Clinical and Neurophysiological Effects of Botulinum Neurotoxin Type A in Chronic Migraine
Abstract
1. Introduction
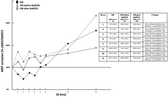
2. Results
3. Discussion
4. Conclusions
5. Materials and Methods
5.1. Study Population
5.2. BoNT/A Treatment Protocol
5.3. TMS Protocol
- (a)
- Rest motor threshold (RMT), defined as the minimum stimulus intensity which, in a sequence of 20 stimuli, can evoke MEPs with peak-to-peak amplitudes > 50 μV in at least 50% of trials (10 out of 20 trials) [38].
- (b)
- Cortical silent period (CSP), defined as the period of electrical silence in the surface EMG activity that occurs immediately after the MEP when a focal suprathreshold TMS is delivered to the motor cortex during a tonic muscle contraction [28].
- (c)
- Central motor conduction time (CMCT), calculated by subtracting the peripheral conduction time from the latency of MEPs evoked by transcranial cortical stimulation. Peripheral conduction time was estimated by taking half of the result of adding the F wave latency and the M wave latency to nerve stimulation (cathode proximal) and subtracting 1 ms, i.e., (F + M − 1)/2 [28].
- (a)
- Short interval intracortical inhibition (SICI), elicited by delivering a subthreshold (80% RMT) conditioning stimulus (CS) followed by a suprathreshold (120% RMT) test stimulus (TS) at interstimulus intervals (ISIs) of 1, 2, 3, and 6 ms.
- (b)
- Intracortical facilitation (ICF), evoked with a similar protocol as SICI but at longer ISIs of 10 and 15 ms.
5.4. Statistical Analysis
Author Contributions
Funding
Institutional Review Board Statement
Informed Consent Statement
Data Availability Statement
Conflicts of Interest
References
- Elman, I.; BorsooK, D. Common Brain Mechanisms of Chronic Pain and Addiction. Neuron 2016, 89, 11–36. [Google Scholar] [CrossRef]
- Pace, A.; Mueller, B. From Episodic to Chronic: A Discussion on Headache Transformation. In Chronic Headache; Green, M.W., Cowan, R., Freitag, F., Eds.; Springer International Publishing: Berlin/Heidelberg, Germany, 2019; pp. 313–320. [Google Scholar] [CrossRef]
- Woolf, C.J. Central sensitization: Implications for the diagnosis and treatment of pain. Pain 2011, 152, S2–S15. [Google Scholar] [CrossRef]
- Andreou, A.P.; Holland, P.R.; Akerman, S.; Summ, O.; Fredrick, J.; Goadsby, P.J. Transcranial magnetic stimulation and potential cortical and trigeminothalamic mechanisms in migraine. Brain 2016, 139, 2002–2014. [Google Scholar] [CrossRef]
- Headache Classification Committee of the International Headache Society (IHS). The International Classification of Headache Disorders, 3rd edition. Cephalalgia 2018, 38, 1–211. [Google Scholar] [CrossRef] [PubMed]
- Pierelli, F.; Iacovelli, E.; Bracaglia, M.; Serrao, M.; Coppola, G. Abnormal sensorimotor plasticity in migraine without aura patients. Pain 2013, 154, 1738–1742. [Google Scholar] [CrossRef] [PubMed]
- Brighina, F.; Cosentino, G.; Fierro, B. Brain stimulation in migraine. Handb. Clin. Neurol. 2013, 116, 585–598. [Google Scholar] [CrossRef] [PubMed]
- Viganò, A.; Toscano, M.; Puledda, F.; Di Piero, V. Treating Chronic Migraine with Neuromodulation: The Role of Neurophysiological Abnormalities and Maladaptive Plasticity. Front. Pharm. 2019, 5, 10–32. [Google Scholar] [CrossRef]
- Apkarian, A.V.; Hashmi, J.A.; Baliki, M.N. Pain and the brain: Specificity and plasticity of the brain in clinical chronic pain. Pain 2011, 152, S49–S64. [Google Scholar] [CrossRef]
