Bivalve Shellfish Safety in Portugal: Variability of Faecal Levels, Metal Contaminants and Marine Biotoxins during the Last Decade (2011–2020)
Abstract
1. Introduction
2. Results
2.1. The Portuguese Monitoring Programme during the Years 2011 to 2020
2.2. Impact on the Shellfish Industry
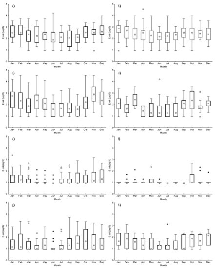
2.3. Microbiological Contamination (E. coli)
2.4. Determination of Metals Contaminants (Hg, Cd, Pb)
2.5. Determination of Marine Toxins (Lipophilic, ASP and PSP Toxins)
3. Discussion
4. Conclusions
5. Material and Methods
5.1. Classified Shellfish-Producing Areas of the Portuguese Coast
5.2. Official Control Data
5.2.1. Microbiological Contamination (E. coli)
5.2.2. Determination of Metal Contaminants (Hg, Cd, Pb)
5.2.3. Marine Toxins Determination (Lipophilic, ASP and PSP Toxins)
Supplementary Materials
Author Contributions
Funding
Institutional Review Board Statement
Informed Consent Statement
Data Availability Statement
Acknowledgments
Conflicts of Interest
References
- Erlandson, J.M. The Role of Shellfish in Prehistoric Economies: A Protein Perspective. Am. Antiq. 1988, 53, 102–109. [Google Scholar] [CrossRef]
- Smith, C.B.; Ebert, C.E.; Kennett, D.J. Human Ecology of Shellfish Exploitation at a Prehistoric Fishing-Farming Village on the Pacific Coast of Mexico. J. Isl. Coast. Archaeol. 2014, 9, 183–202. [Google Scholar] [CrossRef]
- United Nations—Department of Economic and Social Affairs Population Division. World Population Prospects 2019—Highlights (ST/ESA/SER.A/423); United Nations: New York, NY, USA, 2019.
- Suplicy, F.M. A Review of the Multiple Benefits of Mussel Farming. Rev. Aquac. 2020, 12, 204–223. [Google Scholar] [CrossRef]
- Schatte Olivier, A.; Jones, L.; Vay, L.L.; Christie, M.; Wilson, J.; Malham, S.K. A Global Review of the Ecosystem Services Provided by Bivalve Aquaculture. Rev. Aquac. 2020, 12, 3–25. [Google Scholar] [CrossRef]
- MacDonald, B.A.; Robinson, S.M.C.; Barrington, K.A. Feeding Activity of Mussels (Mytilus Edulis) Held in the Field at an Integrated Multi-Trophic Aquaculture (IMTA) Site (Salmo Salar) and Exposed to Fish Food in the Laboratory. Aquaculture 2011, 314, 244–251. [Google Scholar] [CrossRef]
- Park, M.S.; Kim, J.K.; Shin, S.; Min, B.H.; Samanta, P. Trophic Fractionation in an Integrated Multi-Trophic Aquaculture off Tongyoung Coast: A Stable Isotope Approach. Aquaculture 2021, 536, 736454. [Google Scholar] [CrossRef]
- Anacleto, P.; Maulvault, A.L.; Chaguri, M.; Pedro, S.; Nunes, M.L.; Rosa, R.; Marques, A. Microbiological Responses to Depuration and Transport of Native and Exotic Clams at Optimal and Stressful Temperatures. Food Microbiol. 2013, 36, 365–373. [Google Scholar] [CrossRef]
- Vale, P.; Botelho, M.J.; Rodrigues, S.M.; Gomes, S.S.; Sampayo, M.A.D.M. Two Decades of Marine Biotoxin Monitoring in Bivalves from Portugal (1986-2006): A Review of Exposure Assessment. Harmful Algae 2008, 7, 11–25. [Google Scholar] [CrossRef]
- EC Commission Regulation (EC) No 853/2004 of the European Parliament and of the Council of 29 April 2004 Laying down Specific Hygiene Rules for on the Hygiene of Foodstuffs. Off. J. Eur. Union 2004, L139, 55–205.
- European Union Commission Implementing Regulation (EU) 2019/ 627—Of 15 March 2019—Laying down Uniform Practical Arrangements for the Performance of Official Controls on Products of Animal Origin Intended for Human Consumption in Accordance with Regulation (EU) 2017/. Off. J. Eur. Union 2019, 131, 51–100.
