Research on Total Ionizing Dose Effect and Reinforcement of SOI-TFET
Abstract
:1. Introduction
2. Analysis of Total Dose Effect Mechanism
2.1. The Generation of Trapped Charge in the Oxide Layer
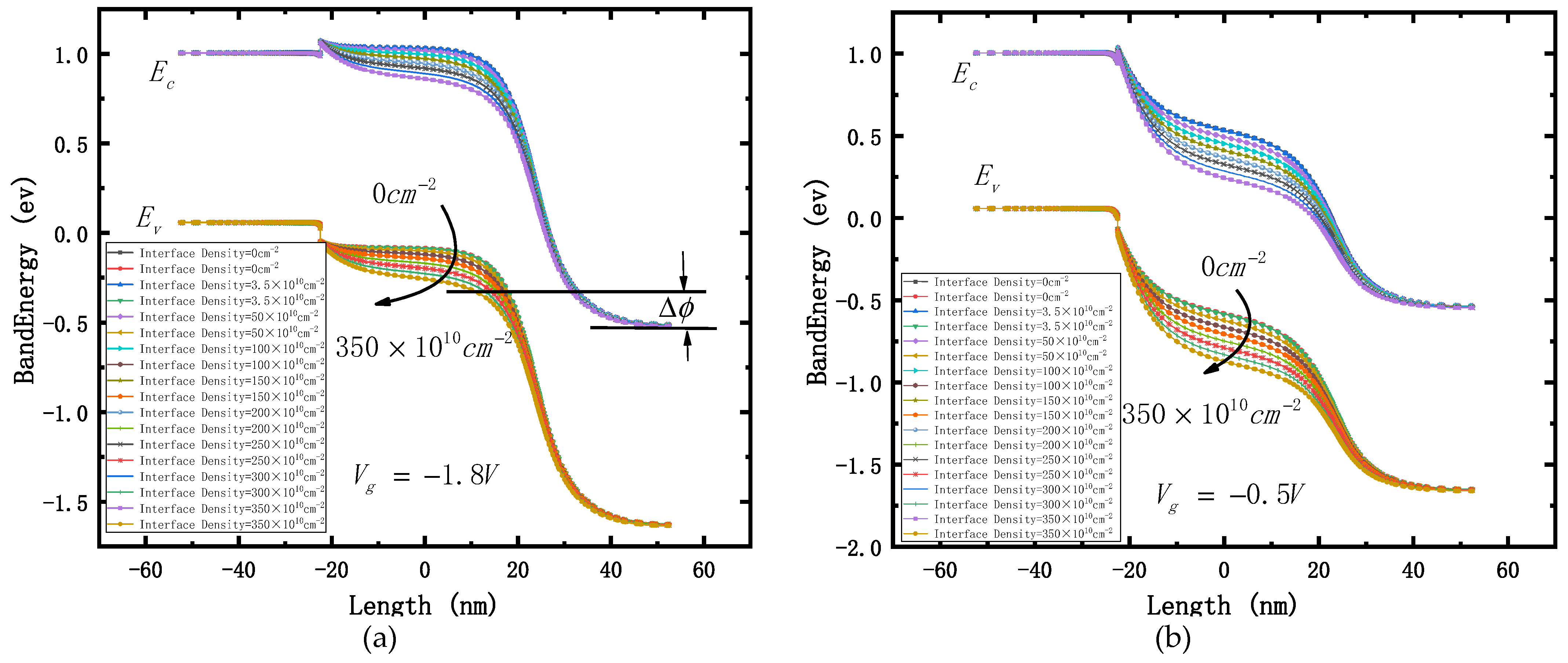
2.2. The Generation of Trapped Charge in the Interface State
3. Methods
3.1. Physical Model
3.2. Device Model
4. Results and Discussion
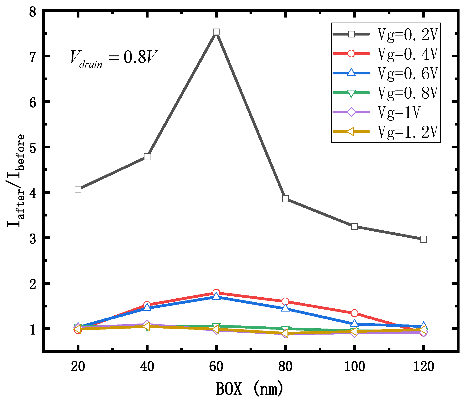
4.1. Current Switching Ratio Ion/Ioff and eBTBTGeneration
4.2. Threshold Voltage and Subthreshold Swing
4.3. Bipolar Effect
5. Hardening of BOX layer
6. Conclusions
Author Contributions
Funding
Conflicts of Interest
References
- Samuel, T.S.A.; Balamurugan, N.B.; Bhuvaneswari, S.; Sharmila, D.; Padmapriya, K. Analytical modelling and simulation of single-gate SOI TFET for low-power applications. Int. J. Electron. 2014, 101, 779–788. [Google Scholar] [CrossRef]
- Raad, B.R.; Nigam, K.; Sharma, D.; Kondekar, P.N. Performance investigation of bandgap, gate material work function and gate dielectric engineered TFET with device reliability improvement. Superlattices Microstruct. 2016, 94, 138–146. [Google Scholar] [CrossRef]
- Anand, I.V.; Samuel, T.S.A.; Vimala, P.; Shenbagavalli, A. Modelling and Simulation of Hetero-Dielectric Surrounding Gate TFET. J. Nano Res. 2020, 62, 47–58. [Google Scholar] [CrossRef]
- Lee, R.; Kwon, D.W.; Kim, S.; Kim, D.H.; Park, B.G. Investigation of Feasibility of Tunneling Field Effect Transistor (TFET) as Highly Sensitive and Multi-sensing Biosensors. J. Semicond. Technol. Andence 2017, 17, 141–146. [Google Scholar] [CrossRef]
- Wu, J.; Taur, Y. Reduction of TFET OFF-Current and Subthreshold Swing by Lightly Doped Drain. IEEE Trans. Electron. Devices 2016, 63, 1–4. [Google Scholar] [CrossRef]
- Ding, L.; Gnani, E.; Gerardin, S.; Bagatin, M.; Driussi, F.; Palestri, P.; Selmi, L.; Royer, C.L.; Paccagnella, A. Total Ionizing Dose Effects in Si-Based Tunnel FETs. IEEE Trans. Electron. Devices 2014, 61, 2874–2880. [Google Scholar] [CrossRef]
- Ding, L.; Gnani, E.; Gerardin, S.; Bagatin, M.; Driussi, F.; Selmi, L.; Royer, C.L.; Paccagnella, A. Impact of bias conditions on electrical stress and ionizing radiation effects in Si-based TFETs. Solid-State Electron. 2016, 115, 146–151. [Google Scholar] [CrossRef]
- Liu, H.; Cotter, M.; Datta, S.; Narayanan, V. Soft-error performance evaluation on emerging low power devices. IEEE Trans. Device Mater. Reliab. 2014, 14, 732–741. [Google Scholar]
