Safety and Effectiveness of OnabotulinumtoxinA in Patients with Laryngeal Dystonia: Final Report of a 52-Week, Multicenter Postmarketing Surveillance Study
Abstract
:1. Introduction
2. Results
2.1. Patient Disposition
2.2. Patient Characteristics
2.3. Safety
2.3.1. Incidence of Adverse Drug Reactions
2.3.2. Incidence of Adverse Drug Reactions of Special Interest
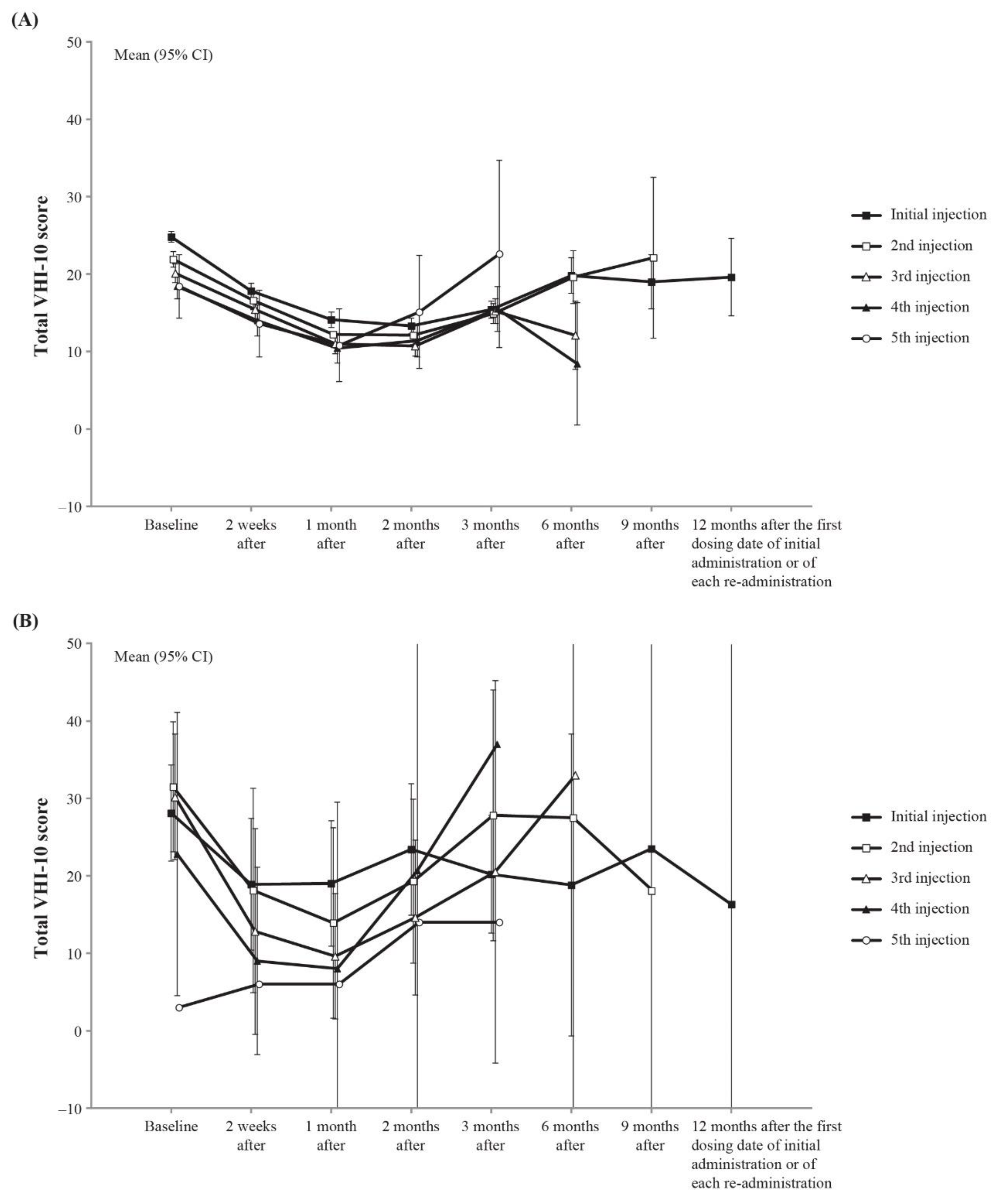
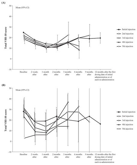
2.4. Effectiveness
3. Discussion
4. Conclusions
5. Materials and Methods
5.1. Patient Characteristics
5.2. OnabotulinumtoxinA Treatment
5.3. Safety Evaluation
5.4. Effectiveness Evaluation
5.4.1. Voice Handicap Index-10
5.4.2. Physician’s Global Assessment
5.5. Statistical Analysis
Supplementary Materials
Author Contributions
Funding
Institutional Review Board Statement
Informed Consent Statement
Data Availability Statement
Acknowledgments
Conflicts of Interest
References
- Aronson, A.E.; Bless, D.M. Clinical Voice Disorders, 4th ed.; Thieme: New York, NY, USA, 2009; pp. 101–133. [Google Scholar]
- Blitzer, A.; Brin, M.F.; Fahn, S.; Lovelace, R.E. Clinical and laboratory characteristics of focal laryngeal dystonia: A study of 110 cases. Laryngoscope 1988, 98, 636–640. [Google Scholar] [CrossRef] [PubMed]
- Hyodo, M.; Nagao, A.; Asano, K.; Sakaguchi, M.; Mizoguchi, K.; Omori, K.; Tada, Y.; Hatakeyama, H.; Oridate, N.; Naito, K.; et al. Botulinum toxin injection into the intrinsic laryngeal muscles to treat spasmodic dysphonia: A multicenter, placebo-controlled, randomized, double-blinded, parallel-group comparison/open-label clinical trial. Eur. J. Neurol. 2021, 28, 1548–1556. [Google Scholar] [CrossRef] [PubMed]
- Meyer, T.K.; Hu, A.; Hillel, A.D. Voice disorders in the workplace: Productivity in spasmodic dysphonia and the impact of botulinum toxin. Laryngoscope 2013, 123 (Suppl. S6), S1–S14. [Google Scholar] [CrossRef] [PubMed]
