VT shift [13,24,25,26,27]. This mechanism is dominant near the drain side because the lateral electric field is higher than the source side.
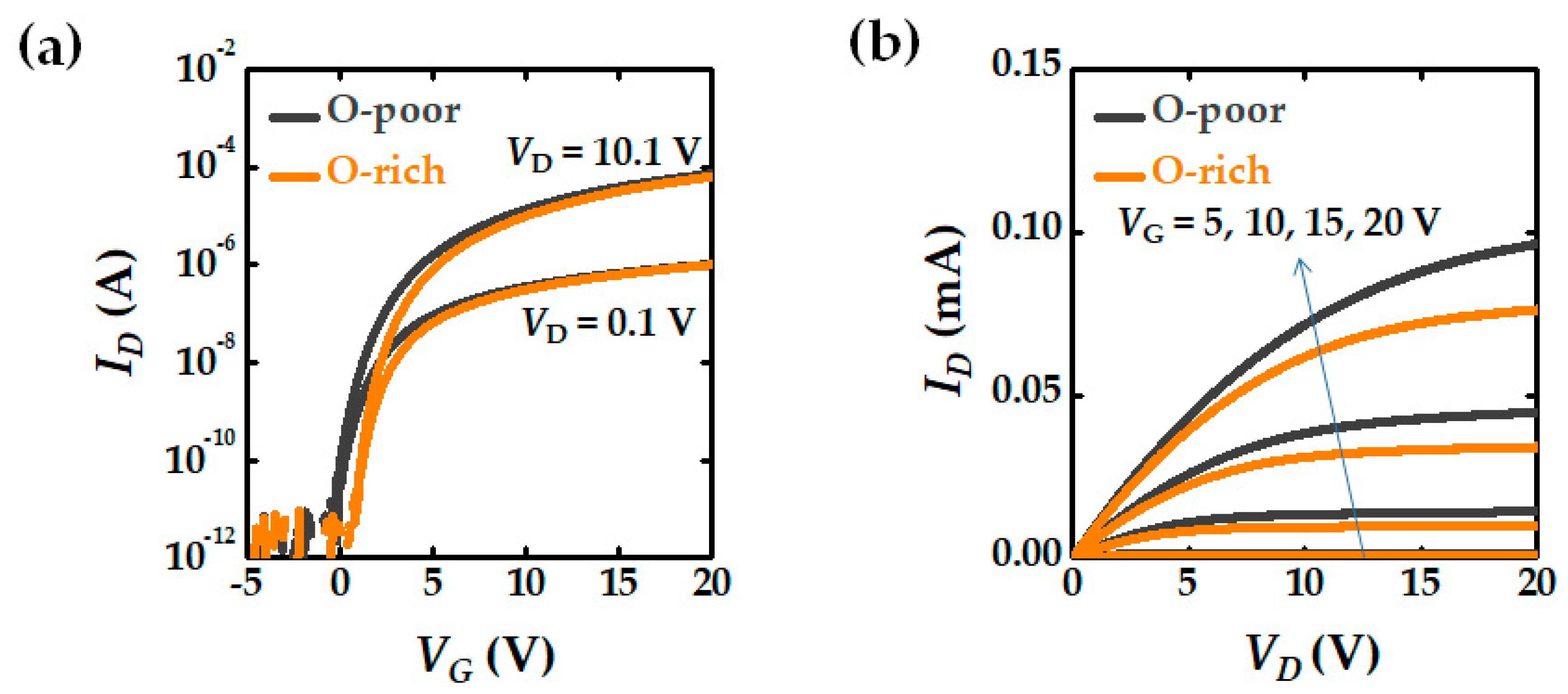
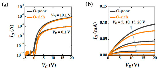
3.2. VT Shift Results
3.3. Effect of OFR on VT Instability
4. Conclusions
Author Contributions
Funding
Acknowledgments
Conflicts of Interest
References
- Kamiya, T.; Nomura, K.; Hosono, H. Present status of amorphous In–Ga–Zn–O thin-film transistors. Sci. Technol. Adv. Mater. 2010, 11, 1–23. [Google Scholar] [CrossRef]
- Kamiya, T.; Hiramatsu, H.; Nomura, K.; Hosono, H. Device applications of transparent oxide semiconductors: Excitonic blue LED and transparent flexible TFT. J. Electroceram 2006, 17, 267–275. [Google Scholar] [CrossRef]
- Lin, C.-L.; Chang, W.-Y.; Hung, C.-C. Compensating Pixel Circuit Driving AMOLED Display With a-IGZO TFTs. IEEE Electron Device Lett. 2013, 34, 1166–1168. [Google Scholar] [CrossRef]
- Yen, C.-C.; Tai, A.-H.; Liu, Y.-U.; Chen, T.-L.; Chou, C.-H.; Liu, C.W. Oxygen-Related Reliability of Amorphous InGaZnO Thin Film Transistors. IEEE J. Electron Devices Soc. 2020, 8, 540–544. [Google Scholar] [CrossRef]
- Lee, D.; Jeong, C.-Y.; Song, S.-H.; Xiao-Shi, J.; Kim, J.I.; Lee, J.-H.; Kwon, H.-I. Asymmetrical degradation behaviors in amorphous InGaZnO thin-film transistors under various gate and drain bias stresses. J. Vac. Sci. Technol. B 2014, 33, 011202. [Google Scholar] [CrossRef]
- Cho, I.-T.; Lee, J.-M.; Lee, J.-H.; Kwon, H.-I. Charge trapping and detrapping characteristics in amorphous InGaZnO TFTs under static and dynamic stresses. Semicond. Sci. Technol. 2008, 24, 015013. [Google Scholar] [CrossRef]
- On, N.; Kim, K.; Lee, S.; Kim, E.H.; Lim, J.H.; Jeong, J.K. Hot Carrier Effect in Self-Aligned In–Ga–Zn–O Thin-Film Transistors With Short Channel Length. IEEE Trans. Electron Devices 2020, 67, 5544–5551. [Google Scholar] [CrossRef]
- Takahashi, T.; Miyanaga, R.; Fujii, M.N.; Tanaka, J.; Takechi, K.; Tanabe, H.; Bermudo, J.P.; Ishikawa, Y.; Uraoka, Y. Hot carrier effects in InGaZnO thin-film transistor. Appl. Phys. Express 2019, 12, 094007. [Google Scholar] [CrossRef]
- Kim, J.I.; Jeong, C.-Y.; Kwon, H.-I.; Jung, K.D.; Park, M.S.; Kim, K.H.; Seo, M.S.; Lee, J.-H. Modeling of asymmetric degradation based on a non-uniform electric field and temperature in amorphous In-Ga-Zn-O thin film transistors. Semicond. Sci. Technol. 2017, 32, 035017. [Google Scholar] [CrossRef]
