Energy Loss in a MEMS Disk Resonator Gyroscope
Abstract
1. Introduction
2. Design and Operation
3. Energy Loss Analysis
3.1. Thermoelastic Damping
3.2. Anchor Loss
3.3. Electronics Damping
3.4. Q Calculation of the DRG
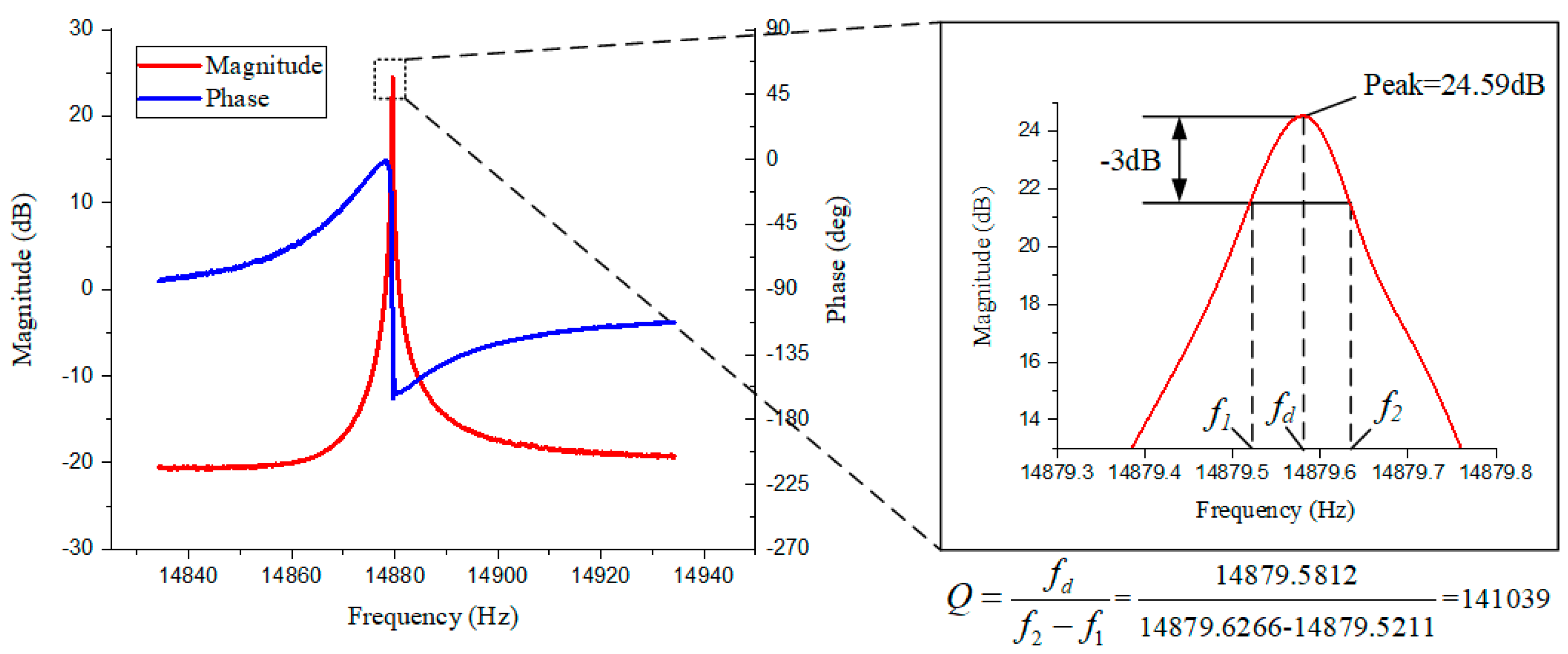
4. Verification and Discussion
- The fabrication error introduces a dimensional variation to the DRG structure, which affects the theoretical results (especially those for the thermoelastic damping). This is the most likely reason.
- There is a readout error in measuring Q using the half-power bandwidth method, although we have done our best to avoid this error.
- The air damping and surface loss contribute to Q.