- Epidemiological Study of Dystonia in Europe (ESDE) Collaborative Group. A prevalence study of primary dystonia in eight European countries. J. Neurol. 2000, 247, 787–792. [Google Scholar] [CrossRef] [PubMed]
- Hyodo, M.; Hisa, Y.; Nishizawa, N.; Omori, K.; Shiromoto, O.; Yumoto, E.; Sanuki, T.; Nagao, A.; Hirose, K.; Kobayashi, T.; et al. The prevalence and clinical features of spasmodic dysphonia: A review of epidemiological surveys conducted in Japan. Auris Nasus Larynx. 2021, 48, 179–184. [Google Scholar] [CrossRef] [PubMed]
- Nomoto, M.; Tokashiki, R.; Hiramatsu, H.; Konomi, U.; Motohashi, R.; Sakurai, E.; Toyomura, F.; Ueda, Y.; Inoue, S.; Tsukahara, K.; et al. The comparison of thyroarytenoid muscle myectomy and type II thyroplasty for spasmodic dysphonia. J. Voice 2015, 29, 501–506. [Google Scholar] [CrossRef]
- Tisch, S.H.; Brake, H.M.; Law, M.; Cole, I.E.; Darveniza, P. Spasmodic dysphonia: Clinical features and effects of botulinum toxin therapy in 169 patients-an Australian experience. J. Clin. Neurosci. 2003, 10, 434–438. [Google Scholar] [CrossRef]
- Blitzer, A. Spasmodic dysphonia and botulinum toxin: Experience from the largest treatment series. Eur. J. Neurol. 2010, 17 (Suppl. S1), 28–30. [Google Scholar] [CrossRef]
- Stachler, R.J.; Francis, D.O.; Schwartz, S.R.; Damask, C.C.; Digoy, G.P.; Krouse, H.J.; McCoy, S.J.; Ouellette, D.R.; Patel, R.R.; Reavis, C.C.W.; et al. Clinical practice guideline: Hoarseness (dysphonia) (update). Otolaryngol. Head Neck Surg. 2018, 158 (Suppl. S1), S1–S42. [Google Scholar] [CrossRef] [PubMed]
- Blitzer, A.; Brin, M.F.; Stewart, C.F. Botulinum toxin management of spasmodic dysphonia (laryngeal dystonia): A 12-year experience in more than 900 patients. Laryngoscope 1998, 108, 1435–1441. [Google Scholar] [CrossRef] [PubMed]
- European Medicines Agency. Important Medical Event Terms List (MedDRA Version 24.1). Available online: https://www.alims.gov.rs/wp-content/uploads/2022/02/IME_list_version_241.pdf (accessed on 18 May 2023).
