Biomarkers of Fumonisin Exposure in Pigs Fed the Maximum Recommended Level in Europe
Abstract
1. Introduction
2. Results
2.1. Effect on Performance
2.2. Effect on Plasma Biochemistry
2.3. Effect on Sphingolipids in the Liver
2.4. Effect on Sphingolipids in the Kidney
2.5. Effect on Sphingolipids in the Lung
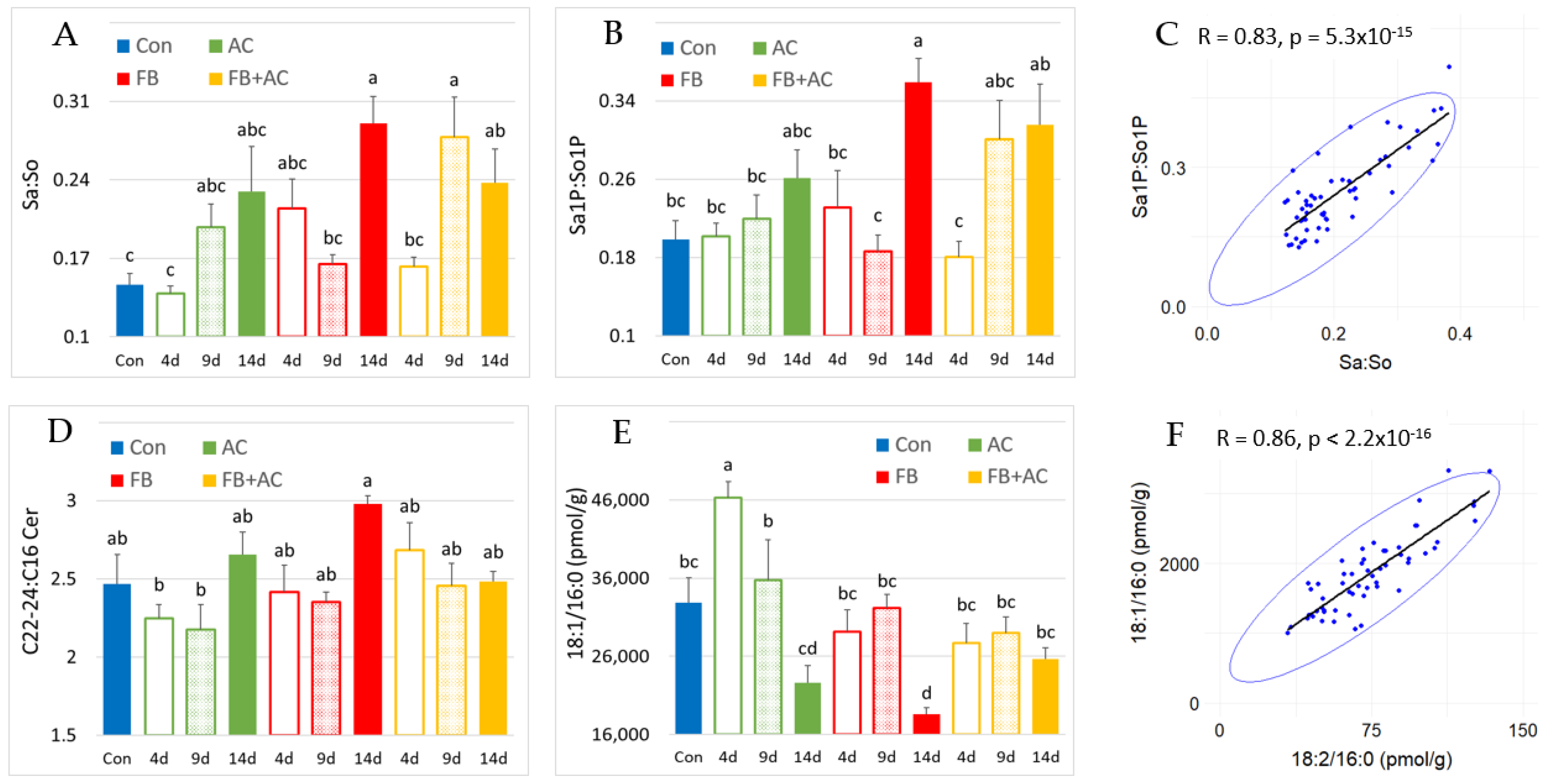
2.6. Effect on Sphingolipids in the Plasma
3. Discussion
3.1. Performance and FB1 in Tissues
3.2. Sa:So and Sa1P: So1P Ratios
3.3. Ceramides and Other Sphingolipids
3.4. Effects of AlgoClay Distribution
4. Conclusions
5. Materials and Methods
5.1. Feed Preparation
5.2. Animal Phase
5.3. Sample Collection and Blinding
5.4. Chemicals and Reagents
5.5. Biochemistry
5.6. Tissue Concentrations of Fumonisins
5.7. UHPLC-MSMS for Sphingolipids
5.8. Statistics
Supplementary Materials
Author Contributions
Funding
Institutional Review Board Statement
Informed Consent Statement
Data Availability Statement
Conflicts of Interest
References
- Biomarkers in Risk Assessment: Validity and Validation (EHC 222, 2001). Available online: https://www.inchem.org/documents/ehc/ehc/ehc222.htm (accessed on 11 December 2024).
- McKeon, H.P.; Schepens, M.A.A.; van den Brand, A.D.; de Jong, M.H.; van Gelder, M.M.H.J.; Hesselink, M.L.; Sopel, M.M.; Mengelers, M.J.B. Assessment of Mycotoxin Exposure and Associated Risk in Pregnant Dutch Women: The Human Biomonitoring Approach. Toxins 2024, 16, 278. [Google Scholar] [CrossRef]
- Garsow, A.V.; Torres, O.R.; Matute, J.A.; Voss, D.M.; Miyagusuku-Cruzado, G.; Giusti, M.M.; Kowalcyk, B.B. Dietary, Socioeconomic, and Maize Handling Practices Associated with Aflatoxin and Fumonisin Exposure among Women Tortilla Makers in 5 Departments in Guatemala. PLoS Glob. Public Health 2024, 4, e0001623. [Google Scholar] [CrossRef] [PubMed]
- Kyei, N.N.A.; Cramer, B.; Humpf, H.-U.; Degen, G.H.; Ali, N.; Gabrysch, S. Assessment of Multiple Mycotoxin Exposure and Its Association with Food Consumption: A Human Biomonitoring Study in a Pregnant Cohort in Rural Bangladesh. Arch. Toxicol. 2022, 96, 2123–2138. [Google Scholar] [CrossRef] [PubMed]
- Szabó-Fodor, J.; Szeitzné-Szabó, M.; Bóta, B.; Schieszl, T.; Angeli, C.; Gambacorta, L.; Solfrizzo, M.; Szabó, A.; Kovács, M. Assessment of Human Mycotoxin Exposure in Hungary by Urinary Biomarker Determination and the Uncertainties of the Exposure Calculation: A Case Study. Foods 2021, 11, 15. [Google Scholar] [CrossRef]
- Papatsiros, V.G.; Stylianaki, I.; Tsekouras, N.; Papakonstantinou, G.; Gómez-Nicolau, N.S.; Letsios, M.; Papaioannou, N. Exposure Biomarkers and Histopathological Analysis in Pig Liver After Exposure to Mycotoxins Under Field Conditions: Special Report on Fumonisin B1. Foodborne Pathog. Dis. 2021, 18, 315–321. [Google Scholar] [CrossRef]
- Hort, V.; Nicolas, M.; Travel, A.; Jondreville, C.; Maleix, C.; Baéza, E.; Engel, E.; Guérin, T. Carry-over Assessment of Fumonisins and Zearalenone to Poultry Tissues after Exposure of Chickens to a Contaminated Diet—A Study Implementing Stable-Isotope Dilution Assay and UHPLC-MS/MS. Food Control 2020, 107, 106789. [Google Scholar] [CrossRef]
- Bonerba, E.; Manfredi, A.; Dimuccio, M.M.; Lorusso, P.; Pandiscia, A.; Terio, V.; Di Pinto, A.; Panseri, S.; Ceci, E.; Bozzo, G. Ochratoxin A in Poultry Supply Chain: Overview of Feed Occurrence, Carry-Over, and Pathognomonic Lesions in Target Organs to Promote Food Safety. Toxins 2024, 16, 487. [Google Scholar] [CrossRef]
- Multi-Mycotoxin Occurrence in Feed, Metabolism and Carry-Over to Animal-Derived Food Products: A Review—PubMed. Available online: https://pubmed.ncbi.nlm.nih.gov/34762978/ (accessed on 21 January 2025).