- Lin, D.; Su, W.-C.; Chang, T.-C.; Chen, H.-C.; Tu, Y.-F.; Zhou, K.-J.; Hung, Y.-H.; Yang, J.; Lu, I.-N.; Tsai, T.-M.; et al. Degradation Behavior of Etch-Stopper-Layer Structured a-InGaZnO Thin-Film Transistors under Hot-Carrier Stress and Illumination. IEEE Trans. Electron Devices 2021, 68, 556–559. [Google Scholar] [CrossRef]
- Kim, J.; Choi, S.; Jang, J.; Jang, J.T.; Kim, J.; Choi, S.-J.; Kim, D.M.; Kim, D.H. Analysis of Instability Mechanism under Simultaneous Positive Gate and Drain Bias Stress in Self-Aligned Top- Gate Amorphous Indium-Zinc-Oxide Thin-Film. J. Semicond. Technol. Sci. 2015, 15, 526–531. [Google Scholar] [CrossRef]
- Abe, K.; Takahashi, K.; Sato, A.; Kumomi, H.; Nomura, K.; Kamiya, T.; Kanicki, J.; Hosono, H. Amorphous In–Ga–Zn–O Dual-Gate TFTs: Current–Voltage Characteristics and Electrical Stress Instabilities. IEEE Trans. Electron Devices 2012, 59, 1336–1339. [Google Scholar] [CrossRef]
- Urakawa, S.; Tomai, S.; Ueoka, Y.; Yamazaki, H.; Kasami, M.; Yano, K.; Wang, D.; Furuta, M.; Horita, M.; Ishikawa, Y.; et al. Thermal analysis of amorphous oxide thin film transistor degraded by combination of joule heating and hot carrier effect. Appl. Phys. Lett. 2013, 102, 053506. [Google Scholar] [CrossRef]
- Choi, S.-H.; Han, M.-K. Effect of channel widths on negative shift of threshold voltage, including stress-induced hump phenomenon in InGaZnO thin-film transistors under high-gate and drain bias stress. Appl. Phys. Lett. 2012, 100, 043503. [Google Scholar] [CrossRef]
- Jeon, K.; Kim, C.; Song, I.; Park, J.; Kim, S.; Kim, S.; Park, Y.; Park, J.-H.; Lee, S.; Kim, D.M.; et al. Modeling of amorphous InGaZnO thin-film transistors based on the density of states extracted from the optical response of capacitance-voltage characteristics. Appl. Phys. Lett. 2008, 93, 182102. [Google Scholar] [CrossRef]
- Park, J.-H.; Jeon, K.; Lee, S.; Kim, S.; Kim, S.; Song, I.; Kim, C.J.; Park, J.; Park, Y.; Kim, D.M.; et al. Extraction of Density of States in Amorphous GaInZnO Thin-Film Transistors by Combining an Optical Charge Pumping and Capacitance–Voltage Characteristics. IEEE Electron Device Lett. 2008, 29, 1292–1295. [Google Scholar] [CrossRef]
- Bae, H.; Choi, H.; Jun, S.; Jo, C.; Kim, Y.H.; Hwang, J.S.; Ahn, J.; Oh, S.; Bae, J.-U.; Choi, S.-J.; et al. Single-Scan Monochromatic Photonic Capacitance-Voltage Technique for Extraction of Subgap DOS Over the Bandgap in Amorphous Semiconductor TFTs. IEEE Electron Device Lett. 2013, 34, 1524–1526. [Google Scholar] [CrossRef]