- Brin, M.F.; Blitzer, A.; Stewart, C. Laryngeal dystonia (spasmodic dysphonia): Observations of 901 patients and treatment with botulinum toxin. Adv. Neurol. 1998, 78, 237–252. [Google Scholar] [PubMed]
- Novakovic, D.; Waters, H.H.; D’Elia, J.B.; Blitzer, A. Botulinum toxin treatment of adductor spasmodic dysphonia: Longitudinal functional outcomes. Laryngoscope 2011, 121, 606–612. [Google Scholar] [CrossRef] [PubMed]
- Bielamowicz, S.; Squire, S.; Bidus, K.; Ludlow, C.L. Assessment of posterior cricoarytenoid botulinum toxin injections in patients with abductor spasmodic dysphonia. Ann. Otol. Rhinol. Laryngol. 2001, 110, 406–412. [Google Scholar] [CrossRef] [PubMed]
- Sulica, L.; Blitzer, A. Botulinum toxin treatment of spasmodic dysphonia. Oper. Tech. Otolayngol. Head Neck Surg. 2004, 15, 76–80. [Google Scholar] [CrossRef]
- Klein, A.M.; Strong, B.C.; Wise, J.; DelGaudio, J.M.; Hapner, E.R.; Johns, M.M., 3rd. Vocal outcome measures after bilateral posterior cricoarytenoid muscle botulinum toxin injections for abductor spasmodic dysphonia. Otolaryngol. Head Neck Surg. 2008, 139, 421–423. [Google Scholar] [CrossRef] [PubMed]
- Misono, S.; Yueh, B.; Stockness, A.N.; House, M.E.; Marmor, S. Minimal important difference in Voice Handicap Index-10. JAMA Otolaryngol. Head Neck Surg. 2017, 143, 1098–1103. [Google Scholar] [CrossRef] [PubMed]
- Rumbach, A.; Aiken, P.; Novakovic, D. Treatment outcome measures for spasmodic dysphonia: A systematic review. J. Voice 2022, online ahead of print. [Google Scholar]


| Characteristic | Safety Analysis Set | Effectiveness Analysis Set |
|---|---|---|
| Total patients | 834 (100.0) | 790 (100.0) |
| Sex | ||
| Male | 141 (16.9) | 129 (16.3) |
| Female | 693 (83.1) | 661 (83.7) |
| Age, years | ||
| Mean ± SD | 41.6 ± 14.8 | 41.8 ± 14.7 |
| Median (min–max) | 40.0 (14–87) | 40.0 (14–87) |
| <15 years | 1 (0.1) | 1 (0.1) |
| ≥15 to <65 years | 759 (91.0) | 719 (91.0) |
| ≥65 years | 74 (8.9) | 70 (8.9) |
| Disease type (at the time of initial onabotulinumtoxinA administration) | ||
| Adductor LD | 802 (96.2) | 762 (96.5) |
| Abductor LD | 23 (2.8) | 22 (2.8) |
| Mixed LD | 9 (1.1) | 6 (0.8) |
| Injected muscle | ||
| Thyroarytenoid muscle | 807 (96.8) | 764 (96.7) |
| Posterior cricoarytenoid muscle | 21 (2.5) | 20 (2.5) |
| Mixed type | 6 (0.7) | 6 (0.8) |
| Age at onset of LD, years | ||
| Mean ± SD | 32.0 ± 14.7 | 32.0 ± 14.6 |
| Median (min–max) | 28.0 (9–83) | 28.0 (9–83) |
| <30 years | 412 (49.4) | 389 (49.2) |
| ≥30 years | 368 (44.1) | 350 (44.3) |
| Unknown | 54 (6.5) | 51 (6.5) |
| Disease duration, years | ||
| <2 years | 119 (14.3) | 108 (13.7) |
| ≥2 to <4 years | 120 (14.4) | 109 (13.8) |
| ≥4 to <6 years | 94 (11.3) | 89 (11.3) |
| ≥6 to <8 years | 87 (10.4) | 82 (10.4) |
| ≥8 to <10 years | 50 (6.0) | 47 (5.9) |
| ≥10 years | 310 (37.2) | 304 (38.5) |
| Unknown | 54 (6.5) | 51 (6.5) |
| Medical history | 41 (4.9) | 34 (4.3) |
| Renal impairment | 2 (0.2) | 2 (0.3) |
| Hepatic impairment | 1 (0.1) | 1 (0.1) |
| Other diseases | 39 (4.7) | 32 (4.1) |