- EFSA; Knutsen, H.; Alexander, J.; Barregård, L.; Bignami, M.; Brüschweiler, B.; Ceccatelli, S.; Cottrill, B.; Dinovi, M.; Edler, L.; et al. Risks for Animal Health Related to the Presence of Fumonisins, Their Modified Forms and Hidden Forms in Feed. EFSA J. 2018, 16, e05242. [Google Scholar] [CrossRef]
- EFSA. Opinion of the Scientific Panel on Contaminants in Food Chain on a Request from the Commission Related to Fumonisins as Undesirable Substances in Animal Feed. EFSA J. 2004, 101, 1–36. [Google Scholar]
- EFSA Panel on Contaminants in the Food Chain (CONTAM); Schrenk, D.; Bignami, M.; Bodin, L.; Chipman, J.K.; Del Mazo, J.; Grasl-Kraupp, B.; Hogstrand, C.; Leblanc, J.-C.; Nielsen, E.; et al. Assessment of Information as Regards the Toxicity of Fumonisins for Pigs, Poultry and Horses. EFSA J. 2022, 20, e07534. [Google Scholar] [CrossRef]
- Chen, J.; Wen, J.; Tang, Y.; Shi, J.; Mu, G.; Yan, R.; Cai, J.; Long, M. Research Progress on Fumonisin B1 Contamination and Toxicity: A Review. Molecules 2021, 26, 5238. [Google Scholar] [CrossRef]
- Gao, Z.; Luo, K.; Zhu, Q.; Peng, J.; Liu, C.; Wang, X.; Li, S.; Zhang, H. The Natural Occurrence, Toxicity Mechanisms and Management Strategies of Fumonisin B1:A Review. Environ. Pollut. 2023, 320, 121065. [Google Scholar] [CrossRef] [PubMed]
- WHO|JECFA. Available online: https://apps.who.int/food-additives-contaminants-jecfa-database/Home/Chemical/2038 (accessed on 3 December 2024).
- Program, H.F. Mycotoxins. FDA. 2024. Available online: https://www.fda.gov/regulatory-information/search-fda-guidance-documents/guidance-industry-fumonisin-levels-human-foods-and-animal-feeds (accessed on 3 December 2024).
- Prelusky, D.B.; Miller, J.D.; Trenholm, H.L. Disposition of 14C-Derived Residues in Tissues of Pigs Fed Radiolabelled Fumonisin B1. Food Addit. Contam. 1996, 13, 155–162. [Google Scholar] [CrossRef]
- Guerre, P. Fusariotoxins in Avian Species: Toxicokinetics, Metabolism and Persistence in Tissues. Toxins 2015, 7, 2289–2305. [Google Scholar] [CrossRef] [PubMed]
- Schelstraete, W.; Devreese, M.; Croubels, S. Comparative Toxicokinetics of Fusarium Mycotoxins in Pigs and Humans. Food Chem. Toxicol. 2020, 137, 111140. [Google Scholar] [CrossRef]
- Laurain, J.; Tardieu, D.; Matard-Mann, M.; Rodriguez, M.A.; Guerre, P. Fumonisin B1 Accumulates in Chicken Tissues over Time and This Accumulation Was Reduced by Feeding Algo-Clay. Toxins 2021, 13, 701. [Google Scholar] [CrossRef] [PubMed]
- Tardieu, D.; Travel, A.; Le Bourhis, C.; Metayer, J.-P.; Mika, A.; Cleva, D.; Boissieu, C.; Guerre, P. Fumonisins and Zearalenone Fed at Low Levels Can Persist Several Days in the Liver of Turkeys and Broiler Chickens after Exposure to the Contaminated Diet Was Stopped. Food Chem. Toxicol. 2021, 148, 111968. [Google Scholar] [CrossRef] [PubMed]
- Riley, R.T.; Merrill, A.H. Ceramide Synthase Inhibition by Fumonisins: A Perfect Storm of Perturbed Sphingolipid Metabolism, Signaling, and Disease. J. Lipid Res. 2019, 60, 1183–1189. [Google Scholar] [CrossRef]
- Haschek, W.M.; Gumprecht, L.A.; Smith, G.; Tumbleson, M.E.; Constable, P.D. Fumonisin Toxicosis in Swine: An Overview of Porcine Pulmonary Edema and Current Perspectives. Environ. Health Perspect. 2001, 109 (Suppl. S2), 251–257. [Google Scholar] [CrossRef]
- Riley, R.T.; An, N.H.; Showker, J.L.; Yoo, H.S.; Norred, W.P.; Chamberlain, W.J.; Wang, E.; Merrill, A.H.; Motelin, G.; Beasley, V.R.; et al. Alteration of Tissue and Serum Sphinganine to Sphingosine Ratio: An Early Biomarker of Exposure to Fumonisin-Containing Feeds in Pigs. Toxicol. Appl. Pharmacol. 1993, 118, 105–112. [Google Scholar] [CrossRef]
- Lassallette, E.; Collén, P.N.; Guerre, P. Targeted Sphingolipidomics Indicates Increased C22-C24:16 Ratios of Virtually All Assayed Classes in Liver, Kidney, and Plasma of Fumonisin-Fed Chickens. Ecotoxicol. Environ. Saf. 2023, 268, 115697. [Google Scholar] [CrossRef]
- Riley, R.T.; Torres, O.; Matute, J.; Gregory, S.G.; Ashley-Koch, A.E.; Showker, J.L.; Mitchell, T.; Voss, K.A.; Maddox, J.R.; Gelineau-van Waes, J.B. Evidence for Fumonisin Inhibition of Ceramide Synthase in Humans Consuming Maize-Based Foods and Living in High Exposure Communities in Guatemala. Mol. Nutr. Food Res. 2015, 59, 2209–2224. [Google Scholar] [CrossRef] [PubMed]
- Riley, R.T.; Showker, J.L.; Lee, C.M.; Zipperer, C.E.; Mitchell, T.R.; Voss, K.A.; Zitomer, N.C.; Torres, O.; Matute, J.; Gregory, S.G.; et al. A Blood Spot Method for Detecting Fumonisin-Induced Changes in Putative Sphingolipid Biomarkers in LM/Bc Mice and Humans. Food Addit. Contam. Part A Chem. Anal. Control Expo. Risk Assess. 2015, 32, 934–949. [Google Scholar] [CrossRef] [PubMed]
- Tardieu, D.; Matard-Mann, M.; Collén, P.N.; Guerre, P. Strong Alterations in the Sphingolipid Profile of Chickens Fed a Dose of Fumonisins Considered Safe. Toxins 2021, 13, 770. [Google Scholar] [CrossRef] [PubMed]
- Guerre, P.; Lassallette, E.; Beaujardin-Daurian, U.; Travel, A. Fumonisins Alone or Mixed with Other Fusariotoxins Increase the C22–24:C16 Sphingolipid Ratios in Chicken Livers, While Deoxynivalenol and Zearalenone Have No Effect. Chemico-Biol. Interact. 2024, 395, 111005. [Google Scholar] [CrossRef] [PubMed]