- EC Community Guide to the Principles of Good Practice for the Microbiological Classification and Monitoring of Bivalve Mollusc Production and Relaying Areas with Regard to Implementing Regulation 2019/627; EURLMB: Vigo, Spain, 2021; p. 54.
- Rey-Salgueiro, L.; Martínez-Carballo, E.; García-Falcón, M.S.; Simal-Gándara, J. Survey of Polycyclic Aromatic Hydrocarbons in Canned Bivalves and Investigation of Their Potential Sources. Food Res. Int. 2009, 42, 983–988. [Google Scholar] [CrossRef]
- Lourenço, H.M.; Anacleto, P.; Afonso, C.; Martins, M.F.; Carvalho, M.L.; Lino, A.R.; Nunes, M.L. Chemical Characterisation of Nephrops Norvegicus from Portuguese Coast. J. Sci. Food Agric. 2009, 89, 2572–2580. [Google Scholar] [CrossRef]
- Vandermeersch, G.; Lourenço, H.M.; Alvarez-Muñoz, D.; Cunha, S.; Diogène, J.; Cano-Sancho, G.; Sloth, J.J.; Kwadijk, C.; Barcelo, D.; Allegaert, W.; et al. Environmental Contaminants of Emerging Concern in Seafood—European Database on Contaminant Levels. Environ. Res. 2015, 143, 29–45. [Google Scholar] [CrossRef]
- EU Commission Regulation (EU) No 786/2013 of 16 August 2013 Amending Annex III to Regulation (EC) No 853/2004 of the European Parliament and of the Council as Regards the Permitted Limits of Yessotoxins in Live Bivalve Molluscs. Off. J. Eur. Union 2013, 220, 14.
- Alarcan, J.; Biré, R.; Le Hégarat, L.; Fessard, V. Mixtures of Lipophilic Phycotoxins: Exposure Data and Toxicological Assessment. Mar. Drugs 2018, 16, 46. [Google Scholar] [CrossRef]
- EFSA Scientific Opinion on Marine Biotoxins in Shellfish—Emerging Toxins: Ciguatoxin Group. EFSA J. 2010, 8, 1627. [CrossRef]
- Panel, E.; Chain, F. EFSA Scientific Opinion on Marine Biotoxins in Shellfish—Palytoxin Group. EFSA J. 2009, 7, 1–38. [Google Scholar] [CrossRef]
- EU Commission Regulation (EU) 2021/1317 of 9th August 2021 Amending Regulation (EC) No 1881/2006 as Regards Maximum Levels of Lead in Certain Foodstuffs. Off. J. Eur. Union 2021, 286, 1–4. [CrossRef]
- EU Commission Regulation (EU) 2021/1323 of 10th August 2021 Amending Regulation (EC) No 1881/2006 as Regards Maximum Levels of Cadmium in Certain Foodstuffs. Off. J. Eur. Communities 2021, 10, 13–18.
- EU Commission Regulation (EU) 2022/617 of 12nd April 2022 Amending Regulation (EC) No 1881/2006 as Regards Maximum Levels of Mercury in Fish and Salt. Off. J. Eur. Union 2022, 115, 60–63.
