Transcriptome Sequencing and Comparison of Venom Glands Revealed Intraspecific Differentiation and Expression Characteristics of Toxin and Defensin Genes in Mesobuthus martensii Populations
Abstract
:1. Introduction
2. Results
2.1. Morphological Intraspecific Differentiation of Mesobuthus martensii
2.1.1. Color
2.1.2. Body Size
2.1.3. Pectinal Teeth
2.1.4. Large Granules of Fingers
2.2. Genetic Distance Revealed That All Populations from the Reported Distribution Range Belong to Mesobuthus martensii
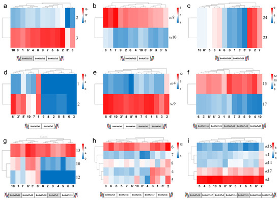
2.3. Comparison of Venom Gland Transcriptomes Revealed Intraspecific Variations in the Expression of Toxin Genes in Mesobuthus martensii
2.3.1. Expression of Sodium Channel Toxin Genes in Different Populations
2.3.2. Expression of Potassium Channel Toxin Genes in Different Populations
2.3.3. Expression of Calcium Channel Toxin Genes, Chloride Channel Toxin Genes, and Defensin Genes in Different Populations
2.4. Expression of Toxin Genes Indicated Sexual Dimorphism of Venom in Mesobuthus martensii
2.4.1. Expression Differences of Sodium Channel Toxin Genes in Different Populations Are More than That in Different Sexes from the Same Population
2.4.2. Expression Differences of Potassium Channel Toxin Genes in the Same Sexes from Different Populations of the Same Species Are Less than That in Different Sexes from the Same Population
2.4.3. Expression Differences of Calcium Channel Toxin Genes, Chloride Channel Toxin Genes, and Defensin Genes in Sexes from Different Populations
2.5. Expression of Toxin Genes in the Same Cluster of Mesobuthus martensii Genome
2.6. The Protein Evidences of Expressed Toxin Genes in Mesobuthus martensii
2.7. Validation of RNA-Seq Data by RT-qPCR Analysis
3. Discussion
4. Materials and Methods
4.1. Collection of Mesobuthus martensii
4.2. Morphological Study
4.3. Genetic Distance Calculation
4.4. Transcriptome Extraction, Sequencing, Annotation, and Gene Analysis
4.5. Proteomic Identification of Expressed Toxin Genes
4.6. RT-qPCR Analysis
Supplementary Materials
Author Contributions
Funding
Institutional Review Board Statement
Informed Consent Statement
Data Availability Statement
Acknowledgments
Conflicts of Interest
References
- Shi, C.; Huang, Z.; Wang, L.; He, L.; Hua, Y.; Leng, L.; Zhang, D. Geographical distribution of two species of Mesobuthus (Scorpiones, Buthidae) in China: Insights from systematic field surveys and predictive models. J. Arachnol. 2007, 35, 215–226. [Google Scholar] [CrossRef]
- Pan, J.H.; Yang, H.; Yu, Q.H.; Wang, F.; Qiu, Z.N.; Zhong, S.Q.; Zeng, Q.E.; Zhong, N.S. Clinical investigation of traditional Chinese medicine in treatment of 71 patients with severe acute respiratory syndrome. Chin. J. Integr. Tradit. West Med. Intensive Crit. Care 2003, 4, 204–207. [Google Scholar]
- Yaozhiwang. Available online: https://db.yaozh.com/ (accessed on 3 June 2022).
- Bi, M. Forty-six cases of mumps treated with scorpion and dipyridamole. Chin. J. Intergrative Med. 1996, 16, 384. [Google Scholar]
- Zhang, Z. Discussion on heat toxin syndrome of traditional Chinese medicine from influenza A (H1N1). Hebei J. Tradit. Chin. Med. 2010, 32, 1647–1648. [Google Scholar]
- Feng, P.; Shen, Z. Clinical analysis of 50 cases of severe hand foot mouth disease treated with integrated traditional Chinese and Western Medicine. Lishizhen Med. Mater. Med. Res. 2014, 25, 659–660. [Google Scholar]
- Guo, J. Record of Treating Japanese Encephalitis by Guo Keming, a Famous Doctor of Febrile Disease; People’s Medical Publishing House: Beijing, China, 2017; pp. 1–262. [Google Scholar]
- Xu, B.; Jiang, Z.; Jiang, Y. One hundred cases of infantile pneumonia treated with comprehensive therapy of traditional Chinese Medicine. Chin. J. Inf. Tradit. Chin. Med. 2013, 20, 72–73. [Google Scholar]