- Burel, C.; Tanguy, M.; Guerre, P.; Boilletot, E.; Cariolet, R.; Queguiner, M.; Postollec, G.; Pinton, P.; Salvat, G.; Oswald, I.P.; et al. Effect of Low Dose of Fumonisins on Pig Health: Immune Status, Intestinal Microbiota and Sensitivity to Salmonella. Toxins 2013, 5, 841–864. [Google Scholar] [CrossRef] [PubMed]
- Loiseau, N.; Polizzi, A.; Dupuy, A.; Therville, N.; Rakotonirainy, M.; Loy, J.; Viadere, J.-L.; Cossalter, A.-M.; Bailly, J.-D.; Puel, O.; et al. New Insights into the Organ-Specific Adverse Effects of Fumonisin B1: Comparison between Lung and Liver. Arch. Toxicol. 2015, 89, 1619–1629. [Google Scholar] [CrossRef]
- Masching, S.; Naehrer, K.; Schwartz-Zimmermann, H.-E.; Sărăndan, M.; Schaumberger, S.; Dohnal, I.; Nagl, V.; Schatzmayr, D. Gastrointestinal Degradation of Fumonisin B1 by Carboxylesterase FumD Prevents Fumonisin Induced Alteration of Sphingolipid Metabolism in Turkey and Swine. Toxins 2016, 8, 84. [Google Scholar] [CrossRef] [PubMed]
- Terciolo, C.; Bracarense, A.P.; Souto, P.C.M.C.; Cossalter, A.-M.; Dopavogui, L.; Loiseau, N.; Oliveira, C.A.F.; Pinton, P.; Oswald, I.P. Fumonisins at Doses below EU Regulatory Limits Induce Histological Alterations in Piglets. Toxins 2019, 11, 548. [Google Scholar] [CrossRef] [PubMed]
- Rao, Z.-X.; Tokach, M.D.; Dritz, S.S.; Woodworth, J.C.; DeRouchey, J.M.; Goodband, R.D.; Calderon, H.I. Efficacy of Commercial Products on Nursery Pig Growth Performance Fed Diets with Fumonisin Contaminated Corn. Transl. Anim. Sci. 2020, 4, txaa217. [Google Scholar] [CrossRef]
- Neckermann, K.; Antonissen, G.; Doupovec, B.; Schatzmayr, D.; Gathumbi, J.; Delcenserie, V.; Uhlig, S.; Croubels, S. Efficacy of Fumonisin Esterase in Piglets as Animal Model for Fumonisin Detoxification in Humans: Pilot Study Comparing Intraoral to Intragastric Administration. Toxins 2022, 14, 136. [Google Scholar] [CrossRef] [PubMed]
- Wang, Z.; Lv, Z.; Czabany, T.; Nagl, V.; Krska, R.; Wang, X.; Han, B.; Tao, H.; Liu, J.; Wang, J. Comparison Study of Two Fumonisin-Degrading Enzymes for Detoxification in Piglets. Toxins 2023, 16, 3. [Google Scholar] [CrossRef] [PubMed]
- He, Q.; Riley, R.T.; Sharma, R.P. Myriocin Prevents Fumonisin B1-Induced Sphingoid Base Accumulation in Mice Liver without Ameliorating Hepatotoxicity. Food Chem. Toxicol. 2005, 43, 969–979. [Google Scholar] [CrossRef] [PubMed]
- Chiffres et Analyses|Agreste, La Statistique Agricole. Available online: https://draaf.pays-de-la-loire.agriculture.gouv.fr/IMG/pdf/etudes_2024__ra2020_porcins_pdl.pdf (accessed on 22 January 2025).
- Benthem de Grave, X.; Saltzmann, J.; Laurain, J.; Rodriguez, M.A.; Molist, F.; Dänicke, S.; Santos, R.R. The Ability of an Algoclay-Based Mycotoxin Decontaminant to Decrease the Serum Levels of Zearalenone and Its Metabolites in Lactating Sows. Front. Vet. Sci. 2021, 8, 704796. [Google Scholar] [CrossRef] [PubMed]
- Frobose, H.L.; Erceg, J.A.; Fowler, S.Q.; Tokach, M.D.; DeRouchey, J.M.; Woodworth, J.C.; Dritz, S.S.; Goodband, R.D. The Progression of Deoxynivalenol-Induced Growth Suppression in Nursery Pigs and the Potential of an Algae-Modified Montmorillonite Clay to Mitigate These Effects. J. Anim. Sci. 2016, 94, 3746–3759. [Google Scholar] [CrossRef] [PubMed]
- Zomborszky-Kovács, M.; Kovács, F.; Horn, P.; Vetési, F.; Repa, I.; Tornyos, G.; Tóth, Á. Investigations into the Time- and Dose-Dependent Effect of Fumonisin B1 in Order to Determine Tolerable Limit Values in Pigs. Livest. Prod. Sci. 2002, 76, 251–256. [Google Scholar] [CrossRef]
- Schwartz-Zimmermann, H.E.; Hartinger, D.; Doupovec, B.; Gruber-Dorninger, C.; Aleschko, M.; Schaumberger, S.; Nagl, V.; Hahn, I.; Berthiller, F.; Schatzmayr, D.; et al. Application of Biomarker Methods to Investigate FUMzyme Mediated Gastrointestinal Hydrolysis of Fumonisins in Pigs. World Mycotoxin J. 2018, 11, 201–214. [Google Scholar] [CrossRef]
- Guerre, P.; Matard-Mann, M.; Nyvall Collén, P. Targeted Sphingolipid Analysis in Chickens Suggests Different Mechanisms of Fumonisin Toxicity in Kidney, Lung, and Brain. Food Chem. Toxicol. 2022, 170, 113467. [Google Scholar] [CrossRef] [PubMed]
- Riley, R.T.; Voss, K.A. Differential Sensitivity of Rat Kidney and Liver to Fumonisin Toxicity: Organ-Specific Differences in Toxin Accumulation and Sphingoid Base Metabolism. Toxicol. Sci. 2006, 92, 335–345. [Google Scholar] [CrossRef] [PubMed]
- Wang, E.; Norred, W.P.; Bacon, C.W.; Riley, R.T.; Merrill, A.H. Inhibition of Sphingolipid Biosynthesis by Fumonisins. Implications for Diseases Associated with Fusarium Moniliforme. J. Biol. Chem. 1991, 266, 14486–14490. [Google Scholar] [CrossRef]
- Merrill, A.H. Sphingolipid and Glycosphingolipid Metabolic Pathways in the Era of Sphingolipidomics. Chem. Rev. 2011, 111, 6387–6422. [Google Scholar] [CrossRef] [PubMed]
- Mullen, T.D.; Hannun, Y.A.; Obeid, L.M. Ceramide Synthases at the Centre of Sphingolipid Metabolism and Biology. Biochem. J. 2012, 441, 789–802. [Google Scholar] [CrossRef]
- Cingolani, F.; Futerman, A.H.; Casas, J. Ceramide Synthases in Biomedical Research. Chem. Phys. Lipids 2016, 197, 25–32. [Google Scholar] [CrossRef] [PubMed]
- Tran, S.T.; Tardieu, D.; Auvergne, A.; Bailly, J.D.; Babilé, R.; Durand, S.; Benard, G.; Guerre, P. Serum Sphinganine and the Sphinganine to Sphingosine Ratio as a Biomarker of Dietary Fumonisins during Chronic Exposure in Ducks. Chem. Biol. Interact. 2006, 160, 41–50. [Google Scholar] [CrossRef] [PubMed]