- Zhuo, M. Cortical plasticity as synaptic mechanism for chronic pain. J. Neural Transm. 2020, 127, 567–573. [Google Scholar] [CrossRef]
- Blumenfeld, A.; Silberstein, S.D.; Dodick, D.W.; Aurora, S.K.; Turkel, C.C.; Binder, W.J. Method of injection of onabotulinumtoxinA for chronic migraine: A safe, well-tolerated, and effective treatment paradigm based on the PREEMPT clinical program. Headache 2010, 50, 1406–1418. [Google Scholar] [CrossRef]
- Restani, L.; Antonucci, F.; Gianfranceschi, L.; Rossi, C.; Rossetto, O.; Caleo, M. Evidence for Anterograde Transport and Transcytosis of Botulinum Neurotoxin A (BoNT/A). J. Neurosci. 2011, 31, 15650–15659. [Google Scholar] [CrossRef] [PubMed]
- Restani, L.; Giribaldi, F.; Manich, M.; Bercsenyi, K.; Menendez, G.; Rossetto, O.; Caleo, M.; Schiavo, G. Botulinum Neurotoxins A and E Undergo Retrograde Axonal Transport in Primary Motor Neurons. PLoS Pathog. 2012, 8, e1003087. [Google Scholar] [CrossRef] [PubMed]
- Lackovic, Z. New analgesic: Focus on botulinum toxin. Toxicon 2020, 179, 1–7. [Google Scholar] [CrossRef] [PubMed]
- Safarpour, Y.; Jabbari, B. Botulinum toxin treatment of pain sindromes—An evidence based review. Toxicon 2018, 147, 120–128. [Google Scholar] [CrossRef]
- Aoki, K.R. Review of a proposed mechanism for the antinociceptive action of botulinum toxin type A. Neurotoxicology 2005, 26, 785–793. [Google Scholar] [CrossRef] [PubMed]
- Lai, T.H.; Protsenko, E.; Cheng, Y.C.; Loggia, M.L.; Coppola, G.; Chen, W.T. Neural Plasticity in Common Forms of Chronic Headaches. Neural Plast. 2015, 2015, 205985. [Google Scholar] [CrossRef] [PubMed]
- Khedr, E.M.; Ahmed, M.A.; Mohamed, K.A. Motor and visual cortical excitability in migraineurs patients with or without aura: Transcranial magnetic stimulation. Neurophysiol. Clin. 2006, 36, 13–18. [Google Scholar] [CrossRef]
- Cueva, A.S.; Galhardoni, R.; Cury, R.G.; Parravano, D.C.; Correa, G.; Araujo, H.; Cecilio, S.B.; Raicher, I.; Toledo, D.; Silva, V.; et al. Normative data of cortical excitability measurements obtained by transcranial magnetic stimulation in healthy subjects. Neurophysiol. Clin. 2016, 46, 43–51. [Google Scholar] [CrossRef]
- Aurora, S.K.; Ahmad, B.K.; Welch, K.M.; Bhardhwaj, P.; Ramadan, N.M. Transcranial magnetic stimulation confirms hyperexcitability of occipital cortex in migraine. Neurology 1998, 50, 1111–1114. [Google Scholar] [CrossRef]
- Werhahn, K.J.; Wiseman, K.; Herzog, J.; Förderreuther, S.; Dichgans, M.; Straube, A. Motor cortex excitability in patients with migraine with aura and hemiplegic migraine. Cephalalgia 2000, 20, 45–50. [Google Scholar] [CrossRef] [PubMed]
- Áfra, J.; Mascia, A.; Gérard, P.; Maertens de Noordhout, A.; Schoenen, J. Interictal cortical excitability in migraine: A study using transcranial magnetic stimulation of motor and visual cortices. Ann. Neurol. 1998, 44, 209–215. [Google Scholar] [CrossRef]
- Lipton, R.B. Tracing transformation chronic migraine: Classification, progression and epidemiology. Neurology 2009, 72, S3–S7. [Google Scholar] [CrossRef] [PubMed]
- Stankewitz, A.; Aderjan, D.; Eippert, F.; May, A. Trigeminal Nociceptive Transmission in Migraineurs Predicts Migraine Attacks. J. Neurosci. 2011, 31, 1937–1943. [Google Scholar] [CrossRef]