- Choi, S.; Jang, J.T.; Kang, H.; Baeck, J.H.; Bae, J.U.; Park, K.-S.; Yoon, S.Y.; Kang, I.B.; Kim, D.M.; Choi, S.-J.; et al. Systematic Decomposition of the Positive Bias Stress Instability in Self-Aligned Coplanar InGaZnO Thin-Film Transistors. IEEE Electron Device Lett. 2017, 38, 580–583. [Google Scholar] [CrossRef]
- Jang, J.T.; Choi, S.-J.; Kim, D.M.; Kim, D.H. The Calculation of Negative Bias Illumination Stress-Induced Instability of Amorphous InGaZnO Thin-Film Transistors for Instability-Aware Design. IEEE Trans. Electron Devices 2018, 65, 1002–1008. [Google Scholar] [CrossRef]
- Zhou, Y.; Dong, C. Influence of Passivation Layers on Positive Gate Bias-Stress Stability of Amorphous InGaZnO Thin-Film Transistors. Micromachines 2018, 9, 603. [Google Scholar] [CrossRef]
- Lee, J.-M.; Cho, I.-T.; Lee, J.-H.; Kwon, H.-I. Bias-stress-induced stretched-exponential time dependence of threshold voltage shift in InGaZnO thin film transistors. Appl. Phys. Lett. 2008, 93, 093504. [Google Scholar] [CrossRef]
- Chen, B.-W.; Chang, T.-C.; Hung, Y.-J.; Hsieh, T.-Y.; Tsai, M.-Y.; Liao, P.-Y.; Tsai, W.-W.; Chiang, W.-J.; Yan, J.-Y. Investigation of temperature-dependent asymmetric degradation behavior induced by hot carrier effect in oxygen ambiance in In–Ga–Zn-O thin film transistors. Thin Solid Films 2014, 572, 33–38. [Google Scholar] [CrossRef]
- Choi, S.; Kim, H.; Jo, C.; Kim, H.-S.; Choi, S.-J.; Kim, D.M.; Park, J.; Kim, D.H. The Effect of Gate and Drain Fields on theCompetition Between Donor-Like State Creation and Local Electron Trapping in In–Ga–Zn–O Thin Film Transistors under Current Stress. IEEE Electron Device Lett. 2015, 36, 1336–1339. [Google Scholar] [CrossRef]
- Kim, J.I.; Cho, I.-T.; Joe, S.-M.; Jeong, C.-Y.; Lee, D.; Kwon, H.-I. Effect of Temperature and Electric Field on Degradation in Amorphous InGaZnO TFTs under Positive Gate and Drain Bias Stress. IEEE Electron Device Lett. 2014, 35, 458–460. [Google Scholar] [CrossRef]
- Choi, S.; Kim, H.; Jo, C.; Kim, H.-S.; Choi, S.-J.; Kim, D.M.; Kim, D.H. A Study on the Degradation of In–Ga–Zn–O Thin-Film Transistors under Current Stress by Local Variations in Density of States and Trapped Charge Distribution. IEEE Electron Device Lett. 2015, 36, 690–692. [Google Scholar] [CrossRef]
- Lee, S.M.; Cho, W.-J.; Park, J.T. Device Instability under High Gate and Drain Biases in InGaZnO Thin Film Transistors. IEEE Trans. Decive Mater. Reliab. 2014, 14, 471–476. [Google Scholar] [CrossRef]
- Fung, T.-C.; Chuang, C.-S.; Chen, C.; Abe, K.; Cottle, R.; Townsend, M.; Kumomi, H.; Kanicki, J. Two-dimensional numerical simulation of radio frequency sputter amorphous In–Ga–Zn–O thin-film transistors. J. Appl. Phys. 2009, 106, 084511. [Google Scholar] [CrossRef]