- Mitchell, N.J.; Xue, K.S.; Lin, S.; Marroquin-Cardona, A.; Brown, K.A.; Elmore, S.E.; Tang, L.; Romoser, A.; Gelderblom, W.C.A.; Wang, J.-S.; et al. Calcium Montmorillonite Clay Reduces AFB1 and FB1 Biomarkers in Rats Exposed to Single and Co-Exposures of Aflatoxin and Fumonisin. J. Appl. Toxicol. 2014, 34, 795–804. [Google Scholar] [CrossRef] [PubMed]
- Robinson, A.; Johnson, N.M.; Strey, A.; Taylor, J.F.; Marroquin-Cardona, A.; Mitchell, N.J.; Afriyie-Gyawu, E.; Ankrah, N.A.; Williams, J.H.; Wang, J.S.; et al. Calcium Montmorillonite Clay Reduces Urinary Biomarkers of Fumonisin B1 Exposure in Rats and Humans. Food Addit. Contam. Part A Chem. Anal. Control Expo. Risk Assess. 2012, 29, 809–818. [Google Scholar] [CrossRef] [PubMed]
- Gumprecht, L.A.; Smith, G.W.; Constable, P.C.; Haschek, W.M. Species and Organ Specificity of Fumonisin-Induced Endothelial Alterations: Potential Role in Porcine Pulmonary Edema. Toxicology 2001, 160, 71–79. [Google Scholar] [CrossRef] [PubMed]
- Guerre, P.; Travel, A.; Tardieu, D. Targeted Analysis of Sphingolipids in Turkeys Fed Fusariotoxins: First Evidence of Key Changes That Could Help Explain Their Relative Resistance to Fumonisin Toxicity. Int. J. Mol. Sci. 2022, 23, 2512. [Google Scholar] [CrossRef] [PubMed]
- Guerre, P.; Gilleron, C.; Matard-Mann, M.; Nyvall Collén, P. Targeted Sphingolipid Analysis in Heart, Gizzard, and Breast Muscle in Chickens Reveals Possible New Target Organs of Fumonisins. Toxins 2022, 14, 828. [Google Scholar] [CrossRef]
- Hartmann, D.; Wegner, M.-S.; Wanger, R.A.; Ferreirós, N.; Schreiber, Y.; Lucks, J.; Schiffmann, S.; Geisslinger, G.; Grösch, S. The Equilibrium between Long and Very Long Chain Ceramides Is Important for the Fate of the Cell and Can Be Influenced by Co-Expression of CerS. Int. J. Biochem. Cell Biol. 2013, 45, 1195–1203. [Google Scholar] [CrossRef] [PubMed]
- Sugawara, T. Sphingolipids as Functional Food Components: Benefits in Skin Improvement and Disease Prevention. J. Agric. Food Chem. 2022, 70, 9597–9609. [Google Scholar] [CrossRef] [PubMed]
- Lachkar, F.; Ferré, P.; Foufelle, F.; Papaioannou, A. Dihydroceramides: Their Emerging Physiological Roles and Functions in Cancer and Metabolic Diseases. Am. J. Physiol. Endocrinol. Metab. 2021, 320, E122–E130. [Google Scholar] [CrossRef]
- Schwartz, N.U.; Mileva, I.; Gurevich, M.; Snider, J.; Hannun, Y.A.; Obeid, L.M. Quantifying 1-Deoxydihydroceramides and 1-Deoxyceramides in Mouse Nervous System Tissue. Prostaglandins Other Lipid Mediat. 2019, 141, 40–48. [Google Scholar] [CrossRef] [PubMed]
- Jojima, K.; Kihara, A. Metabolism of Sphingadiene and Characterization of the Sphingadiene-Producing Enzyme FADS3. Biochim. Biophys. Acta Mol. Cell Biol. Lipids 2023, 1868, 159335. [Google Scholar] [CrossRef] [PubMed]
- Mashima, R.; Okuyama, T.; Ohira, M. Biosynthesis of Long Chain Base in Sphingolipids in Animals, Plants and Fungi. Future Sci. OA 2019, 6, FSO434. [Google Scholar] [CrossRef]
- Grösch, S.; Schiffmann, S.; Geisslinger, G. Chain Length-Specific Properties of Ceramides. Prog. Lipid Res. 2012, 51, 50–62. [Google Scholar] [CrossRef] [PubMed]
- Tardieu, D.; Tran, S.T.; Auvergne, A.; Babilé, R.; Benard, G.; Bailly, J.D.; Guerre, P. Effects of Fumonisins on Liver and Kidney Sphinganine and the Sphinganine to Sphingosine Ratio during Chronic Exposure in Ducks. Chem. Biol. Interact. 2006, 160, 51–60. [Google Scholar] [CrossRef] [PubMed]
- Pewzner-Jung, Y.; Park, H.; Laviad, E.L.; Silva, L.C.; Lahiri, S.; Stiban, J.; Erez-Roman, R.; Brügger, B.; Sachsenheimer, T.; Wieland, F.; et al. A Critical Role for Ceramide Synthase 2 in Liver Homeostasis: I. Alterations in Lipid Metabolic Pathways. J. Biol. Chem. 2010, 285, 10902–10910. [Google Scholar] [CrossRef] [PubMed]
- Pewzner-Jung, Y.; Brenner, O.; Braun, S.; Laviad, E.L.; Ben-Dor, S.; Feldmesser, E.; Horn-Saban, S.; Amann-Zalcenstein, D.; Raanan, C.; Berkutzki, T.; et al. A Critical Role for Ceramide Synthase 2 in Liver Homeostasis: II. Insights into Molecular Changes Leading to Hepatopathy. J. Biol. Chem. 2010, 285, 10911–10923. [Google Scholar] [CrossRef] [PubMed]
- Li, M.; Liu, S.; Tan, L.; Luo, Y.; Gao, Z.; Liu, J.; Wu, Y.; Fan, W.; DeSaeger, S.; Song, S. Fumonisin B1 Induced Intestinal Epithelial Barrier Damage through Endoplasmic Reticulum Stress Triggered by the Ceramide Synthase 2 Depletion. Food Chem. Toxicol. 2022, 166, 113263. [Google Scholar] [CrossRef]
- Ho, Q.W.C.; Zheng, X.; Ali, Y. Ceramide Acyl Chain Length and Its Relevance to Intracellular Lipid Regulation. Int. J. Mol. Sci. 2022, 23, 9697. [Google Scholar] [CrossRef]
- Liang, L.; Li, D.; Zeng, R.; Zhang, H.; Lv, L.; Wei, W.; Wan, Z. Long- and Very Long-Chain Ceramides Are Predictors of Acute Kidney Injury in Patients with Acute Coronary Syndrome: The PEACP Study. Cardiovasc. Diabetol. 2023, 22, 92. [Google Scholar] [CrossRef] [PubMed]
- Lavrynenko, O.; Titz, B.; Dijon, S.; Santos, D.D.; Nury, C.; Schneider, T.; Guedj, E.; Szostak, J.; Kondylis, A.; Phillips, B.; et al. Ceramide Ratios Are Affected by Cigarette Smoke but Not Heat-Not-Burn or e-Vapor Aerosols across Four Independent Mouse Studies. Life Sci. 2020, 263, 118753. [Google Scholar] [CrossRef] [PubMed]
- ANSES_GuideValidation.Pdf. Available online: https://www.anses.fr/fr/system/files/ANSES_GuideValidation.pdf (accessed on 19 December 2018).