| Comorbidities | 28 (3.4) | 28 (3.5) |
| Renal impairment | 2 (0.2) | 2 (0.3) |
| Hepatic impairment | 0 | 0 |
| Other | 28 (3.4) | 28 (3.5) |
| Prior medications | 266 (31.9) | 263 (33.3) |
| Prior therapies | 241 (28.9) | 213 (27.0) |
| Surgical therapy | 25 (3.0) | 22 (2.8) |
| Type II thyroplasty | 24 (2.9) | 21 (2.7) |
| Thyroarytenoidectomy | 1 (0.1) | 1 (0.1) |
| Voice therapy | 221 (26.5) | 195 (24.7) |
| Other | 1 (0.1) | 1 (0.1) |
| Dose (at the time of initial onabotulinumtoxinA administrtion), units * | ||
| Thyroarytenoid muscle | 810 (97.1) | 767 (97.1) |
| Mean ± SD | 2.59 ± 1.30 | 2.60 ± 1.33 |
| Median (min–max) | 2.50 (0.00625–10.0) | 2.50 (0.00625–10.0) |
| Unilateral injection | ||
| Mean ± SD | 2.47 ± 0.99 | 2.47 ± 1.01 |
| <2.5 | 130 (15.6) | 127 (16.1) |
| 2.5 | 475 (57.0) | 439 (55.6) |
| >2.5 | 76 (9.1) | 76 (9.6) |
| Bilateral injections | ||
| Mean ± SD | 3.25 ± 2.22 | 3.28 ± 2.25 |
| <5.0 | 87 (10.4) | 83 (10.5) |
| 5.0 | 30 (3.6) | 30 (3.8) |
| >5.0 | 12 (1.4) | 12 (1.5) |
| Posterior cricoarytenoid muscle | 25 (3.0) | 24 (3.0) |
| Mean ± SD | 5.40 ± 1.18 | 5.42 ± 1.20 |
| Median (min–max) | 5.00 (5.0–10.0) | 5.00 (5.0–10.0) |
| Unilateral injection | ||
| Mean ± SD | 5.21 ± 0.71 | 5.22 ± 0.72 |
| <5.0 | 0 | 0 |
| 5.0 | 22 (2.6) | 21 (2.7) |
| >5.0 | 2 (0.2) | 2 (0.3) |
| Bilateral injections | ||
| Mean ± SD | 10.00 ± 0 | 10.00 ± 0 |
| <10.0 | 0 | 0 |
| 10.0 | 1 (0.1) | 1 (0.1) |
| >10.0 | 0 | 0 |
| Safety Analysis Set, n | 834 |
|---|---|
| No. of Patients with ADRs (%) | 48 (5.8) |
| Type of ADRs | No. of patients with ADRs (%) |
| Infections and infestations | 2 (0.2) |
| Pneumonia aspiration | 2 (0.2) |
| Respiratory, thoracic, and mediastinal disorders | 44 (5.3) |
| Aspiration | 3 (0.4) |
| Choking | 6 (0.7) |
| Dysphonia | 43 (5.2) |
| Gastrointestinal disorders | 7 (0.8) |
| Dysphagia | 7 (0.8) |
| Overall * | Initial Administration | 2nd Administration | 3rd Administration | 4th Administration | 5th Administration | |||||||
|---|---|---|---|---|---|---|---|---|---|---|---|---|
| Total | Serious | Total | Serious | Total | Serious | Total | Serious | Total | Serious | Total | Serious | |
| Number of patients investigated | 834 | 834 | 614 | 427 | 226 | 52 | ||||||
| Patients with ADRs | 48 (5.8) | 11 (1.3) | 32 (3.8) | 9 (1.1) | 16 (2.6) | 0 | 6 (1.4) | 2 (0.5) | 3 (1.3) | 0 | 0 | 0 |
| Type of ADRs | ||||||||||||
| Respiratory, thoracic, and mediastinal disorders | 44 (5.3) | 9 (1.1) | 29 (3.5) | 8 (1.0) | 15 (2.4) | 0 | 4 (0.9) | 1 (0.2) | 2 (0.9) | 0 | 0 | 0 |
| Dysphonia | 43 (5.2) | 0 | 28 (3.4) | 0 | 15 (2.4) | 0 | 3 (0.7) | 0 | 2 (0.9) | 0 | 0 | 0 |
| Choking | 6 (0.7) | 6 (0.7) | 5 (0.6) | 5 (0.6) | 0 | 0 | 0 | 0 | 0 | 0 | 0 | 0 |
| Aspiration | 3 (0.4) | 3 (0.4) | 3 (0.4) | 3 (0.4) | 0 | 0 | 1 (0.2) | 1 (0.2) | 0 | 0 | 0 | 0 |
| Gastrointestinal disorders | 7 (0.8) | 0 | 3 (0.4) | 0 | 1 (0.2) | 0 | 1 (0.2) | 0 | 1 (0.4) | 0 | 0 | 0 |
| Dysphagia | 7 (0.8) | 0 | 3 (0.4) | 0 | 1 (0.2) | 0 | 1 (0.2) | 0 | 1 (0.4) | 0 | 0 | 0 |