- Qi, J.; Zhu, M.; Lourenço, W.R. Redescription of Mesobuthus martensii martensii (Karsch, 1879) (Scorpiones: Buthidae) of China. Rev. Ibérica Aracnol. 2004, 10, 137–144. [Google Scholar]
- Zhang, L.; Zhu, M. Morphological variation of Mesobuthus martensii (Karsch, 1879) (Scorpiones: Buthidae) in Northern China. Euscorpius 2009, 81, 1–18. [Google Scholar] [CrossRef]
- Li, Y.; Fan, Q.S.; Zhang, Z.X.; Guo, P.; Ye, F.P.; Jiang, X.M.; Qiu, W.; Zhang, F.Q.; Zheng, Y.; Ao, L. Toxicity of Buthus martensii Karsch venom and preparation of its F(ab’)2 antibody. Chin. J. Biol. 2014, 27, 647–651. [Google Scholar]
- Shi, C.; Ji, Y.; Liu, L.; Wang, L.; Zhang, D. Impact of climate changes from Middle Miocene onwards on evolutionary diversification in Eurasia: Insights from the mesobuthid scorpions. Mol. Ecol. 2013, 22, 1700–1716. [Google Scholar] [CrossRef]
- Wang, W.; Liu, G.-M.; Zhang, D.-X. Intraspecific variation in metabolic rate and its correlation with local environment in the Chinese scorpion Mesobuthus martensii. Biol. Open 2019, 8, bio041533. [Google Scholar] [CrossRef] [PubMed]
- Gao, S.; Liang, H.; Shou, Z.; Yao, Y.; Lv, Y.; Shang, J.; Lu, W.; Jia, C.; Liu, Q.; Zhang, H.; et al. De novo transcriptomic and proteomic analysis and potential toxin screening of Mesobuthus martensii samples from four different provinces. J. Ethnopharmacol. 2021, 265, 113268. [Google Scholar] [CrossRef] [PubMed]
- Gao, S.; Wu, F.; Chen, X.; Yang, Y.; Zhu, Y.; Xiao, L.; Shang, J.; Bao, X.; Luo, Y.; Chen, H.; et al. Sex-Biased Gene Expression of Mesobuthus martensii Collected from Gansu Province, China, Reveals Their Different Therapeutic Potentials. Evid. Based Complement Alternat. Med. 2021, 6, 1–15. [Google Scholar] [CrossRef] [PubMed]
- Fet, V.; Lowe, G. Family Buthidae. In Catalog of the Scorpions of the World (1758–1998); Fet, V., Sissom, W.D., Lowe, G., Braunwalder, M.E., Eds.; The New York Entomological Society: New York, NY, USA, 2000; pp. 54–286. [Google Scholar]
- Abdel-Rahman, M.A.; Omran, M.A.A.; Abdel-Nabi, I.M.; Ueda, H.; McVean, A. Intraspecific variation in the Egyptian scorpion Scorpio maurus palmatus venom collected from different biotopes. Toxicon 2009, 53, 349–359. [Google Scholar] [CrossRef]
- Zhao, R.; Ma, Y.; He, Y.; Di, Z.; Wu, Y.; Cao, Z.; Li, W. Comparative venom gland transcriptome analysis of the scorpion Lychas mucronatus reveals intraspecific toxic gene diversity and new venomous components. BMC Genom. 2010, 11, 452. [Google Scholar]
- Carcamo-Noriegaa, E.N.; Olamendi-Portugal, T.; Restano-Cassulini, R.; Rowe, A.; Uribe-Romero, S.J.; Becerril, B.; Possani, L.D. Intraspecific variation of Centruroides sculpturatus scorpion venom from two regions of Arizona. Arch. Biochem. Biophys. 2018, 638, 52–57. [Google Scholar] [CrossRef]
- Cao, Z.; Yu, Y.; Wu, Y.; Hao, P.; Di, Z.; He, Y.; Chen, Z.; Yang, W.; Shen, Z.; He, X.; et al. The genome of Mesobuthus martensii reveals a unique adaptation model of arthropod. Nat. Commun. 2013, 3602, 1–10. [Google Scholar] [CrossRef]
- Xu, X.; Duan, Z.; Di, Z.; He, Y.; Li, J.; Li, Z.; Xie, C.; Zeng, X.; Cao, Z.; Wu, Y.; et al. Proteomic analysis of the venom from the scorpion Mesobuthus martensii. J. Proteom. 2014, 106, 162–180. [Google Scholar] [CrossRef]
- Li, W.; Wu, Y.; Cao, Z.; Di, Z. Composition and classification of scorpion toxins. In Scorpion Biology and Toxins; Li, W., Wu, Y., Cao, Z., Di, Z., Eds.; Science Press: Beijing, China, 2016; pp. 267–316. [Google Scholar]
- Li, W.; Wu, Y.; Cao, Z.; Di, Z. Structure and function of scorpion toxin. In Scorpion Biology and Toxins; Li, W., Wu, Y., Cao, Z., Di, Z., Eds.; Science Press: Beijing, China, 2016; pp. 346–438. [Google Scholar]
- Li, W.; Wu, Y.; Cao, Z.; Di, Z. Mesobuthus martensii venom omics. In Scorpion Biology and Toxins; Li, W., Wu, Y., Cao, Z., Di, Z., Eds.; Science Press: Beijing, China, 2016; pp. 439–482. [Google Scholar]