- Tardieu, D.; Travel, A.; Metayer, J.-P.; Le Bourhis, C.; Guerre, P. Fumonisin B1, B2 and B3 in Muscle and Liver of Broiler Chickens and Turkey Poults Fed with Diets Containing Fusariotoxins at the EU Maximum Tolerable Level. Toxins 2019, 11, E590. [Google Scholar] [CrossRef] [PubMed]
- Shaner, R.L.; Allegood, J.C.; Park, H.; Wang, E.; Kelly, S.; Haynes, C.A.; Sullards, M.C.; Merrill, A.H. Quantitative Analysis of Sphingolipids for Lipidomics Using Triple Quadrupole and Quadrupole Linear Ion Trap Mass Spectrometers. J. Lipid Res. 2009, 50, 1692–1707. [Google Scholar] [CrossRef] [PubMed]
- Gu, H.; Liu, G.; Wang, J.; Aubry, A.-F.; Arnold, M.E. Selecting the Correct Weighting Factors for Linear and Quadratic Calibration Curves with Least-Squares Regression Algorithm in Bioanalytical LC-MS/MS Assays and Impacts of Using Incorrect Weighting Factors on Curve Stability, Data Quality, and Assay Performance. Anal. Chem. 2014, 86, 8959–8966. [Google Scholar] [CrossRef]






| Performance | Con | AC 4 d | AC 9 d | AC 14 d | FB 4 d | FB 9 d | FB 14 d | FB + AC 4 d | FB + AC 9 d | FB + AC 14 d |
|---|---|---|---|---|---|---|---|---|---|---|
| BW D1 (kg) | 7.06 ± 1.21 | 7.04 ± 1.32 | 7.28 ± 1.69 | 6.95 ± 1.4 | 7.22 ± 1.59 | 7.06 ± 1.18 | 6.79 ± 0.76 | 7.32 ± 1.02 | 7.24 ± 1.52 | 7.41 ± 0.93 |
| BW D13 (kg) | 11.2 ± 2.0 | 10.7 ± 2.6 | 11.1 ± 3.7 | 10.3 ± 2.0 | 11.4 ± 3.3 | 11.1 ± 2.4 | 11.4 ± 1.0 | 11.2 ± 1.7 | 10.4 ± 2.6 | 10.9 ± 2.7 |
| FI (kg) | 33.8 | 33.8 | 34.6 | 35.1 | 40.8 | 43.1 | 39 | 38.6 | 43.2 | 38 |
| Liver (g) | 424 ± 98 | 488 ± 134 | 479 ± 133 | 424 ± 144 | 433 ± 149 | 499 ± 128 | 458 ± 25 | 404 ± 56 | 432 ± 122 | 399 ± 123 |
| Kidney (g) | 61.1 ± 10.3 | 71.9 ± 10.9 | 77.1 ± 23.1 | 66.8 ± 14.9 | 70.7 ± 15.5 | 70.2 ± 9.2 | 65 ± 11.4 | 66.6 ± 11.6 | 62 ± 16.9 | 63.5 ± 12.8 |
| Liver (%) | 3.76 ± 0.34 ab | 4.56 ± 0.35 a | 4.38 ± 0.51 ab | 4.06 ± 0.76 ab | 3.76 ± 0.58 ab | 4.5 ± 0.35 ab | 4.04 ± 0.37 ab | 3.62 ± 0.1 b | 4.12 ± 0.32 ab | 3.64 ± 0.5 b |
| Kidney (%) | 0.55 ± 0.06 | 0.69 ± 0.09 | 0.7 ± 0.08 | 0.65 ± 0.11 | 0.64 ± 0.1 | 0.65 ± 0.11 | 0.57 ± 0.08 | 0.58 ± 0.03 | 0.59 ± 0.04 | 0.59 ± 0.05 |
| Groups | Con | AC 4d | AC 9 d | AC 14 d | FB 4 d | FB 9 d | FB 14 d | FB + AC 4 d | FB + AC 9 d | FB + AC 14 d |
|---|---|---|---|---|---|---|---|---|---|---|
| Total protein (g/L) | 57.5 ± 7.5 abc | 61.4 ± 3.3 abc | 53.6 ± 14.5 bc | 49.6 ± 5.4 c | 53.8 ± 4.3 bc | 69.4 ± 5.7 a | 57.9 ± 1.5 bc | 59.2 ± 4.2 abc | 63.5 ± 5.4 ab | 61.9 ± 17.1 ab |
| Albumin (g/L) | 34.8 ± 2.2 b | 36.8 ± 3.1 ab | 35.1 ± 2.2 b | 33.1 ± 3.9 b | 33.4 ± 4.2 b | 42.1 ± 3 a | 35.8 ± 1.2 b | 31.8 ± 6.2 b | 32.9 ± 11.4 b | 33.5 ± 3.9 b |
| Cholesterol (mmol/L) | 2.82 ± 0.59 bc | 2.88 ± 0.4 bc | 3.17 ± 0.56 b | 2.41 ± 0.34 c | 2.82 ± 0.49 bc | 3.83 ± 0.8 a | 2.9 ± 0.46 bc | 3.06 ± 0.32 bc | 2.87 ± 0.42 bc | 2.88 ± 0.37 bc |
| Triglycerides (mmol/L) | 0.81 ± 0.24 | 0.94 ± 0.31 | 0.66 ± 0.46 | 0.67 ± 0.08 | 0.57 ± 0.2 | 1.26 ± 0.4 | 1.12 ± 0.55 | 0.7 ± 0.11 | 1.11 ± 0.63 | 0.65 ± 0.37 |
| Urea (mmol/L) | 2.92 ± 1 b | 2.43 ± 1.05 b | 3.82 ± 2.5 ab | 2.85 ± 1.34 b | 2.74 ± 1.04 b | 3.26 ± 1.57 b | 2.58 ± 0.86 b | 2.77 ± 0.97 b | 5.06 ± 2.25 a | 4.09 ± 0.75 ab |
| Creatinine (µmol/L) | 81.7 ± 14 b | 73.2 ± 10.5 b | 87.9 ± 20.8 ab | 81.9 ± 43.1 b | 73 ± 16 b | 86.2 ± 7.4 ab | 68.9 ± 8.8 b | 77.1 ± 12.6 b | 109 ± 30 a | 82.5 ± 17.1 b |
| LDH (UI) | 1394 ± 224 ab | 1359 ± 226 ab | 1145 ± 348 b | 1278 ± 180 ab | 1293 ± 216 ab | 1632 ± 332 a | 1423 ± 316 ab | 1334 ± 349 ab | 1573 ± 326 a | 1443 ± 157 ab |
| ASAT (UI) | 42.8 ± 9.4 | 51.2 ± 8.6 | 42.1 ± 4.8 | 42.2 ± 8.1 | 46 ± 5.9 | 52 ± 5.3 | 56.2 ± 23.1 | 50.6 ± 2.2 | 57.4 ± 17.3 | 46 ± 13.6 |
| ALAT (UI) | 32.7 ± 2.1 abc | 35.1 ± 8.9 abc | 31.2 ± 6.3 bc | 32.1 ± 6 abc | 34.7 ± 7.1 abc | 37.9 ± 7.8 ab | 36.7 ± 5.2 ab | 28.8 ± 3.2 c | 39.7 ± 5.9 a | 31.3 ± 3.8 bc |
| ALP (UI) | 868 ± 194 ab | 1067 ± 207 a | 709 ± 262 bc | 682 ± 182 bc | 719 ± 175 bc | 823 ± 215 ab | 638 ± 201 bc | 637 ± 111 bc | 821 ± 217 ab | 562 ± 162 c |
| CPK (UI) | 590 ± 482 c | 1695 ± 1135 a | 471 ± 203 c | 622 ± 344 bc | 460 ± 36 c | 712 ± 265 bc | 829 ± 633 bc | 576 ± 116 bc | 1306 ± 1091 ab | 442 ± 128 c |
| Analytes | Con | AC 4 d | AC 9 d | AC 14 d | FB 4 d | FB 9 d | FB 14 d | FB + AC 4 d | FB + AC 9 d | FB + AC 14 d | p-Value |
|---|---|---|---|---|---|---|---|---|---|---|---|
| FB1 (ng/g of liver) | ND | ND | ND | ND | 1.90 ± 0.93 | 2.18 ± 1.41 | 2.65 ± 1.05 | 1.37 ± 0.60 | 2.72 ± 0.93 | 2.24 ± 1.36 | 0.140 |
| Sa:So | 0.04 ± 0.01 c | 0.05 ± 0.01 c | 0.04 ± 0.01 c | 0.06 ± 0.02 bc | 0.05 ± 0.01 c | 0.09 ± 0.02 ab | 0.12 ± 0.01 a | 0.06 ± 0.01 bc | 0.09 ± 0.03 ab | 0.14 ± 0.06 a | <0.001 |