| Infections and infestations | 2 (0.2) | 2 (0.2) | 1 (0.1) | 1 (0.1) | 0 | 0 | 1 (0.2) | 1 (0.2) | 0 | 0 | 0 | 0 |
| Pneumonia aspiration | 2 (0.2) | 2 (0.2) | 1 (0.1) | 1 (0.1) | 0 | 0 | 1 (0.2) | 1 (0.2) | 0 | 0 | 0 | 0 |
| Overall | Serious Cases | ||
|---|---|---|---|
| ADRs related to “dysphagia” | Number of patients investigated | 834 | 834 |
| Patients with ADRs | 11 | 5 | |
| Type of ADRs | |||
| Gastrointestinal disorders | 7 (0.8) | 0 | |
| Dysphagia | 7 (0.8) | 0 | |
| Respiratory, thoracic, and mediastinal disorders | 3 (0.4) | 3 (0.4) | |
| Aspiration | 3 (0.4) | 3 (0.4) | |
| Infections and infestations | 2 (0.2) | 2 (0.2) | |
| Pneumonia aspiration | 2 (0.2) | 2 (0.2) | |
| ADRs related to “possible distant spread of toxin” | Number of patients investigated | 834 | 834 |
| Patients with ADRs | 47 | 5 | |
| Type of ADRs | |||
| Respiratory, thoracic, and mediastinal disorders | 43 (5.2) | 3 (0.4) | |
| Dysphonia | 43 (5.2) | 0 | |
| Aspiration | 3 (0.4) | 3 (0.4) | |
| Gastrointestinal disorders | 7 (0.8) | 0 | |
| Dysphagia | 7 (0.8) | 0 | |
| Infections and infestations | 2 (0.2) | 2 (0.2) | |
| Pneumonia aspiration | 2 (0.2) | 2 (0.2) |
Disclaimer/Publisher’s Note: The statements, opinions and data contained in all publications are solely those of the individual author(s) and contributor(s) and not of MDPI and/or the editor(s). MDPI and/or the editor(s) disclaim responsibility for any injury to people or property resulting from any ideas, methods, instructions or products referred to in the content. |
© 2023 by the authors. Licensee MDPI, Basel, Switzerland. This article is an open access article distributed under the terms and conditions of the Creative Commons Attribution (CC BY) license (https://creativecommons.org/licenses/by/4.0/).
Share and Cite
Iimura, S.; Nose, Y.; Tabata, K.; Oda, K.; Yamashita, Y.; Takahashi, N.; Kawano, Y. Safety and Effectiveness of OnabotulinumtoxinA in Patients with Laryngeal Dystonia: Final Report of a 52-Week, Multicenter Postmarketing Surveillance Study. Toxins 2023, 15, 553. https://doi.org/10.3390/toxins15090553
Iimura S, Nose Y, Tabata K, Oda K, Yamashita Y, Takahashi N, Kawano Y. Safety and Effectiveness of OnabotulinumtoxinA in Patients with Laryngeal Dystonia: Final Report of a 52-Week, Multicenter Postmarketing Surveillance Study. Toxins. 2023; 15(9):553. https://doi.org/10.3390/toxins15090553
Chicago/Turabian StyleIimura, Shigeomi, Yasuyo Nose, Keiko Tabata, Kenji Oda, Yoshiyuki Yamashita, Naohiro Takahashi, and Yoshiaki Kawano. 2023. "Safety and Effectiveness of OnabotulinumtoxinA in Patients with Laryngeal Dystonia: Final Report of a 52-Week, Multicenter Postmarketing Surveillance Study" Toxins 15, no. 9: 553. https://doi.org/10.3390/toxins15090553
APA StyleIimura, S., Nose, Y., Tabata, K., Oda, K., Yamashita, Y., Takahashi, N., & Kawano, Y. (2023). Safety and Effectiveness of OnabotulinumtoxinA in Patients with Laryngeal Dystonia: Final Report of a 52-Week, Multicenter Postmarketing Surveillance Study. Toxins, 15(9), 553. https://doi.org/10.3390/toxins15090553

