Reduction of Mycotoxigenic Fungi Growth and Their Mycotoxin Production by Bacillus subtilis QST 713
Abstract
1. Introduction
2. Results and Discussion
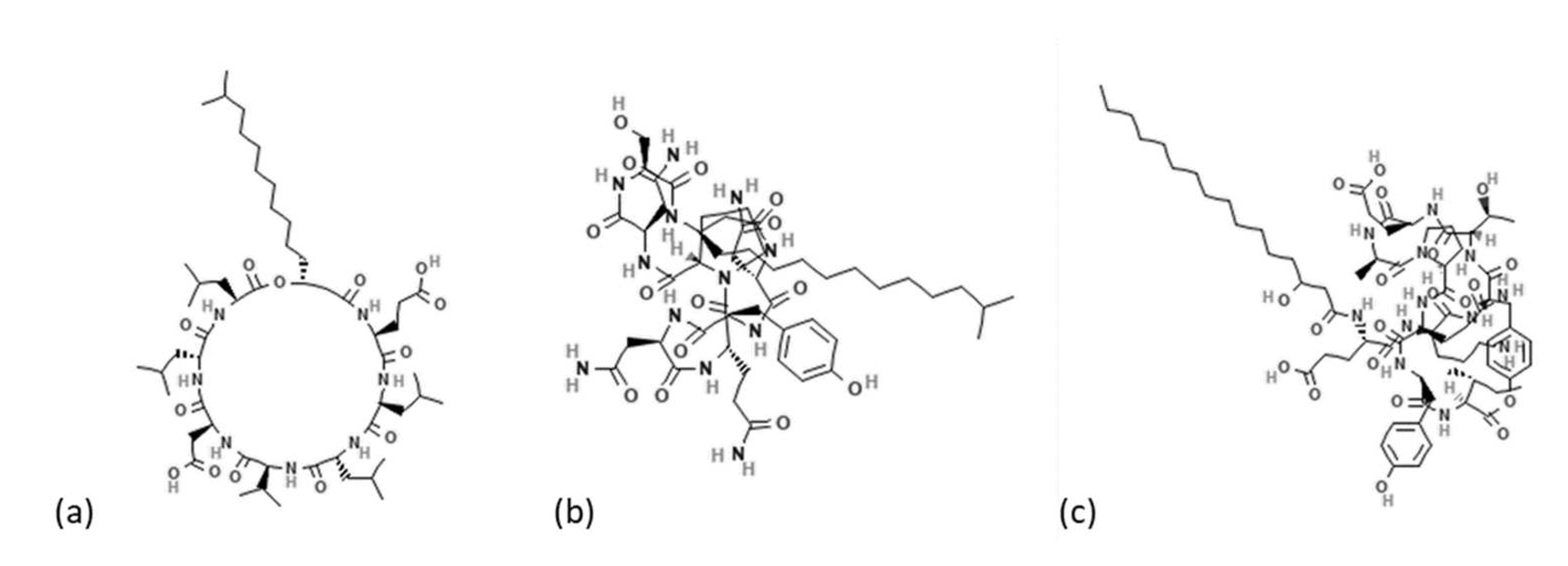
2.1. Lipopeptide Production of Bacillus subtilis QST 713
2.2. Reduction on Fungal Growth and Mycotoxin Production
3. Conclusions
4. Materials and Methods
4.1. Reagents and Standards
4.2. Preparation of Fungal Strains
4.3. Preparation of Bacterial Solution
4.4. Lipopeptide Analysis
4.5. In Vitro Experiment
4.6. In Vitro Bacterial Effect on Fungal Growth
4.7. Mycotoxin Analysis
4.8. Data Analysis
Author Contributions
Funding
Institutional Review Board Statement
Informed Consent Statement
Data Availability Statement
Conflicts of Interest
References
- Subba, R.; Mathur, P. Functional Attributes of Microbial and Plant Based Biofungicides for the Defense Priming of Crop Plants. Theor. Exp. Plant Physiol. 2022, 34, 301–333. [Google Scholar] [CrossRef]
- Patel, R.; Mehta, K.; Prajapati, J.; Shukla, A.; Parmar, P.; Goswami, D.; Saraf, M. An Anecdote of Mechanics for Fusarium Biocontrol by Plant Growth Promoting Microbes. Biological. Control 2022, 174, 105012. [Google Scholar] [CrossRef]
- Dame, Z.T.; Rahman, M.; Islam, T. Bacilli as Sources of Agrobiotechnology: Recent Advances and Future Directions. Biotechnol. Biotechnol. Equip. 2021, 14, 245–270. [Google Scholar] [CrossRef]
- Rani, A.; Saini, K.C.; Bast, F.; Varjani, S.; Mehariya, S.; Bhatia, S.K.; Sharma, N.; Funk, C. A Review on Microbial Products and Their Perspective Application as Antimicrobial Agents. Biomolecules 2021, 11, 1860. [Google Scholar] [CrossRef]
- Théatre, A.; Cano-Prieto, C.; Bartolini, M.; Laurin, Y.; Deleu, M.; Niehren, J.; Fida, T.; Gerbinet, S.; Alanjary, M.; Medema, M.H.; et al. The Surfactin-Like Lipopeptides from Bacillus Spp.: Natural Biodiversity and Synthetic Biology for a Broader Application Range. Front. Bioeng. Biotechnol. 2021, 9, 118. [Google Scholar] [CrossRef]
- Fei, D.; Liu, F.F.; Gang, H.Z.; Liu, J.F.; Yang, S.Z.; Ye, R.Q.; Mu, B.Z. A New Member of the Surfactin Family Produced by Bacillus Subtilis with Low Toxicity on Erythrocyte. Process Biochem. 2020, 94, 164–171. [Google Scholar] [CrossRef]
- Zhao, H.; Shao, D.; Jiang, C.; Shi, J.; Li, Q.; Huang, Q.; Rajoka, M.S.R.; Yang, H.; Jin, M. Biological Activity of Lipopeptides from Bacillus. Appl. Microbiol. Biotechnol. 2017, 101, 5951–5960. [Google Scholar] [CrossRef]
- Romero, D.; de Vicente, A.; Rakotoaly, R.H.; Dufour, S.E.; Veening, J.W.; Arrebola, E.; Cazorla, F.M.; Kuipers, O.P.; Paquot, M.; Pérez-García, A. The Iturin and Fengycin Families of Lipopeptides Are Key Factors in Antagonism of Bacillus Subtilis Toward Podosphaera Fusca. Mol. Plant Microbe Interact. 2007, 20, 430–440. [Google Scholar] [CrossRef]