| 18:1/16:0 | 68.9 ± 12.2 a | 73.9 ± 20.4 a | 79.5 ± 6.6 a | 67.6 ± 13.4 a | 74.1 ± 10.4 a | 86.6 ± 11.5 a | 47.2 ± 11.2 b | 80.5 ± 19 a | 85.1 ± 19.1 a | 71.8 ± 27.7 a | 0.001 |
| 18:2/16:0 | 3.07 ± 0.66 a | 4.07 ± 1.25 a | 4.55 ± 0.57 a | 3.34 ± 0.62 a | 3.66 ± 0.9 a | 4.3 ± 1.22 a | 2.11 ± 0.24 b | 3.96 ± 0.85 a | 4.29 ± 1.12 a | 3.63 ± 1.88 a | 0.001 |
| m18:1/16:0 | 8.4 ± 3.5 | 8.15 ± 2.49 | 8.32 ± 1.49 | 7.26 ± 2.16 | 8.09 ± 1.62 | 9.21 ± 3 | 4.41 ± 1.53 | 8.68 ± 2.72 | 8.9 ± 1.02 | 7.97 ± 3.3 | 0.117 |
| Hex18:1/16:0 | 7.96 ± 0.8 ab | 6.6 ± 1.27 ab | 7.97 ± 2.55 ab | 7.06 ± 1.06 ab | 7.53 ± 1.85 ab | 5.34 ± 1.44 ab | 4.96 ± 0.99 b | 8.72 ± 1.89 a | 6.61 ± 1.41 ab | 6.53 ± 2.92 ab | 0.010 |
| SM18:1/16:0 | 55.5 ± 4.7 | 50.9 ± 11.3 | 54.6 ± 13.6 | 58.5 ± 16.8 | 60.8 ± 10.2 | 45.8 ± 13.4 | 49 ± 11.5 | 62.6 ± 16.4 | 51 ± 14.5 | 60.5 ± 25.4 | 0.618 |
| Sum C22-24 Cer | 139 ± 21 ab | 148 ± 37 ab | 149 ± 17 ab | 147 ± 23 ab | 159 ± 14 ab | 176 ± 24 ab | 125 ± 21 b | 172 ± 26 ab | 183 ± 29 a | 173 ± 61 ab | 0.020 |
| Sum C22-24 d18:2-Cer | 9.4 ± 1.3 ab | 10 ± 2.6 ab | 11.6 ± 2 a | 8.7 ± 2.8 ab | 11.4 ± 2.9 a | 10.8 ± 3.1 a | 6.4 ± 1 b | 10 ± 1.5 ab | 10.8 ± 2.1 a | 9.7 ± 4.4 ab | 0.015 |
| Sum C22-24 m18:1-Cer | 0.6 ± 0.1 | 0.6 ± 0.2 | 0.7 ± 0.1 | 0.8 ± 0.1 | 0.7 ± 0.1 | 0.9 ± 0.3 | 0.6 ± 0.2 | 0.7 ± 0.1 | 0.9 ± 0.1 | 0.8 ± 0.3 | 0.039 |
| Sum C22-24 HexCer | 24.9 ± 2.2 | 21.3 ± 4.1 | 24.3 ± 5.3 | 21.2 ± 3.5 | 24.6 ± 5.3 | 19.6 ± 3.9 | 20.5 ± 3.2 | 25.7 ± 4.2 | 23.3 ± 3.5 | 25.8 ± 9.5 | 0.336 |
| Sum C22-24 SM | 237 ± 45 | 232 ± 76 | 220 ± 83 | 242 ± 80 | 278 ± 61 | 219 ± 67 | 256 ± 77 | 291 ± 90 | 252 ± 95 | 294 ± 140 | 0.659 |
| Sum Cer | 277 ± 45 ab | 288 ± 70 ab | 295 ± 25 ab | 284 ± 42 ab | 309 ± 30 ab | 345 ± 42 a | 233 ± 40 b | 329 ± 53 a | 351 ± 57 a | 316 ± 106 ab | 0.010 |
| Sum d18:2-Cer | 14.4 ± 2.2 ab | 16.4 ± 4.4 a | 19.1 ± 2.3 a | 13.8 ± 3.8 ab | 17.6 ± 4.2 a | 18.2 ± 5.3 a | 9.9 ± 1.3 b | 16.7 ± 2.6 a | 18.3 ± 3.7 a | 16.1 ± 7.6 ab | 0.004 |
| Sum m18:1-Cer | 9.01 ± 3.55 | 8.78 ± 2.61 | 9.04 ± 1.6 | 8.04 ± 2.2 | 8.77 ± 1.66 | 10.1 ± 3.1 | 4.99 ± 1.68 | 9.42 ± 2.78 | 9.77 ± 1.07 | 8.76 ± 3.55 | 0.117 |
| Sum HexCer | 35.1 ± 3.6 | 29.8 ± 5.9 | 34.1 ± 7.7 | 30 ± 4.8 | 34 ± 7.5 | 26.6 ± 5.4 | 27.4 ± 4.4 | 36.9 ± 6.9 | 32 ± 4.9 | 34.1 ± 12.3 | 0.197 |
| Sum SM | 397 ± 67 | 377 ± 115 | 373 ± 129 | 406 ± 126 | 461 ± 95 | 362 ± 108 | 411 ± 110 | 483 ± 144 | 418 ± 146 | 484 ± 227 | 0.630 |
| Ratio C22-24:C16 Cer | 2.03 ± 0.18 bc | 2.03 ± 0.15 bc | 1.88 ± 0.2 c | 2.21 ± 0.22 bc | 2.18 ± 0.27 bc | 2.04 ± 0.15 bc | 2.69 ± 0.3 a | 2.17 ± 0.2 bc | 2.18 ± 0.2 bc | 2.43 ± 0.29 ab | <0.001 |
| Ratio C22-24:C16 d18:2-Cer | 3.1 ± 0.37 | 2.5 ± 0.24 | 2.59 ± 0.57 | 2.58 ± 0.57 | 3.15 ± 0.4 | 2.52 ± 0.21 | 3.04 ± 0.38 | 2.57 ± 0.38 | 2.56 ± 0.27 | 2.76 ± 0.5 | 0.053 |
| Ratio C22-24:C16 m18:1-Cer | 0.08 ± 0.04 b | 0.08 ± 0.02 b | 0.09 ± 0.01 ab | 0.11 ± 0.04 ab | 0.09 ± 0.02 ab | 0.1 ± 0.03 ab | 0.14 ± 0.02 a | 0.09 ± 0.03 ab | 0.1 ± 0.02 ab | 0.1 ± 0.02 ab | 0.024 |
| Ratio C22-24:C16 HexCer | 3.14 ± 0.15 cd | 3.23 ± 0.25 bcd | 3.13 ± 0.44 cd | 3.01 ± 0.26 d | 3.31 ± 0.28 bcd | 3.72 ± 0.36 ab | 4.17 ± 0.38 a | 2.98 ± 0.21 d | 3.6 ± 0.62 abc | 4.22 ± 1.36 a | 0.001 |
| Ratio C22-24:C16 SM | 4.18 ± 0.57 | 4.39 ± 0.73 | 3.86 ± 0.71 | 4.02 ± 0.55 | 4.47 ± 0.49 | 4.67 ± 0.7 | 5.09 ± 0.71 | 4.52 ± 0.46 | 4.78 ± 0.72 | 4.76 ± 0.95 | 0.078 |
| Analytes | Con | AC 4 d | AC 9 d | AC 14 d | FB 4 d | FB 9 d | FB 14 d | FB + AC 4 d | FB + AC 9 d | FB + AC 14 d | p-Value |
|---|---|---|---|---|---|---|---|---|---|---|---|
| FB1 (ng/g of kidney) | ND | ND | ND | ND | ND | ND | 0.50 ± 0.27 a | ND | ND | 0.26 ± 0.1 b | 0.047 |
| Sa:So | 0.1 ± 0.03 bc | 0.09 ± 0.01 c | 0.09 ± 0.02 c | 0.12 ± 0.02 abc | 0.13 ± 0.03 ab | 0.1 ± 0.03 bc | 0.16 ± 0.05 a | 0.09 ± 0.01 c | 0.09 ± 0.01 c | 0.13 ± 0.04 ab | 0.002 |
| 18:1/16:0 | 120 ± 24 a | 99 ± 13 a | 108 ± 25 a | 94 ± 9 a | 101 ± 20 a | 104 ± 9 a | 71 ± 12 b | 101 ± 16 a | 95 ± 16 a | 89 ± 17 a | 0.003 |
| 18:2/16:0 | 2.86 ± 0.69 | 2.73 ± 0.41 | 3.1 ± 0.82 | 2.66 ± 0.44 | 2.71 ± 0.45 | 2.66 ± 0.53 | 2 ± 0.38 | 2.48 ± 0.43 | 2.48 ± 0.45 | 2.32 ± 0.5 | 0.060 |
| Hex18:1/16:0 | 3.8 ± 1.31 | 4.08 ± 0.64 | 3.52 ± 0.55 | 3.23 ± 0.7 | 3.25 ± 0.25 | 3.8 ± 1.13 | 2.77 ± 0.63 | 3.32 ± 0.97 | 3.38 ± 0.79 | 3.89 ± 1.03 | 0.304 |
| SM18:1/16:0 | 287 ± 47 | 274 ± 25 | 257 ± 19 | 237 ± 8 | 235 ± 30 | 245 ± 16 | 236 ± 21 | 269 ± 56 | 259 ± 20 | 251 ± 13 | 0.078 |