- Martino, S.; Gianella, F.; Davidson, K. An Approach for Evaluating the Economic Impacts of Harmful Algal Blooms: The Effects of Blooms of Toxic Dinophysis Spp. on the Productivity of Scottish Shellfish Farms. Harmful Algae 2020, 99, 101912. [Google Scholar] [CrossRef]
- Willis, C.; Papathanasopoulou, E.; Russel, D.; Artioli, Y. Harmful Algal Blooms: The Impacts on Cultural Ecosystem Services and Human Well-Being in a Case Study Setting, Cornwall, UK. Mar. Policy 2018, 97, 232–238. [Google Scholar] [CrossRef]
- Campos, C.J.A.; Kershaw, S.R.; Lee, R.J. Environmental Influences on Faecal Indicator Organisms in Coastal Waters and Their Accumulation in Bivalve Shellfish. Estuaries Coasts 2013, 36, 834–853. [Google Scholar] [CrossRef]
- Barchiesi, F.; Branciari, R.; Latini, M.; Roila, R.; Lediani, G.; Filippini, G.; Scortichini, G.; Piersanti, A.; Rocchegiani, E.; Ranucci, D. Heavy Metals Contamination in Shellfish: Benefit-Risk Evaluation in Central Italy. Foods 2020, 9, 1720. [Google Scholar] [CrossRef]
- Tamele, I.J.; Vázquez Loureiro, P. Lead, Mercury and Cadmium in Fish and Shellfish from the Indian Ocean and Red Sea (African Countries): Public Health Challenges. J. Mar. Sci. Eng. 2020, 8, 344. [Google Scholar] [CrossRef]
- Bresnan, E.; Arévalo, F.; Belin, C.; Branco, M.A.C.; Cembella, A.D.; Clarke, D.; Correa, J.; Davidson, K.; Dhanji-Rapkova, M.; Lozano, R.F.; et al. Diversity and Regional Distribution of Harmful Algal Events along the Atlantic Margin of Europe. Harmful Algae 2021, 102, 101976. [Google Scholar] [CrossRef]
- Guillotreau, P.; Bihan, V.L.; Morineau, B.; Pardo, S. The Vulnerability of Shellfish Farmers to HAB Events: An Optimal Matching Analysis of Closure Decrees. Harmful Algae 2021, 101, 101968. [Google Scholar] [CrossRef]
- Schmidt, W.; Evers-King, H.L.; Campos, C.J.A.; Jones, D.B.; Miller, P.I.; Davidson, K.; Shutler, J.D. A Generic Approach for the Development of Short-Term Predictions of Escherichia Coli and Biotoxins in Shellfish. Aquac. Environ. Interact. 2018, 10, 173–185. [Google Scholar] [CrossRef]
- IPMA Bivalves—Ponto de Situação. Available online: https://www.ipma.pt/pt/bivalves/ (accessed on 26 December 2022).
- EC Regulamento (CE) n.o 854/2004 Do Parlamento Europeu E Do Conselho de 29 de Abril de 2004 Que Estabelece Regras Específicas de Organização Dos Controlos Oficiais de Produtos de Origem Animal Destinados Ao Consumo Humano. J. Of. Da União Eur. 2004, 226, 83–127.
- de Carvalho, I.L.; Pelerito, A.; Ribeiro, I.; Cordeiro, R.; Núncio, M.S.; Vale, P. Paralytic Shellfish Poisoning Due to Ingestion of Contaminated Mussels: A 2018 Case Report in Caparica (Portugal). Toxicon X 2019, 4, 100017. [Google Scholar] [CrossRef]
- Instituto Nacional de Estatística Estatísticas Da Pesca: 2021; INE: Lisbon, Portugal, 2022; 100p.
- FAO. WHO Technical Guidance for the Development of the Growing Area Aspects of Bivalve Mollusc Sanitation Programmes; Food Safety and Quality Series; FAO: Rome, Italy, 2018; Volume 5. [Google Scholar]
- Braga, A.C.; Lage, S.; Pacheco, M.; Rydberg, S.; Costa, P.R. Native (Ruditapes Decussatus) and Non-Indigenous (R. Philippinarum) Shellfish Species Living in Sympatry: Comparison of Regulated and Non-Regulated Biotoxins Accumulation. Mar. Environ. Res. 2017, 129, 147–155. [Google Scholar] [CrossRef] [PubMed]
- Gracia Villalobos, L.; Santinelli, N.H.; Sastre, A.V.; Marino, G.; Almandoz, G.O. Spatiotemporal Distribution of Paralytic Shellfish Poisoning (PSP) Toxins in Shellfish from Argentine Patagonian Coast. Heliyon 2019, 5, e01979. [Google Scholar] [CrossRef] [PubMed]
- Vale, P. Differential Dynamics of Dinophysistoxins and Pectenotoxins, Part II: Offshore Bivalve Species. Toxicon 2006, 47, 163–173. [Google Scholar] [CrossRef] [PubMed]