- White, J.F.; Torres, M.S.; Sullivan, R.F.; Jabbour, R.E.; Chen, Q.; Tadych, M.; Irizarry, I.; Bergen, M.S.; Havkin-Frenkel, D.; Belanger, F.C. Occurrence of Bacillus amyloliquefaciens as a Systemic Endophyte of Vanilla Orchids. Microsc. Res. Tech. 2014, 77, 874–885. [Google Scholar] [CrossRef]
- Li, H.; Wang, X.; Han, M.; Zhao, Z.; Wang, M.; Tang, Q.; Liu, C.; Kemp, B.; Gu, Y.; Shuang, J.; et al. Endophytic Bacillus Subtilis ZZ120 and Its Potential Application in Control of Replant Diseases. Afr. J. Biotechnol. 2013, 11, 231–242. [Google Scholar] [CrossRef]
- Penha, R.O.; Vandenberghe, L.P.S.; Faulds, C.; Soccol, V.T.; Soccol, C.R. Bacillus Lipopeptides as Powerful Pest Control Agents for a More Sustainable and Healthy Agriculture: Recent Studies and Innovations. Planta 2020, 251, 1–15. [Google Scholar] [CrossRef]
- Li, T.; Li, L.; Du, F.; Sun, L.; Shi, J.; Long, M.; Chen, Z. Activity and Mechanism of Action of Antifungal Peptides from Microorganisms: A Review. Molecules 2021, 26, 3438. [Google Scholar] [CrossRef]
- Gutiérrez-Chávez, C.; Benaud, N.; Ferrari, B.C. The Ecological Roles of Microbial Lipopeptides: Where Are We Going? Comput. Struct. Biotechnol. J. 2021, 19, 1400. [Google Scholar] [CrossRef]
- Torres, M.J.; Pérez Brandan, C.; Sabaté, D.C.; Petroselli, G.; Erra-Balsells, R.; Audisio, M.C. Biological Activity of the Lipopeptide-Producing Bacillus amyloliquefaciens PGPBacCA1 on Common Bean Phaseolus Vulgaris L. Pathogens. Biol. Control 2017, 105, 93–99. [Google Scholar] [CrossRef]
- Gond, S.K.; Bergen, M.S.; Torres, M.S.; White, J.F. Endophytic Bacillus Spp. Produce Antifungal Lipopeptides and Induce Host Defence Gene Expression in Maize. Microbiol. Res. 2015, 172, 79–87. [Google Scholar] [CrossRef]
- Xiao, J.; Guo, X.; Qiao, X.; Zhang, X.; Chen, X.; Zhang, D. Activity of Fengycin and Iturin a Isolated from Bacillus Subtilis Z-14 on Gaeumannomyces Graminis Var. Tritici and Soil Microbial Diversity. Front. Microbiol. 2021, 12, 1602. [Google Scholar] [CrossRef]
- Kaur, P.K.; Joshi, N.; Singh, I.P.; Saini, H.S. Identification of Cyclic Lipopeptides Produced by Bacillus Vallismortis R2 and Their Antifungal Activity against Alternaria Alternata. J. Appl. Microbiol. 2017, 122, 139–152. [Google Scholar] [CrossRef]
- Cho, K.M.; Math, R.K.; Hong, S.Y.; Asraful Islam, S.M.; Mandanna, D.K.; Cho, J.J.; Yun, M.G.; Kim, J.M.; Yun, H.D. Iturin Produced by Bacillus Pumilus HY1 from Korean Soybean Sauce (Kanjang) Inhibits Growth of Aflatoxin Producing Fungi. Food Control 2009, 20, 402–406. [Google Scholar] [CrossRef]
- Dubey, S.C.; Singh, V.; Priyanka, K.; Upadhyay, B.K.; Singh, B. Combined Application of Fungal and Bacterial Bio-Agents, Together with Fungicide and Mesorhizobium for Integrated Management of Fusarium Wilt of Chickpea. BioControl 2015, 60, 413–424. [Google Scholar] [CrossRef]