| Sum C22-24 Cer | 210 ± 35 a | 180 ± 24 abc | 184 ± 56 bc | 183 ± 31 bc | 170 ± 34 c | 213 ± 15 a | 149 ± 17 c | 174 ± 17 bc | 207 ± 33 a | 176 ± 15 bc | <0.001 |
| Sum C22-24 d18:2-Cer | 9.44 ± 3.68 | 7.76 ± 0.2 | 8.2 ± 1.67 | 7.32 ± 1.13 | 7.42 ± 1.86 | 8.53 ± 1.07 | 6.07 ± 1.15 | 7.49 ± 1.58 | 8.54 ± 1.62 | 7.44 ± 1.67 | 0.104 |
| Sum C22-24 HexCer | 36.1 ± 13.5 | 37.5 ± 11.2 | 31.1 ± 6.1 | 31.9 ± 9.4 | 27.7 ± 3.3 | 30.7 ± 6.1 | 25.5 ± 7.2 | 28.2 ± 7.8 | 30.6 ± 7.0 | 35.7 ± 6.0 | 0.294 |
| Sum C22-24 SM | 1584 ± 303 | 1535 ± 159 | 1353 ± 183 | 1281 ± 88 | 1281 ± 235 | 1428 ± 131 | 1455 ± 129 | 1418 ± 269 | 1502 ± 197 | 1462 ± 99 | 0.148 |
| Sum Cer | 463 ± 83 a | 386 ± 47 ab | 397 ± 110 ab | 383 ± 55 ab | 367 ± 67 ab | 432 ± 33 a | 308 ± 44 b | 372 ± 48 ab | 419 ± 65 ab | 366 ± 45 ab | 0.023 |
| Sum d18:2-Cer | 15.2 ± 5 | 12.9 ± 0.5 | 14 ± 2.8 | 12.4 ± 1.6 | 12.7 ± 3.4 | 13.6 ± 1.7 | 10.1 ± 1.9 | 12.6 ± 2.4 | 13.8 ± 2.3 | 12.2 ± 2.5 | 0.106 |
| Sum HexCer | 43.5 ± 16.2 | 45.1 ± 12.4 | 37.4 ± 6.9 | 37.8 ± 10.6 | 33.4 ± 4 | 37.4 ± 7.4 | 30.5 ± 8.5 | 34.2 ± 9.6 | 36.6 ± 8.6 | 42.9 ± 8.2 | 0.276 |
| Sum SM | 2625 ± 438 | 2513 ± 203 | 2229 ± 297 | 2155 ± 113 | 2119 ± 332 | 2324 ± 181 | 2368 ± 166 | 2371 ± 443 | 2465 ± 227 | 2371 ± 114 | 0.157 |
| Ratio C22-24:C16 Cer | 1.78 ± 0.21 cd | 1.82 ± 0.12 bcd | 1.69 ± 0.16 d | 1.94 ± 0.25 abcd | 1.69 ± 0.1 d | 2.05 ± 0.12 abc | 2.12 ± 0.28 ab | 1.74 ± 0.15 cd | 2.18 ± 0.2 a | 2 ± 0.22 abcd | <0.001 |
| Ratio C22-24:C16 d18:2-Cer | 3.3 ± 0.95 | 2.9 ± 0.51 | 2.69 ± 0.25 | 2.78 ± 0.44 | 2.71 ± 0.39 | 3.26 ± 0.4 | 3.03 ± 0.14 | 3.01 ± 0.36 | 3.48 ± 0.43 | 3.21 ± 0.26 | 0.042 |
| Ratio C22-24:C16 HexCer | 9.43 ± 1.08 | 9.1 ± 1.61 | 8.83 ± 0.88 | 9.8 ± 1.2 | 8.5 ± 0.68 | 8.4 ± 1.81 | 9.16 ± 1.39 | 8.56 ± 0.98 | 9.09 ± 0.52 | 9.36 ± 1.15 | 0.625 |
| Ratio C22-24:C16 SM | 5.4 ± 0.3 ab | 5.48 ± 0.44 ab | 5.13 ± 0.39 b | 5.31 ± 0.36 b | 5.31 ± 0.39 b | 5.73 ± 0.35 ab | 6.07 ± 0.41 a | 5.19 ± 0.28 b | 5.68 ± 0.48 ab | 5.74 ± 0.47 ab | 0.005 |
| Analytes | Con | AC 4 d | AC 9 d | AC 14 d | FB 4 d | FB 9 d | FB 14 d | FB + AC 4 d | FB + AC 9 d | FB + AC 14 d | p-Value |
|---|---|---|---|---|---|---|---|---|---|---|---|
| Sa:So | 0.15 ± 0.02 c | 0.14 ± 0.02 c | 0.2 ± 0.05 abc | 0.23 ± 0.09 abc | 0.21 ± 0.06 abc | 0.16 ± 0.02 bc | 0.29 ± 0.06 a | 0.16 ± 0.02 bc | 0.28 ± 0.09 a | 0.24 ± 0.07 ab | <0.001 |
| Sa1P:So1P | 0.2 ± 0.04 bc | 0.2 ± 0.03 bc | 0.22 ± 0.06 bc | 0.26 ± 0.06 abc | 0.23 ± 0.09 bc | 0.19 ± 0.04 c | 0.36 ± 0.06 a | 0.18 ± 0.04 c | 0.3 ± 0.1 abc | 0.32 ± 0.1 ab | <0.001 |
| 18:1/16:0 | 32.9 ± 7.1 bc | 46.3 ± 4.5 a | 35.8 ± 11.6 b | 22.6 ± 4.9 cd | 29.1 ± 7.1 bc | 32.2 ± 4.3 bc | 18.6 ± 2 d | 27.7 ± 6.2 bc | 29 ± 5.1 bc | 25.7 ± 3.5 bc | <0.001 |
| 18:2/16:0 | 1.35 ± 0.32 abc | 1.86 ± 0.27 a | 1.53 ± 0.37 ab | 1.04 ± 0.19 bc | 1.11 ± 0.32 bc | 1.28 ± 0.38 abc | 0.83 ± 0.22 c | 1.0 ± 0.25 bc | 1.02 ± 0.21 bc | 1 ± 0.29 bc | <0.001 |
| Hex18:1/16:0 | 5.85 ± 0.44 a | 5.51 ± 0.38 a | 4.67 ± 1.4 ab | 3.61 ± 0.98 bc | 4.24 ± 1.24 abc | 5.16 ± 0.76 ab | 3.02 ± 0.6 c | 5.6 ± 2.28 ab | 4.19 ± 0.41 abc | 4.61 ± 1.03 ab | <0.001 |
| SM18:1/16:0 | 208 ± 15 a | 182 ± 14 b | 179 ± 22 b | 183 ± 16 b | 177 ± 18 b | 178 ± 17 b | 174 ± 16 b | 174 ± 13 b | 171 ± 12 b | 196 ± 7 ab | 0.012 |
| Sum C22-24 Cer | 78.9 ± 10.0 b | 104 ± 10 a | 77 ± 25 b | 59.4 ± 9.6 b | 69.1 ± 16.1 b | 75.4 ± 9.1 b | 55.6 ± 7.5 b | 72.5 ± 12.5 b | 71.1 ± 15.8 b | 63.9 ± 10.6 b | <0.001 |
| Sum C22-24 d18:2-Cer | 3.31 ± 0.73 ab | 4.1 ± 0.6 a | 3.31 ± 1.06 ab | 2.66 ± 0.56 b | 2.66 ± 0.79 b | 3.15 ± 0.65 ab | 2.24 ± 0.36 b | 2.63 ± 0.54 b | 2.71 ± 0.51 b | 2.86 ± 0.69 ab | 0.007 |
| Sum C22-24 HexCer | 37.7 ± 2.8 ab | 39.9 ± 3.0 a | 32.1 ± 10.5 ab | 26.3 ± 6.8 ab | 32.9 ± 9.5 ab | 34.8 ± 8.2 ab | 25.3 ± 3.9 b | 36.8 ± 10.7 | 26.9 ± 5.5 ab | 32.7 ± 2.9 ab | 0.011 |
| Sum C22-24 SM | 960 ± 144 | 889 ± 47 | 821 ± 217 | 762 ± 93 | 841 ± 131 | 818 ± 121 | 823 ± 135 | 790 ± 68 | 783 ± 108 | 891 ± 49 | 0.267 |
| Sum Cer | 130 ± 18 b | 173 ± 16 a | 131 ± 41 b | 95 ± 15 bc | 114 ± 25 bc | 125 ± 14 b | 87 ± 11 c | 116 ± 19 bc | 115 ± 23 bc | 104 ± 16 bc | <0.001 |
| Sum d18:2-Cer | 5.39 ± 1.17 abc | 6.86 ± 0.93 a | 5.65 ± 1.76 ab | 4.19 ± 0.77 bc | 4.31 ± 1.29 bc | 5.1 ± 1.09 abc | 3.48 ± 0.59 c | 4.13 ± 0.8 bc | 4.31 ± 0.69 bc | 4.43 ± 1.08 bc | <0.001 |
| Sum HexCer | 45.1 ± 3.1 ab | 47.3 ± 3.3 a | 38.2 ± 12.5 ab | 30.9 ± 7.8 b | 38.5 ± 11 ab | 41.6 ± 9.2 ab | 29.4 ± 4.5 b | 44.2 ± 13 ab | 32.2 ± 6.1 ab | 38.7 ± 4.3 ab | 0.006 |
| Sum SM | 1530 ± 214 | 1377 ± 75 | 1290 ± 315 | 1229 ± 156 | 1310 ± 189 | 1292 ± 180 | 1292 ± 199 | 1232 ± 96 | 1227 ± 165 | 1406 ± 70 | 0.165 |