5. Conclusions
Author Contributions
Funding
Acknowledgments
Conflicts of Interest
References
- Boxenhorn, B.; Greiff, P. A vibratory micromechanical gyroscope. In Proceedings of the AIAA Guidance and Controls Conference, Minneapolis, MN, USA, 15–17 August 1988; pp. 1033–1040. [Google Scholar]
- Acar, C.; Shkel, A.M. Structurally decoupled micromachined gyroscopes with post-release capacitance enhancement. J. Micromech. Microeng. 2005, 15, 1092–1101. [Google Scholar] [CrossRef]
- Alper, S.E.; Akin, T. A symmetric surface micromachined gyroscope with decoupled oscillation modes. Sens. Actuators A Phys. 2002, 97–98, 347–358. [Google Scholar] [CrossRef]
- Sharma, A.; Zaman, M.F.; Zucher, M.; Ayazi, F. A 0.1°/HR bias drift electronically matched tuning fork microgyroscope. In Proceedings of the 2008 IEEE 21st International Conference on Micro Electro Mechanical Systems, Tucson, AZ, USA, 13–17 January 2008; pp. 6–9. [Google Scholar]
- Shen, Q.; Chang, H.; Wu, Y.; Xie, J. Turn-on bias behavior prediction for micromachined Coriolis vibratory gyroscopes. Measurement 2019, 131, 380–393. [Google Scholar] [CrossRef]
- Tsai, D.; Fang, W. Design and simulation of a dual-axis sensing decoupled vibratory wheel gyroscope. Sens. Actuators A Phys. 2006, 126, 33–40. [Google Scholar] [CrossRef]
- Tsai, N.; Sue, C. Design and Analysis of a Tri-Axis Gyroscope Micromachined by Surface Fabrication. IEEE Sens. J. 2008, 8, 1933–1940. [Google Scholar] [CrossRef]
- Yazdi, N.; Ayazi, F.; Najafi, K. Micromachined inertial sensors. Proc. IEEE 1998, 86, 1640–1658. [Google Scholar] [CrossRef]
- Challoner, A.D.; Ge, H.H.; Liu, J.Y. Boeing disc resonator gyroscope. In Proceedings of the 2014 IEEE/ION Position, Location and Navigation Symposium—PLANS 2014, Monterey, CA, USA, 5–8 May 2014; pp. 504–514. [Google Scholar]
- Sorenson, L.D.; Gao, X.; Ayazi, F. 3-D micromachined hemispherical shell resonators with integrated capacitive transducers. In Proceedings of the 2012 IEEE 25th International Conference on Micro Electro Mechanical Systems (MEMS), Paris, France, 29 January–2 February 2012; pp. 168–171. [Google Scholar]
- Trusov, A.A.; Schofield, A.R.; Shkel, A.M. A substrate energy dissipation mechanism in in-phase and anti-phase micromachined z-axis vibratory gyroscopes. J. Micromech. Microeng. 2008, 18, 95016. [Google Scholar] [CrossRef]
- Xia, D.; Huang, L.; Xu, L.; Gao, H. Structural analysis of disk resonance gyroscope. Micromachines 2017, 8, 296. [Google Scholar] [CrossRef]
- Zotov, S.A.; Simon, B.R.; Sharma, G.; Han, J.; Prikhodko, I.P.; Trusov, A.A.; Shkel, A.M. Investigation of energy dissipation in low frequency vibratory MEMS demonstrating a resonator with 25 minutes time constant. In Proceedings of the International Conference on Solid-State Sensors, Actuators and Microsystems, Hilton Head, SC, USA, 8–12 June 2014; pp. 76–79. [Google Scholar]
- Lifshitz, R.; Roukes, M. Thermoelastic damping in micro- and nanomechanical systems. Phys. Rev. B 2000, 61, 5600–5609. [Google Scholar] [CrossRef]