- Vale, P. Differential Dynamics of Dinophysistoxins and Pectenotoxins between Blue Mussel and Common Cockle: A Phenomenon Originating from the Complex Toxin Profile of Dinophysis Acuta. Toxicon 2004, 44, 123–134. [Google Scholar] [CrossRef] [PubMed]
- Shumway, S.E. Phycotoxin-Related Shellfiish Posoning: Bivalve Molluscs Are Not The Only Vectors. Rev. Fish. Sci. 1995, 3, 1–31. [Google Scholar] [CrossRef]
- Shumway, S.E.; van Egmond, H.P.; Hurst, J.W.; Bean, L.L. Management of Shellfish Resources. In Manual on Harmful Marine Microalgae; Hallegraeff, G.M., Anderson, D.M., Cembella, A.D., Eds.; IOC Manuals and Guides No. 33 UNESCO: Paris, France, 1995; p. 433. [Google Scholar]
- Campos, C.J.A.; Acornley, R.; Morgan, O.C.; Kershaw, S. Trends in the Levels of Escherichia Coli in Commercially Harvested Bivalve Shellfish from England and Wales, 1999–2008. Mar. Pollut. Bull. 2013, 67, 223–227. [Google Scholar] [CrossRef]
- Beiras, R. Marine Pollution Monitoring Programs. In Marine Pollution; Elsevier: Amsterdam, The Netherlands, 2018; pp. 293–311. [Google Scholar] [CrossRef]
- Breda, S.; Chiesa, S.; Freitas, R.; Figueira, E.; Becherini, F.; Gobbo, L.; Soares, A.M.V.M.; Argese, E. Biogeochemical Dynamics and Bioaccumulation Processes in Manila Clam: Implications for Biodiversity and Ecosystem Services in the Ria de Aveiro Lagoon. Estuar. Coast. Shelf Sci. 2018, 209, 136–148. [Google Scholar] [CrossRef]
- Spada, L.; Annicchiarico, C.; Cardellicchio, N.; Giandomenico, S.; Di Leo, A. Heavy Metals Monitoring in Mussels Mytilus Galloprovincialis from the Apulian Coasts (Southern Italy). Mediterr. Mar. Sci. 2013, 14, 99–108. [Google Scholar] [CrossRef]
- Costa, P.R.; Costa, S.T.; Braga, A.C.; Rodrigues, S.M.; Vale, P. Relevance and Challenges in Monitoring Marine Biotoxins in Non-Bivalve Vectors. Food Control 2017, 76, 24–33. [Google Scholar] [CrossRef]
- Braga, A.C.; Camacho, C.; Marques, A.; Gago-Martínez, A.; Pacheco, M.; Costa, P.R. Combined Effects of Warming and Acidification on Accumulation and Elimination Dynamics of Paralytic Shellfish Toxins in Mussels Mytilus Galloprovincialis. Environ. Res. 2018, 164, 647–654. [Google Scholar] [CrossRef]
- Mafra, L.L.; Bricelj, V.M.; Fennel, K. Domoic Acid Uptake and Elimination Kinetics in Oysters and Mussels in Relation to Body Size and Anatomical Distribution of Toxin. Aquat. Toxicol. 2010, 100, 17–29. [Google Scholar] [CrossRef]
- Bricelj, V.M.; Cembella, A.D.; Laby, D.; Monica Bricelj, V.; Cembella, A.D.; Laby, D.; Bricelj, V.M.; Cembella, A.D.; Laby, D.; Monica Bricelj, V.; et al. Temperature Effects on Kinetics of Paralytic Shellfish Toxin Elimination in Atlantic Surfclams, Spisula Solidissima. Deep. Res. Part II Top. Stud. Oceanogr. 2014, 103, 308–317. [Google Scholar] [CrossRef]
- Cruz, R.C.; Costa, P.R.; Krippahl, L.; Lopes, M.B. Forecasting Biotoxin Contamination in Mussels across Production Areas of the Portuguese Coast with Artificial Neural Networks. Knowledge-Based Syst. 2022, 257, 109895. [Google Scholar] [CrossRef]
- Sampayo, M.D.M.; Franca, S.; Sousa, I.; Alvito, P.; Vale, P.; Botelho, M.J.; Rodrigues, S.; Vieira, A. Dez Anos de Monitorização de Biotoxinas Marinhas Em Portugal (1986-1996). Arq. Inst. Nac. Saúde 1997, 23, 187–194. [Google Scholar]
- EN ISO 6887-3; Microbiology of the Food Chain—Preparation of Test Samples, Initial Suspension and Decimal Dilutions for Microbiological Examination—Part 3: Specific Rules for the Preparation of Fish and Fishery Products. International Organization for Standardization: Geneva, Switzerland, 2017; 16p.
- EN ISO 16649-3; Microbiology of the Food Chain—Horizontal Method for the Enumeration of b-Glucuronidase-Positive Escherichia Coli—Part 3: Detection and Most Probable Number Technique Using 5-Bromo-4-Chloro-3-Indolyl-b-D-Glucuronide. International Organization for Standardization: Geneva, Switzerland, 2015; 10p.