- Hemmat, M.; Kamal, M.; Afzali-Kusha, A.; Pedram, M. Hybrid TFET-MOSFET circuit: A solution to design soft-error resilient ultra-low digital circuit. Integr. VLSI J. 2017, 57, 11–19. [Google Scholar] [CrossRef]
- Chander, S.; Bhowmick, B.; Baishya, S. Heterojunction fully depleted SOI-TFET with oxide/source overlap. Superlattices Microstruct. 2015, 86, 43–50. [Google Scholar] [CrossRef]
- Mitra, S.K.; Bhowmick, B. Impact of interface traps on performance of Gate-on-Source/Channel SOI TFET. Microelectron. Reliab. 2019, 94, 1–12. [Google Scholar] [CrossRef]
- Mitra, S.K.; Bhowmick, B. An Analytical Drain Current Model of Gate-On-Source/Channel SOI-TFET. Silicon 2019, 11, 3031–3039. [Google Scholar] [CrossRef]
- Pandey, C.K.; Dash, D.; Chaudhury, S. Improvement in Analog/RF Performances of SOI TFET Using Dielectric Pocket. Int. J. Electron. 2020, 107, 1844–1860. [Google Scholar] [CrossRef]
- Ghosh, P.; Bhowmick, B. Analysis of Kink Reduction and reliability issues in Low-voltage Dual Tunnel Diode based SOI TFET. Micro Nano Lett. 2019, 15, 130–135. [Google Scholar] [CrossRef]
- Rao, M.; Ranjan, R.; Pradhan, K.P.; Sahu, P.K. Performance analysis of symmetric High-k Spacer (SHS) Trigate SOI TFET[C]//. In Proceedings of the 2016 3rd International Conference on Devices, Circuits and Systems (ICDCS), Coimbatore, India, 3–5 March 2016; pp. 133–136. [Google Scholar]
- Mitra, S.K.; Goswami, R.; Bhowmick, B. A hetero-dielectric stack gate SOI-TFET with back gate and its application as a digital inverter. Superlattices Microstruct. 2016, 92, 37–51. [Google Scholar] [CrossRef]
- Lee, M.S.; Lee, H.C. Dummy Gate-Assisted n-MOSFET Layout for a Radiation-Tolerant Integrated Circuit. IEEE Trans. Nucl. Sci. 2013, 60 Pt 2, 3084–3091. [Google Scholar] [CrossRef]
- Gaillardin, M.; Martinez, M.; Paillet, P.; Raine, M.; Andrieu, F.; Faynot, O.; Thomas, O. Total Ionizing Dose Effects Mitigation Strategy for Nanoscaled FDSOI Technologies. IEEE Trans. Nucl. Sci. 2014, 61, 3023–3029. [Google Scholar] [CrossRef]
- Rahimian, M.; Fathipour, M. Junctionless nanowire TFET with built-in N-P-N bipolar action: Physics and operational principle. J. Appl. Phys. 2016, 120, 225702. [Google Scholar] [CrossRef]