- Hao, Z.; Zaman, M.F.; Sharma, A.; Ayazi, F. Energy Loss Mechanisms in a Bulk-Micromachined Tuning Fork Gyroscope. In Proceedings of the 2006 5th IEEE Conference on Sensors, Daegu, South Korea, 22–25 October 2006; pp. 1333–1336. [Google Scholar]
- Darvishian, A.; Nagourney, T.; Cho, J.Y.; Shiari, B.; Najafi, K. Thermoelastic Dissipation in Micromachined Birdbath Shell Resonators. J. Microelectromech. Syst. 2017, 26, 758–772. [Google Scholar] [CrossRef]
- Prikhodko, I.P.; Simon, B.R.; Sharma, G.; Zotov, S.A.; Trusov, A.A.; Shkel, A.M. High and Moderate-Level Vacuum Packaging of Vibratory MEMS Low-end. Int. Symp. Microelectron. 2013, 2013, 705–710. [Google Scholar] [CrossRef]
- Yang, J.; Ono, T.; Esashi, M. Energy dissipation in submicrometer thick single-crystal silicon cantilevers. J. Microelectromech. Syst. 2002, 11, 775–783. [Google Scholar] [CrossRef]
- Tao, K.; Yi, H.; Tang, L.; Wu, J.; Wang, P.; Wang, N.; Hu, L.; Fu, Y.; Miao, J.; Chang, H. Piezoelectric ZnO thin films for 2DOF MEMS vibrational energy harvesting. Surf. Coat. Technol. 2019, 359, 289–295. [Google Scholar] [CrossRef]
- Duwel, A.; Gorman, J.; Weinstein, M.; Borenstein, J.; Ward, P. Experimental study of thermoelastic damping in MEMS gyros. Sens. Actuators A Phys. 2003, 103, 70–75. [Google Scholar] [CrossRef]
- Hossain, S.T.; McWilliam, S.; Popov, A.A. An investigation on thermoelastic damping of high-Q ring resonators. Int. J. Mech. Sci. 2016, 106, 209–219. [Google Scholar] [CrossRef]
- Gerrard, D.D.; Ahn, C.H.; Flader, I.B.; Chen, Y.; Ng, E.J.; Yang, Y.; Kenny, T.W. Q-factor optimization in disk resonator gyroscopes via geometric parameterization. In Proceedings of the 2016 IEEE 29th International Conference on Micro Electro Mechanical Systems (MEMS), Shanghai, China, 24–28 January 2016; pp. 994–997. [Google Scholar]
- Li, Q.; Xiao, D.; Zhou, X.; Hou, Z.; Xu, Y.; Wu, X. Quality Factor Improvement in the Disk Resonator Gyroscope by Optimizing the Spoke Length Distribution. J. Microelectromech. Syst. 2018, 27, 414–423. [Google Scholar] [CrossRef]
- Ahamed, M.J.; Senkal, D.; Shkel, A.M. Effect of annealing on mechanical quality factor of fused quartz hemispherical resonator. In Proceedings of the 2014 International Symposium on Inertial Sensors and Systems (ISISS), Laguna Beach, CA, USA, 25–26 February 2014; pp. 1–4. [Google Scholar]
- Zener, C. Internal Friction in Solids. I. Theory of Internal Friction in Reeds. Phys. Rev. 1937, 52, 230–235. [Google Scholar] [CrossRef]
- Zener, C. Internal Friction in Solids II. General Theory of Thermoelastic Internal Friction. Phys. Rev. 1938, 53, 90–99. [Google Scholar] [CrossRef]
- Wong, S.J.; Fox, C.H.J.; McWilliam, S.; Fell, C.P.; Eley, R. A preliminary investigation of thermo-elastic damping in silicon rings. J. Micromech. Microeng. 2004, 14, 108–113. [Google Scholar] [CrossRef]
- Huang, Y.; Li, J.; Yang, W. Mathematical analysis of a PML model obtained with stretched coordinates and its application to backward wave propagation in metamaterials. Numer. Methods Partial Differ. Equ. 2014, 30, 1558–1574. [Google Scholar] [CrossRef]
- Darvishian, A.; Shiari, B.; Cho, J.Y.; Nagourney, T.; Najafi, K. Anchor Loss in Hemispherical Shell Resonators. J. Microelectromech. Syst. 2017, 26, 51–66. [Google Scholar] [CrossRef]