- Pedro, S.; Cardoso, C.; Caetano, J.; Mourato, M.; Lourenço, H.M. Chemical and Microbiological Contamination in Limpets (Patella Aspera) of the Portuguese Coast. Food Control 2021, 119, 107492. [Google Scholar] [CrossRef]
- NP EN 14084; Foodstuffs—Determination of Trace Elements—Determination of Lead, Cadmium, Zinc, Copper and Iron by Atomic Absorption Spectrometry (AAS) after Microwave Digestion. CEN: Brussels, Belgium, 2003; 16p.
- EPA. Test Method 7473 (SW-846): Mercury in Solids and Solutions by Thermal Decomposition, Amalgamation and Atomic Absorption Spectrometry; Environmental Protection Agency: Washington, DC, USA, 2007; 17p. [Google Scholar]
- Afonso, C.; Lourenço, H.M.; Cardoso, C.; Bandarra, N.M.; Carvalho, M.L.; Castro, M.; Nunes, M.L. From Fish Chemical Characterisation to the Benefit-Risk Assessment—Part A. Food Chem. 2013, 137, 99–107. [Google Scholar] [CrossRef] [PubMed]
- EURLMB EU-Harmonised Standard Operating Procedure for Determination of Lipophilic Marine Biotoxins in Molluscs by LC-MS/MS, Version 5; EURLMB: Vigo, Spain, 2015.
- EURLMB EU-Harmonised Standard Operating Procedure for Determination of Lipophilic Marine Biotoxins in Molluscs by LC-MS/MS. Version 4; EURLMB: Vigo, Spain, 2011.
- EC Commission Regulation (EC) No 2074/2005 of 5 December 2005 Laying down Implementing Measures for Certain Products under Regulation (EC) No 853/2004 of the European Parliament and of the Council and for the Organisation of Official Controls under Regulatio. Off. J. Eur. Union 2005, L338, 27–59.
- EURLMB EU-Harmonised Standard Operating Procedure for Determination of Domoic Acid in Shellfish and Finfish by RP-HPLC Using UV Detection; EURLMB: Vigo, Spain, 2008.
- Vale, P.; Sampayo, M.A. A Domoic Acid in Portuguese Shellfish and Fish. Toxicon 2001, 39, 893–904. [Google Scholar] [CrossRef]
- Costa, P.R.; Moita, T.; Rodrigues, S.M. Estimating the Contribution of N-Sulfocarbamoyl Paralytic Shellfish Toxin Analogs GTX6 and C3+4 to the Toxicity of Mussels (Mytilus Galloprovincialis) over a Bloom of Gymnodinium Catenatum. Harmful Algae 2014, 31, 35–40. [Google Scholar] [CrossRef]
- Vale, P.; Ribeiro, I.; Rodrigues, S.M. Workflow of the Pre-Chromatographic ‘Lawrence’ Method for Bivalves Contaminated with Gymnodinium Catenatum’s Paralytic Shellfish Poisoning Toxins. Food Control 2021, 126, 108081. [Google Scholar] [CrossRef]







| Contaminants | Regulatory Limit (RL) | Reference |
|---|---|---|
| Microbiological 1 | ||
| Escherichia coli | Class A: 80% of the results ≤ 230 or 2.36 Log (MPN/100g) and 100% of the results ≤ 700 or 2.85 Log (MPN/100g) | [11] |
| Class B: 90% of the results ≤ 4600 or 3.66 Log (MPN/100g) and 100% of the results ≤ 46,000 or 4.66 Log (MPN/100g) | ||
| Class C: 100% results ≤ 46,000 or 4.66 Log (MPN/100g) | ||
| Metals | ||
| Mercury (Hg) | 0.50 mg kg−1 | [13,20,21,22] |
| Cadmium (Cd) | 1.0 mg kg−1 | |