- Kim, K.; Lee, Y.; Ha, A.; Kim, J.I.; Park, A.R.; Yu, N.H.; Son, H.; Choi, G.J.; Park, H.W.; Lee, C.W.; et al. Chemosensitization of Fusarium Graminearum to Chemical Fungicides Using Cyclic Lipopeptides Produced by Bacillus amyloliquefaciens Strain JCK-12. Front. Plant Sci. 2017, 8, 2010. [Google Scholar] [CrossRef]
- Wang, S.; Wang, R.; Zhao, X.; Ma, G.; Liu, N.; Zheng, Y.; Tan, J.; Qi, G. Systemically Engineering Bacillus amyloliquefaciens for Increasing Its Antifungal Activity and Green Antifungal Lipopeptides Production. Front. Bioeng. Biotechnol. 2022, 10, 961535. [Google Scholar] [CrossRef] [PubMed]
- Veras, F.F.; Correa, A.P.F.; Welke, J.E.; Brandelli, A. Inhibition of Mycotoxin-Producing Fungi by Bacillus Strains Isolated from Fish Intestines. Int. J. Food Microbiol. 2016, 238, 23–32. [Google Scholar] [CrossRef] [PubMed]
- Vignesh, M.; Shankar, S.R.M.; Subramani, N.; VedhaHari, B.N.; Ramyadevi, D. Study on Spray-Drying of Bacillus Velezensis NKMV-3 Strain, Its Formulation and Bio Efficacy against Early Blight of Tomato. Biocatal. Agric. Biotechnol. 2022, 45, 102483. [Google Scholar] [CrossRef]
- Martínez-Culebras, P.V.; Gandía, M.; Garrigues, S.; Marcos, J.F.; Manzanares, P. Antifungal Peptides and Proteins to Control Toxigenic Fungi and Mycotoxin Biosynthesis. Int. J. Mol. Sci. 2021, 22, 13261. [Google Scholar] [CrossRef]
- Abbasi, P.A.; Weselowski, B. Efficacy of Bacillus Subtilis QST 713 Formulations, Copper Hydroxide, and Their Tank Mixes on Bacterial Spot of Tomato. Crop Prot. 2015, 74, 70–76. [Google Scholar] [CrossRef]
- Huang, Y.; Zhang, X.; Xu, H.; Zhang, F.; Zhang, X.; Yan, Y.; He, L.; Liu, J. Isolation of Lipopeptide Antibiotics from Bacillus Siamensis: A Potential Biocontrol Agent for Fusarium Graminearum. Can. J. Microbiol. 2022, 68, 403–411. [Google Scholar] [CrossRef]
- Zhang, D.; Qiang, R.; Zhou, Z.; Pan, Y.; Yu, S.; Yuan, W.; Cheng, J.; Wang, J.; Zhao, D.; Zhu, J.; et al. Biocontrol and Action Mechanism of Bacillus Subtilis Lipopeptides’ Fengycins Against Alternaria Solani in Potato as Assessed by a Transcriptome Analysis. Front. Microbiol. 2022, 13, 1620. [Google Scholar] [CrossRef]
- Xie, S.; Jiang, L.; Wu, Q.; Wan, W.; Gan, Y.; Zhao, L.; Wen, J. Maize Root Exudates Recruit Bacillus amyloliquefaciens OR2-30 to Inhibit Fusarium Graminearum Infection. Phytopathology 2022, 112, 1886–1893. [Google Scholar] [CrossRef]
- Medina, Á.; Rodríguez, A.; Magan, N. Climate Change and Mycotoxigenic Fungi: Impacts on Mycotoxin Production. Curr. Opin. Food Sci. 2015, 5, 99–104. [Google Scholar] [CrossRef]
- Ponts, N. Mycotoxins Are a Component of Fusarium Graminearum Stress-Response System. Front. Microbiol. 2015, 6, 1234. [Google Scholar] [CrossRef]