- Kuamr, A.; Chatterjee, N.; Pandey, S.; Kardam, U.; Gupta, M. Analytical Modeling and Simulation Based Investigation of Advanced TFET Architecture[C]//. In Proceedings of the 2016 International Conference on Micro-Electronics and Telecommunication Engineering (ICMETE), Ghaziabad, India, 22–23 September 2016. [Google Scholar]
- Zhang, Y.B.; Sun, L.; Xu, H.; Han, J.W. Simulation and comparative study of tunneling field effect transistors with do pant-segregated Schottky source/drain. Jpn. J. Appl. Phys. 2016, 55, 04ED09. [Google Scholar] [CrossRef]
- Chandan, B.V.; Dasari, S.; Yadav, S.; Sharma, D. Approach to suppress ambipolarity and improve RF and linearity performances on ED-Tunnel FET. IET Micro Nano Lett. 2019, 14, 86–90. [Google Scholar] [CrossRef]











| Parameter Name | Symbol | Value | Unit |
|---|---|---|---|
| Channel length | Lchannel | 45 | nm |
| Gate oxide thickness | Tox | 2 | nm |
| Silicon film thickness | HSi | 10 | nm |
| BOX thickness | Hbox | 20 | nm |
| Substrate thickness | Hsubstrate | 50 | nm |
| Metal work function | ΦM | 4.17 | eV |
| Channel doping | Boron | 1 × 1016 | cm−3 |
| Substrate doping | Boron | 1 × 1016 | cm−3 |
| Spacer height | Hspacer | 20 | nm |
| Spacer length | Lspacer | 2 | nm |
| Gate source overlap length | Lov | 6 | nm |
Publisher’s Note: MDPI stays neutral with regard to jurisdictional claims in published maps and institutional affiliations. |
© 2021 by the authors. Licensee MDPI, Basel, Switzerland. This article is an open access article distributed under the terms and conditions of the Creative Commons Attribution (CC BY) license (https://creativecommons.org/licenses/by/4.0/).
Share and Cite
Chong, C.; Liu, H.; Wang, S.; Wu, X. Research on Total Ionizing Dose Effect and Reinforcement of SOI-TFET. Micromachines 2021, 12, 1232. https://doi.org/10.3390/mi12101232
Chong C, Liu H, Wang S, Wu X. Research on Total Ionizing Dose Effect and Reinforcement of SOI-TFET. Micromachines. 2021; 12(10):1232. https://doi.org/10.3390/mi12101232
Chicago/Turabian StyleChong, Chen, Hongxia Liu, Shulong Wang, and Xiaocong Wu. 2021. "Research on Total Ionizing Dose Effect and Reinforcement of SOI-TFET" Micromachines 12, no. 10: 1232. https://doi.org/10.3390/mi12101232
APA StyleChong, C., Liu, H., Wang, S., & Wu, X. (2021). Research on Total Ionizing Dose Effect and Reinforcement of SOI-TFET. Micromachines, 12(10), 1232. https://doi.org/10.3390/mi12101232