| Lead (Pb) | 1.50 mg kg−1 | |
| Marine Biotoxins | ||
| PSP toxins | 800 µg STX eq. kg−1 | [10,16] |
| ASP toxins | 20 mg DA kg−1 | |
| Okadaic acid toxins group | 160 µg OA eq. kg−1 | |
| Azaspiracids (AZAs) | 160 µg AZA eq. kg−1 | |
| Yessotoxins (YTXs) | 3.75 mg YTX eq. kg−1 |
| Year | ||||||||||||
|---|---|---|---|---|---|---|---|---|---|---|---|---|
| 2011 | 2012 | 2013 | 2014 | 2015 | 2016 | 2017 | 2018 | 2019 | 2020 | |||
| Shellfish producing areas | RIAV1 | Micro | 0 | 0 | 3 | 27 | 16 | 28 | 44 | 57 | 38 | 44 |
| Metals | 0 | 0 | 3 | 2 | 1 | 4 | 4 | 4 | 4 | 6 | ||
| Biotox | 29 | 67 | 108 | 162 | 145 | 135 | 170 | 135 | 164 | 175 | ||
| RIAV2 | Micro | 0 | 0 | 5 | 30 | 23 | 26 | 47 | 71 | 46 | 44 | |
| Metals | 0 | 3 | 5 | 4 | 4 | 4 | 5 | 2 | 2 | 7 | ||
| Biotox | 108 | 67 | 124 | 161 | 149 | 157 | 169 | 140 | 165 | 149 | ||
| LOB | Micro | 12 | 16 | 15 | 28 | 22 | 28 | 67 | 72 | 51 | 55 | |
| Metals | 2 | 2 | 5 | 2 | 2 | 2 | 3 | 2 | 2 | 6 | ||
| Biotox | 43 | 31 | 39 | 100 | 112 | 118 | 119 | 105 | 110 | 101 | ||
| L5 | Micro | 0 | 0 | 2 | 14 | 36 | 29 | 24 | 21 | 30 | 17 | |
| Metals | 0 | 10 | 13 | 3 | 4 | 3 | 3 | 3 | 5 | 6 | ||
| Biotox | 102 | 65 | 95 | 88 | 105 | 115 | 24 | 76 | 77 | 78 | ||
| L6 | Micro | 5 | 2 | 5 | 27 | 28 | 52 | 49 | 37 | 36 | 38 | |
| Metals | 5 | 2 | 6 | 5 | 3 | 4 | 5 | 3 | 4 | 6 | ||
| Biotox | 29 | 17 | 48 | 91 | 111 | 124 | 92 | 108 | 99 | 82 | ||
| L7 | Micro | 5 | 6 | 6 | 6 | 7 | 8 | 12 | 19 | 22 | 19 | |
| Metals | 0 | 0 | 2 | 2 | 3 | 5 | 2 | 2 | 4 | 4 | ||
| Biotox | 26 | 25 | 74 | 125 | 117 | 94 | 82 | 92 | 109 | 128 | ||
| L8 | Micro | 13 | 19 | 20 | 39 | 27 | 22 | 27 | 15 | 19 | 24 | |
| Metals | 0 | 0 | 3 | 4 | 4 | 3 | 2 | 2 | 2 | 3 | ||
| Biotox | 59 | 83 | 93 | 124 | 109 | 71 | 53 | 55 | 72 | 63 | ||
| L9 | Micro | 9 | 7 | 13 | 15 | 10 | 13 | 29 | 16 | 15 | 17 | |
| Metals | 0 | 0 | 2 | 2 | 2 | 2 | 2 | 2 | 2 | 2 | ||
| Biotox | 21 | 22 | 61 | 75 | 55 | 54 | 63 | 55 | 60 | 60 | ||
| E. coli (MPN/100g) | Year | |||||||||||
|---|---|---|---|---|---|---|---|---|---|---|---|---|
| 2011 | 2012 | 2013 | 2014 | 2015 | 2016 | 2017 | 2018 | 2019 | 2020 | |||
| Shellfish producing areas | Riav1 | Max | NA | NA | 80 | 5400 | 3500 | 3500 | 5400 | 5400 | 16,000 | 9200 |
| 80th P. | NA | NA | 68 | 490 | 330 | 290 | 790 | 1038 | 856 | 908 | ||
| 90th P. | NA | NA | 74 | 1100 | 410 | 853 | 1300 | 1740 | 1330 | 1300 | ||
| Riav2 | Max | NA | NA | 2305 | 9200 | 1100 | 3500 | 3500 | 36,000 | 9200 | 2400 | |
| 80th P. | NA | NA | 230 | 790 | 490 | 790 | 490 | 1100 | 1300 | 490 | ||
| 90th P. | NA | NA | 230 | 956 | 790 | 1500 | 1180 | 1700 | 3150 | 1147 | ||
| LOB | Max | 1300 | 2400 | 3500 | 16,000 | 9200 | 36,000 | 5400 | 36,000 | 36,000 | 14,000 | |
| 80th P. | 130 | 790 | 1520 | 1036 | 772 | 3060 | 230 | 1998 | 490 | 250 | ||
| 90th P. | 643 | 1200 | 3060 | 1420 | 2330 | 6540 | 330 | 5400 | 2400 | 750 | ||