- Hanif, A.; Zhang, F.; Li, P.; Li, C.; Xu, Y.; Zubair, M.; Zhang, M.; Jia, D.; Zhao, X.; Liang, J.; et al. Fengycin Produced by Bacillus amyloliquefaciens FZB42 Inhibits Fusarium Graminearum Growth and Mycotoxins Biosynthesis. Toxins 2019, 11, 295. [Google Scholar] [CrossRef] [PubMed]
- Jiang, C.; Li, Z.; Shi, Y.; Guo, D.; Pang, B.; Chen, X.; Shao, D.; Liu, Y.; Shi, J. Bacillus Subtilis Inhibits Aspergillus Carbonarius by Producing Iturin A, Which Disturbs the Transport, Energy Metabolism, and Osmotic Pressure of Fungal Cells as Revealed by Transcriptomics Analysis. Int. J. Food Microbiol. 2020, 330, 108783. [Google Scholar] [CrossRef] [PubMed]
- Galitskaya, P.; Karamova, K.; Biktasheva, L.; Galieva, G.; Gordeev, A.; Selivanovskaya, S. Lipopeptides Produced by Bacillus Mojavensis P1709 as an Efficient Tool to Maintain Postharvest Cherry Tomato Quality and Quantity. Agriculture 2022, 12, 609. [Google Scholar] [CrossRef]
- Fu, R.; Tang, W.; Zhang, H.; Zhang, Y.; Wang, D.; Chen, W. Study on the Mechanism of Inhibiting Patulin Production by Fengycin. Open Life Sci. 2022, 17, 372–379. [Google Scholar] [CrossRef] [PubMed]
- Hashem, A.; Tabassum, B.; Fathi Abd_Allah, E. Bacillus Subtilis: A Plant-Growth Promoting Rhizobacterium That Also Impacts Biotic Stress. Saudi J. Biol. Sci. 2019, 26, 1291–1297. [Google Scholar] [CrossRef]
- Kiesewalter, H.T.; Lozano-Andrade, C.N.; Wibowo, M.; Strube, M.L.; Maróti, G.; Snyder, D.; Jørgensen, T.S.; Larsen, T.O.; Cooper, V.S.; Weber, T.; et al. Genomic and Chemical Diversity of Bacillus Subtilis Secondary Metabolites against Plant Pathogenic Fungi. mSystems 2021, 6, e00770-20. [Google Scholar] [CrossRef]
- Leslie, J.F.; Summerell, B.A. The Fusarium Laboratory Manual; Blackwell Pub.: Ames, IA, USA, 2007; pp. 1–388. [Google Scholar] [CrossRef]
- Battilani, P.; Camardo Leggieri, M.; Rossi, V.; Giorni, P. AFLA-Maize, a Mechanistic Model for Aspergillus Flavus Infection and Aflatoxin B1 Contamination in Maize. Comput. Electron. Agric. 2013, 94, 38–46. [Google Scholar] [CrossRef]
- Simmons, E.G. Alternaria Thunbergiae. In Alternaria: An Identification Manual; Simmons, E.G., Ed.; CBS Fungal Biodiversity Centre: Utrecht, The Netherlands, 2007; pp. 136–137. [Google Scholar]


| Lipopeptide Family | [M-H]+ | Possible Assignment | Retention Time |
|---|---|---|---|
| Surfactin C | 995 | Surfactin C12 | 13.95 |
| 1009 | Surfactin C13 | 14.93 | |
| 1023 | Surfactin C14 | 17.31 | |
| 1037 | Surfactin C15 | 18.68 | |
| Iturin A | 1044 | Iturin C14 | 7.02 |
| 1058 | Iturin C15 | 7.25 | |
| 1072 | Iturin C16 | 7.66 | |
| 1086 | Iturin C17 | 7.93 | |
| Fengycin C | 1437 | Fengycin C14 | 7.19 |
| 1451 | Fengycin C15 | 7.67 | |
| 1465 | Fengycin C16 | 7.70 | |
| 1479 | Fengycin C17 | 7.86 | |
| 1493 | Fengycin C18 | 7.89 | |
| 1507 | Fengycin C19 | 8.06 |