- Kim, S.; Jeon, Y.W.; Kim, Y.; Kong, D.; Jung, H.K.; Bae, M.-K.; Lee, J.-H.; Ahn, B.D.; Park, S.Y.; Park, J.-H.; et al. Impact of Oxygen Flow Rate on the Instability under Positive Bias Stresses DC-Sputtered Amorphous InGaZnO Thin-Film Transistors. IEEE Electron Device Lett. 2012, 33, 62–64. [Google Scholar] [CrossRef]
- Chiang, H.Q.; McFarlane, B.R.; Hong, D.; Presley, R.E.; Wager, J.F. Processing effects on the stability of amorphous indium gallium zinc oxide thin-film transistors. J. Non-Cryst. Solids 2008, 354, 2826–2830. [Google Scholar] [CrossRef]
- Choi, S.; Kim, J.-Y.; Kang, H.; Ko, D.; Rhee, J.; Choi, S.-J.; Kim, D.M.; Kim, D.H. Effect of Oxygen Content on Current Stress-Induced Instability in Bottom-Gate Amorphous InGaZnO Thin-Film Transistors. Materials 2019, 12, 3149. [Google Scholar] [CrossRef]







Publisher’s Note: MDPI stays neutral with regard to jurisdictional claims in published maps and institutional affiliations. |
© 2021 by the authors. Licensee MDPI, Basel, Switzerland. This article is an open access article distributed under the terms and conditions of the Creative Commons Attribution (CC BY) license (http://creativecommons.org/licenses/by/4.0/).
Share and Cite
Kim, J.-H.; Jang, J.T.; Bae, J.-H.; Choi, S.-J.; Kim, D.M.; Kim, C.; Kim, Y.; Kim, D.H. Analysis of Threshold Voltage Shift for Full VGS/VDS/Oxygen-Content Span under Positive Bias Stress in Bottom-Gate Amorphous InGaZnO Thin-Film Transistors. Micromachines 2021, 12, 327. https://doi.org/10.3390/mi12030327
Kim J-H, Jang JT, Bae J-H, Choi S-J, Kim DM, Kim C, Kim Y, Kim DH. Analysis of Threshold Voltage Shift for Full VGS/VDS/Oxygen-Content Span under Positive Bias Stress in Bottom-Gate Amorphous InGaZnO Thin-Film Transistors. Micromachines. 2021; 12(3):327. https://doi.org/10.3390/mi12030327
Chicago/Turabian StyleKim, Je-Hyuk, Jun Tae Jang, Jong-Ho Bae, Sung-Jin Choi, Dong Myong Kim, Changwook Kim, Yoon Kim, and Dae Hwan Kim. 2021. "Analysis of Threshold Voltage Shift for Full VGS/VDS/Oxygen-Content Span under Positive Bias Stress in Bottom-Gate Amorphous InGaZnO Thin-Film Transistors" Micromachines 12, no. 3: 327. https://doi.org/10.3390/mi12030327
APA StyleKim, J.-H., Jang, J. T., Bae, J.-H., Choi, S.-J., Kim, D. M., Kim, C., Kim, Y., & Kim, D. H. (2021). Analysis of Threshold Voltage Shift for Full VGS/VDS/Oxygen-Content Span under Positive Bias Stress in Bottom-Gate Amorphous InGaZnO Thin-Film Transistors. Micromachines, 12(3), 327. https://doi.org/10.3390/mi12030327