- Li, W.; Wu, Y.; Cao, Z.; Di, Z. The biological applications of scorpion toxins. In Scorpion Biology and Toxins; Li, W., Wu, Y., Cao, Z., Di, Z., Eds.; Science Press: Beijing, China, 2016; pp. 483–552. [Google Scholar]
- Sun, D.; Sun, Z. Notes on the genus Mesobuthus (Scorpiones: Buthidae) in China, with description of a new species. J. Arachnol. 2011, 39, 59–75. [Google Scholar] [CrossRef]
- Mirshamsi, O.; Sari, A.; Elahi, E. Phylogenetic relationships of Mesobuthus eupeus (C.L. Koch, 1839) inferred from COI sequences (Scorpiones: Buthidae). J. Nat. Hist. 2010, 44, 2851–2872. [Google Scholar] [CrossRef]
- Li, W.; Wu, Y.; Cao, Z.; Di, Z. Molecular evolution of scorpion toxin. In Scorpion Biology and Toxins; Li, W., Wu, Y., Cao, Z., Di, Z., Eds.; Science Press: Beijing, China, 2016; pp. 317–345. [Google Scholar]
- Hjelle, J.T. Anatomy and morphology. In The Biology of Scorpions; Polis, G.A., Ed.; Stanford University Press: Stanford, CA, USA, 1990; pp. 9–63. [Google Scholar]
- Sissom, W.D.; Polis, G.A.; Wait, D.D. Field and laboratory methods. In The Biology of Scorpions; Polis, G.A., Ed.; Stanford University Press: Stanford, CA, USA, 1990; pp. 445–461. [Google Scholar]
- Zhang, C.; Liao, Y.; Duan, J.; Song, Y.; Huang, D.; Wang, S. The Progresses of Dry-Wet Climate Divisional Research in China. Clim. Chang. Res. 2016, 12, 261–267. [Google Scholar]
- National Meteorological Science Data Center. Available online: http://data.cma.cn/ (accessed on 3 June 2022).
- NCBI. Available online: https://www.ncbi.nlm.nih.gov/ (accessed on 3 June 2022).
- Tamura, K.; Stecher, G.; Peterson, D.; Filipski, A.; Kumar, S. MEGA6: Molecular Evolutionary Genetics Analysis version 6.0. Mol. Biol. Evol. 2013, 30, 2725–2729. [Google Scholar] [CrossRef]
- Mesobuthus martensii, Whole Genome Shotgun Sequencing Project. Available online: https://www.ncbi.nlm.nih.gov/nuccore/AYEL00000000.1 (accessed on 3 June 2022).
- Hierarchical Clustering (Hclust). Available online: https://www.rdocumentation.org/packages/stats/versions/3.6.2/topics/hclust (accessed on 3 June 2022).
- Livak, K.; Schmittgen, T. Analysis of Relative Gene Expression Data Using Real-time Quantitative PCR and the 2−ΔΔCT. Methods 2001, 25, 402–408. [Google Scholar] [CrossRef]










Publisher’s Note: MDPI stays neutral with regard to jurisdictional claims in published maps and institutional affiliations. |
© 2022 by the authors. Licensee MDPI, Basel, Switzerland. This article is an open access article distributed under the terms and conditions of the Creative Commons Attribution (CC BY) license (https://creativecommons.org/licenses/by/4.0/).
Share and Cite
Di, Z.; Qiao, S.; Liu, X.; Xiao, S.; Lei, C.; Li, Y.; Li, S.; Zhang, F. Transcriptome Sequencing and Comparison of Venom Glands Revealed Intraspecific Differentiation and Expression Characteristics of Toxin and Defensin Genes in Mesobuthus martensii Populations. Toxins 2022, 14, 630. https://doi.org/10.3390/toxins14090630
Di Z, Qiao S, Liu X, Xiao S, Lei C, Li Y, Li S, Zhang F. Transcriptome Sequencing and Comparison of Venom Glands Revealed Intraspecific Differentiation and Expression Characteristics of Toxin and Defensin Genes in Mesobuthus martensii Populations. Toxins. 2022; 14(9):630. https://doi.org/10.3390/toxins14090630
Chicago/Turabian StyleDi, Zhiyong, Sha Qiao, Xiaoshuang Liu, Shuqing Xiao, Cheng Lei, Yonghao Li, Shaobin Li, and Feng Zhang. 2022. "Transcriptome Sequencing and Comparison of Venom Glands Revealed Intraspecific Differentiation and Expression Characteristics of Toxin and Defensin Genes in Mesobuthus martensii Populations" Toxins 14, no. 9: 630. https://doi.org/10.3390/toxins14090630
APA StyleDi, Z., Qiao, S., Liu, X., Xiao, S., Lei, C., Li, Y., Li, S., & Zhang, F. (2022). Transcriptome Sequencing and Comparison of Venom Glands Revealed Intraspecific Differentiation and Expression Characteristics of Toxin and Defensin Genes in Mesobuthus martensii Populations. Toxins, 14(9), 630. https://doi.org/10.3390/toxins14090630