| Ratio C22-24:C16 Cer | 2.47 ± 0.43 ab | 2.25 ± 0.2 b | 2.17 ± 0.36 b | 2.65 ± 0.32 ab | 2.42 ± 0.42 ab | 2.35 ± 0.16 ab | 2.98 ± 0.12 a | 2.68 ± 0.43 ab | 2.45 ± 0.36 ab | 2.48 ± 0.15 ab | 0.009 |
| Ratio C22-24:C16 d18:2-Cer | 2.49 ± 0.49 ab | 2.22 ± 0.22 ab | 2.15 ± 0.32 b | 2.57 ± 0.24 ab | 2.42 ± 0.27 ab | 2.56 ± 0.47 ab | 2.78 ± 0.38 ab | 2.69 ± 0.46 ab | 2.7 ± 0.5 ab | 2.91 ± 0.3 a | 0.035 |
| Ratio C22-24:C16 HexCer | 6.46 ± 0.31 ab | 7.25 ± 0.62 ab | 6.83 ± 0.57 ab | 7.33 ± 0.9 ab | 7.8 ± 1.27 ab | 6.71 ± 0.88 ab | 8.48 ± 0.96 a | 6.9 ± 1.49 ab | 6.38 ± 0.87 b | 7.27 ± 0.98 ab | 0.028 |
| Ratio C22-24:C16 SM | 4.51 ± 0.39 | 4.81 ± 0.38 | 4.44 ± 0.6 | 4.07 ± 0.23 | 4.65 ± 0.38 | 4.5 ± 0.37 | 4.64 ± 0.51 | 4.48 ± 0.24 | 4.49 ± 0.39 | 4.48 ± 0.18 | 0.274 |
| Group Dose 1 | Time (Number) 2 | Tissues | Effect | Ref |
|---|---|---|---|---|
| FB: 5.29 FB + AC: 5.75 | 4, 9, 14 d (n = 6) | Liver, kidney, lung, plasma | FB: FB1 dosed in liver at 4, 9, 14 d, and in kidney at 14 d Sa:So increased at 9 and 14 d in liver and at 14 d in kidney and lung, Sa1P:So1P increased at 14 d in lung and plasma C16-Cer decreased at 14 d in liver, kidney, and lung, C22-24:C16 Cer ratio increased at 14 d in liver and kidney FB + AC: decrease of FB1 by 43% at 4 d and 29% at 14 d in liver, and 45% at 14 d in kidney Sa:So and Sa1P:So1P not different from FB C16-Cer and C22-24:C16 Cer ratio not different from unexposed control | |
| FB: 2 BW | 0 to 24 h (n = 8) | Serum | Increase of Sa:So at 6–24 h | [35] |
| FB: < 1, 5, 23, 39, 101, 175 | 14 d (n =5) | Serum, liver, kidney, lung | Increase of Sa:So in all matrices at 23, 39, 101, and 175 mg/kg feed | [24] |
| FB: 1, 5, 10 | 15 d (n = 5) | Serum | Increase of Sa:So at 5 and 10 mg/kg feed | [41] |
| FB: 2 FB + FumD: 2 | 14, 28, 42 d (n = 35) | Serum | FB: Increase of Sa:So at 28 and 42 days FB + FumD: Sa:So not different from unexposed control | [32] |
| FB: 2.5 FB + clay: 2.5 FB + FUMzyme: 2.5 | 42 d (n = 6) | Serum, liver, kidney, lung | FB: no effect on Sa:So FB + bentonite: increased SaSo in serum and kidney FB + FUMzyme: Sa:So not different from unexposed control | [42] |
| FB: 3.7, 8.1, 12.2 | 28 d (n = 3–6) | Serum | Increase of Sa:So for 3.7 mg/kg feed only | [33] |
| FB: 4.4 FB + FUMzyme: 4.4 FB + FumDSB: 4.4 | 32 d (n = 8) | Serum | FB: Increase of Sa:So FUMzyme: Sa:So decreased by 48.8% FumDSB: Sa:So not different from FB | [36] |
| FB: 7.2, 14.7, 21.9, 32.7, 35.1 | 14, 28 d (n = 9) | Serum | Increase of Sa:So at 14 and 28 days for all doses | [34] |
| FB: 2 BW | 9 d (n = 3) | Liver, lung | Increase of Sa:So in liver and lung Decrease of relative abundance of C16 Cer in liver, decreased of C22-24 Cer in lung | [31] |
| FB: 20 BW | 1, 2, 3, 4 d (n = 4) | Liver, kidney, lung, pancreas | Increased of Sa:So at 1, 2, 3, and 4 days in liver, kidney, lung | [23] |
Disclaimer/Publisher’s Note: The statements, opinions and data contained in all publications are solely those of the individual author(s) and contributor(s) and not of MDPI and/or the editor(s). MDPI and/or the editor(s) disclaim responsibility for any injury to people or property resulting from any ideas, methods, instructions or products referred to in the content. |
© 2025 by the authors. Licensee MDPI, Basel, Switzerland. This article is an open access article distributed under the terms and conditions of the Creative Commons Attribution (CC BY) license (https://creativecommons.org/licenses/by/4.0/).
Share and Cite
Lassallette, E.; Pierron, A.; Tardieu, D.; Reymondaud, S.; Gallissot, M.; Rodriguez, M.A.; Collén, P.N.; Roy, O.; Guerre, P. Biomarkers of Fumonisin Exposure in Pigs Fed the Maximum Recommended Level in Europe. Toxins 2025, 17, 69. https://doi.org/10.3390/toxins17020069
Lassallette E, Pierron A, Tardieu D, Reymondaud S, Gallissot M, Rodriguez MA, Collén PN, Roy O, Guerre P. Biomarkers of Fumonisin Exposure in Pigs Fed the Maximum Recommended Level in Europe. Toxins. 2025; 17(2):69. https://doi.org/10.3390/toxins17020069
Chicago/Turabian StyleLassallette, Elodie, Alix Pierron, Didier Tardieu, Solène Reymondaud, Marie Gallissot, Maria Angeles Rodriguez, Pi Nyvall Collén, Olivier Roy, and Philippe Guerre. 2025. "Biomarkers of Fumonisin Exposure in Pigs Fed the Maximum Recommended Level in Europe" Toxins 17, no. 2: 69. https://doi.org/10.3390/toxins17020069
APA StyleLassallette, E., Pierron, A., Tardieu, D., Reymondaud, S., Gallissot, M., Rodriguez, M. A., Collén, P. N., Roy, O., & Guerre, P. (2025). Biomarkers of Fumonisin Exposure in Pigs Fed the Maximum Recommended Level in Europe. Toxins, 17(2), 69. https://doi.org/10.3390/toxins17020069