| L5 | Max | NA | NA | 50 | 330 | 16,000 | 790 | 2400 | 1700 | 3500 | 1300 | |
| 80th P. | NA | NA | 50 | 212 | 560 | 182 | 286 | 490 | 1340 | 1100 | ||
| 90th P. | NA | NA | 50 | 212 | 560 | 182 | 286 | 490 | 1340 | 1100 | ||
| L6 | Max | 130 | 80 | 80 | 230 | 490 | 790 | 330 | 1300 | 490 | 2400 | |
| 80th P. | 42 | 66 | 24 | 71 | 20 | 78 | 20 | 45 | 45 | 45 | ||
| 90th P. | 86 | 73 | 52 | 152 | 45 | 302 | 45 | 91 | 78 | 146 | ||
| L7 | Max | 20 | 50 | 130 | 220 | 170 | <DL | 230 | 490 | <DL | 20 | |
| 80th P. | <DL | 20 | 20 | 220 | <DL | <DL | 40 | <DL | <DL | <DL | ||
| 90th P. | 16 | 35 | 75 | 220 | 74 | <DL | 75 | 30 | <DL | <DL | ||
| L8 | Max | 1700 | 790 | 490 | 5400 | 170 | 2200 | 490 | 2400 | 2400 | 2400 | |
| 80th P. | 110 | 80 | <DL | <DL | 20 | 45 | 71 | 422 | 790 | 394 | ||
| 90th P. | 1386 | 132 | 49 | 80 | 45 | 77 | 146 | 1096 | 892 | 790 | ||
| L9 | Max | 340 | 210 | 230 | 130 | 170 | 170 | 1400 | 490 | 230 | 1300 | |
| 80th P. | 170 | 146 | 184 | 80 | 45 | 32 | 58 | 230 | 170 | 230 | ||
| 90th P. | 252 | 186 | 228 | 98 | 58 | 112 | 150 | 230 | 200 | 394 | ||
Disclaimer/Publisher’s Note: The statements, opinions and data contained in all publications are solely those of the individual author(s) and contributor(s) and not of MDPI and/or the editor(s). MDPI and/or the editor(s) disclaim responsibility for any injury to people or property resulting from any ideas, methods, instructions or products referred to in the content. |
© 2023 by the authors. Licensee MDPI, Basel, Switzerland. This article is an open access article distributed under the terms and conditions of the Creative Commons Attribution (CC BY) license (https://creativecommons.org/licenses/by/4.0/).
Share and Cite
Braga, A.C.; Rodrigues, S.M.; Lourenço, H.M.; Costa, P.R.; Pedro, S. Bivalve Shellfish Safety in Portugal: Variability of Faecal Levels, Metal Contaminants and Marine Biotoxins during the Last Decade (2011–2020). Toxins 2023, 15, 91. https://doi.org/10.3390/toxins15020091
Braga AC, Rodrigues SM, Lourenço HM, Costa PR, Pedro S. Bivalve Shellfish Safety in Portugal: Variability of Faecal Levels, Metal Contaminants and Marine Biotoxins during the Last Decade (2011–2020). Toxins. 2023; 15(2):91. https://doi.org/10.3390/toxins15020091
Chicago/Turabian StyleBraga, Ana Catarina, Susana Margarida Rodrigues, Helena Maria Lourenço, Pedro Reis Costa, and Sónia Pedro. 2023. "Bivalve Shellfish Safety in Portugal: Variability of Faecal Levels, Metal Contaminants and Marine Biotoxins during the Last Decade (2011–2020)" Toxins 15, no. 2: 91. https://doi.org/10.3390/toxins15020091
APA StyleBraga, A. C., Rodrigues, S. M., Lourenço, H. M., Costa, P. R., & Pedro, S. (2023). Bivalve Shellfish Safety in Portugal: Variability of Faecal Levels, Metal Contaminants and Marine Biotoxins during the Last Decade (2011–2020). Toxins, 15(2), 91. https://doi.org/10.3390/toxins15020091