| Fungal Isolates | Treatments | Average Radial Fungal Growth (mm) | Average Reduction % |
|---|---|---|---|
| Aspergillus flavus | Control (untreated) | 77.5 ± 2.5 a | |
| + Bacillus subtilis cell-free broth | 70.2 ± 16.0 a | 9.5 | |
| Fusarium verticillioides | Control (untreated) | 81.0 ± 0.0 a | |
| + Bacillus subtilis cell-free broth | 59.7 ± 2.5 b | 26.3 | |
| Fusarium graminearum | Control (untreated) | 85.0 ± 0.0 a | |
| + Bacillus subtilis cell-free broth | 12.2 ± 2.5 b | 85.7 | |
| Aspergillus carbonarius | Control (untreated) | 73.8 ± 1.3 a | |
| + Bacillus subtilis cell-free broth | 50.5 ± 4.7 b | 31.5 | |
| Alternaria alternata | Control (untreated) | 72.3 ± 3.8 a | |
| + Bacillus subtilis cell-free broth | 10.0 ± 3.3 b | 86.2 |
| Aspergillus flavus | Aspergillus carbonarius | Fusarium verticillioides | Fusarium graminearum | Alternaria alternata | ||||||
|---|---|---|---|---|---|---|---|---|---|---|
| Treatment | AFB1 | OTA | FB1 | FB2 | DON | ZEA | AOH | AME | TEA | TEN |
| Control (untreated) | 182.9 ± 8.0 a | 63333 ± 13053 a | 752.2 ± 91.3 a | 182.3 ± 22.0 a | 100.8 ± 22.4 a | 109.2 ± 1.9 a | 323.9 ± 77.3 a | 1513.7 ± 235.7 a | 1678.0 ± 270.8 a | 21.3 ± 5.3 a |
| Raw Bacillus subtilis broth | <0.1 c | 184.3 ± 146 c | 51.7 ± 34.5 c | 10.7 ± 7.4 b | <0.5 c | <0.2 c | 3.7 ± 0.3 c | 39.7 ± 6.8 b | <0.5 b | 0.3 ± 0.1 b |
| Bacillus subtilis-cell-free broth | 53.2 ± 31.6 b | 2700 ± 1450 b | 305.7 ± 67.6 b | 52.3 ± 36.7 b | 10.5 ± 3.9 b | 41.8 ± 15.5 b | 11.5 ± 5.1 b | 46.1 ± 24.8 b | <0.5 b | 1.2 ± 0.8 b |
Publisher’s Note: MDPI stays neutral with regard to jurisdictional claims in published maps and institutional affiliations. |
© 2022 by the authors. Licensee MDPI, Basel, Switzerland. This article is an open access article distributed under the terms and conditions of the Creative Commons Attribution (CC BY) license (https://creativecommons.org/licenses/by/4.0/).
Share and Cite
Bertuzzi, T.; Leni, G.; Bulla, G.; Giorni, P. Reduction of Mycotoxigenic Fungi Growth and Their Mycotoxin Production by Bacillus subtilis QST 713. Toxins 2022, 14, 797. https://doi.org/10.3390/toxins14110797
Bertuzzi T, Leni G, Bulla G, Giorni P. Reduction of Mycotoxigenic Fungi Growth and Their Mycotoxin Production by Bacillus subtilis QST 713. Toxins. 2022; 14(11):797. https://doi.org/10.3390/toxins14110797
Chicago/Turabian StyleBertuzzi, Terenzio, Giulia Leni, Giulia Bulla, and Paola Giorni. 2022. "Reduction of Mycotoxigenic Fungi Growth and Their Mycotoxin Production by Bacillus subtilis QST 713" Toxins 14, no. 11: 797. https://doi.org/10.3390/toxins14110797
APA StyleBertuzzi, T., Leni, G., Bulla, G., & Giorni, P. (2022). Reduction of Mycotoxigenic Fungi Growth and Their Mycotoxin Production by Bacillus subtilis QST 713. Toxins, 14(11), 797. https://doi.org/10.3390/toxins14110797