- Gerrard, D.D.; Ng, E.J.; Ahn, C.H.; Hong, V.A.; Yang, Y.; Kenny, T.W. Modeling the effect of anchor geometry on the quality factor of bulk mode resonators. In Proceedings of the 2015 Transducers—2015 18th International Conference on Solid-State Sensors, Actuators and Microsystems (TRANSDUCERS), Anchorage, AK, USA, 21–25 June 2015; pp. 1997–2000. [Google Scholar]
- Thakar, V.; Rais-Zadeh, M. Optimization of tether geometry to achieve low anchor loss in Lamé-mode resonators. In Proceedings of the 2013 Joint European Frequency and Time Forum & International Frequency Control Symposium (EFTF/IFC), Prague, Czech Republic, 21–25 July 2013; pp. 129–132. [Google Scholar]
- Xu, Y.; Wang, R.; Durgam, S.K.; Hao, Z.; Vahala, L. Numerical models and experimental investigation of energy loss mechanisms in SOI-based tuning-fork gyroscopes. Sens. Actuators A Phys. 2009, 152, 63–74. [Google Scholar] [CrossRef]












| Parameters | Value | Parameters | Value |
|---|---|---|---|
| Diameter of the outermost ring | 6000 μm | Width of rings | 18 μm |
| Diameter of the innermost ring | 2740 μm | Thickness of rings | 100 μm |
| Angle between short spoke | 45° | Width of short spoke | 30 μm |
| Angle between long spoke | 45° | Length of short spoke | 12 μm |
| Angle between short and long spoke | 22.5° | Width of long spoke | 40 μm |
| Number of rings | 10 | Length of long spoke | 255 μm |
| Items | Mass Asymmetry Model | Stiffness Asymmetry Model | ||
|---|---|---|---|---|
| ρ (kg/m3) | E (GPa) | ρ (kg/m3) | E (GPa) | |
| Left semi-ring | 2330 | 169 | 2330 | 169 |
| Right semi-ring | 2330 × (1−α) | 169 | 2330 | 169 × (1−α) |
| Parameter | Value |
|---|---|
| Proof mass () | kg |
| Angular frequency () | rad/s |
| Change rate () | F/m |
| Feedback impedance () | MΩ |
| Item | Q | Contribution |
|---|---|---|
| ~97.5% | ||
| ~0.1% | ||
| ~2.6% ~5.5% ~9.6% | ||
| No. | Frequency (kHz) | Q (Bias Voltage 10 V) |
|---|---|---|
| DRG 1 | 14.8 | 71.4 k |
| DRG 2 | 14.9 | 86.9 k |
| DRG 3 | 14.8 | 108 k |
| DRG 4 | 14.9 | 109 k |
| DRG 5 | 14.9 | 141 k |
| Bias Voltage (V) | 10 | 15 | 20 |
|---|---|---|---|
| Q | 141 K | 137 K | 132 K |
© 2019 by the authors. Licensee MDPI, Basel, Switzerland. This article is an open access article distributed under the terms and conditions of the Creative Commons Attribution (CC BY) license (http://creativecommons.org/licenses/by/4.0/).
Share and Cite
Xie, J.; Hao, Y.; Yuan, W. Energy Loss in a MEMS Disk Resonator Gyroscope. Micromachines 2019, 10, 493. https://doi.org/10.3390/mi10080493
Xie J, Hao Y, Yuan W. Energy Loss in a MEMS Disk Resonator Gyroscope. Micromachines. 2019; 10(8):493. https://doi.org/10.3390/mi10080493
Chicago/Turabian StyleXie, Jianbing, Yongcun Hao, and Weizheng Yuan. 2019. "Energy Loss in a MEMS Disk Resonator Gyroscope" Micromachines 10, no. 8: 493. https://doi.org/10.3390/mi10080493
APA StyleXie, J., Hao, Y., & Yuan, W. (2019). Energy Loss in a MEMS Disk Resonator Gyroscope. Micromachines, 10(8), 493. https://doi.org/10.3390/mi10080493