- Ramachandran, R.; Yaksh, T.L. Therapeutic use of botulinum toxin in migraine: Mechanisms of action. Br. J. Pharm. 2014, 171, 4177–4192. [Google Scholar] [CrossRef]
- Herd, C.P.; Tomlinson, C.L.; Rick, C.; Scotton, W.J.; Edwards, J.; Ives, N.; Clarke, C.E.; Sinclair, A. Botulinum toxins for prevention of migraine in adults. Cochrane Database Syst. Rev. 2018, 25, CD011616. [Google Scholar] [CrossRef] [PubMed]
- Ziemann, U.; Lonnecker, S.; Steinhoff, B.J.; Paulus, W. Effects of antiepileptic drugs on motor cortex excitability in humans: A transcranial magnetic stimulation study. Ann. Neurol. 1996, 40, 367–378. [Google Scholar] [CrossRef]
- Rossini, P.M.; Burke, D.; Chen, R.; Cohen, L.G.; Daskalakis, Z.; Di Iorio, R.; Di Lazzaro, V.; Ferreri, F.; Fitzgerald, P.B.; George, M.S.; et al. Non-invasive electrical and magnetic stimulation of the brain, spinal cord, roots and peripheral nerves: Basic principles and procedures for routine clinical and research application. An updated report from an I.F.C.N. Committee. Clin. Neurophysiol. 2015, 126, 1071–1107. [Google Scholar] [CrossRef]
- Di Lazzaro, V.; Pilato, F.; Dileone, M.; Profice, P.; Ranieri, F.; Ricci, V.; Bria, P.; Tonali, P.A.; Ziemann, U. Segregating two inhibitory circuits in human motor cortex at the level of GABAA receptor subtypes: A TMS study. Clin. Neurophysiol. 2007, 118, 2207–2214. [Google Scholar] [CrossRef]
- Buse, D.C.; Silberstein, S.D.; Manack, A.N.; Papapetropoulos, S.; Lipton, R.B. Psychiatric comorbidities of chronic and episodic migraine. J. Neurol. 2013, 260, 1960–1969. [Google Scholar] [CrossRef] [PubMed]
- Bunse, T.; Wobrock, T.; Strube, W.; Padberg, F.; Palm, U.; Falkai, P.; Hasan, A. Motor cortical excitability assessed by transcranial magnetic stimulation in psychiatric disorders. A systematic review. Brain Stimul. 2014, 7, 158–169. [Google Scholar] [CrossRef] [PubMed]
- Rossi, S.; De Capua, A.; Tavanti, M.; Calossi, S.; Polizzotto, N.R.; Mantovani, A.; Falzarano, V.; Bossini, L.; Passero, S.; Bartalini, S.; et al. Dysfunctions of cortical excitability in drug-naive posttraumatic stress disorder patients. Biol. Psychiatry 2009, 66, 54–61. [Google Scholar] [CrossRef]
- Blumenfeld, A.M.; Tepper, S.J.; Robbins, L.D.; Manack Adams, A.; Buse, D.C.; Orejudos, A.; Silberstein, S.D. Effects of onabotulinumtoxinA treatment for chronic migraine on common comorbidities including depression and anxiety. J. Neurol. Neurosurg. Psychiatry 2019, 90, 353–360. [Google Scholar] [CrossRef]
- Stewart, W.F.; Lipton, R.B.; Dowson, A.J.; Sawyer, J. Development and testing of the Migraine Disability Assessment (MIDAS) Questionnaire to assess headache- related disability. Neurology 2001, 56, S20–S28. [Google Scholar] [CrossRef] [PubMed]
- Diener, H.C.; Dodick, D.W.; Aurora, S.K.; Turkel, C.C.; DeGrise, R.E.; Lipton, R.B.; Silberstein, S.D.; Brin, M.F. PREEMPT 2 Chronic Migraine Study Group. OnabotulinumtoxinA for treatment of chronic migraine: Results from the double-blind, randomized, placebo-controlled phase of the PREEMPT 2 trial. Cephalalgia 2010, 30, 804–814. [Google Scholar] [CrossRef] [PubMed]
- Dodick, D.W.; Turkel, C.C.; Degryse, R.E.; Aurora, S.K.; Silberstein, S.D.; Lipton, R.B.; Diener, H.C.; Brin, M.F. PREEMPT Chronic Migraine Study Group. OnabotulinumtoxinA for treatment of chronic migraine: Pooled results from the double-blind, randomized placebo-controlled phases of the PREEMPT clinical program. Headache 2010, 50, 921–936. [Google Scholar] [CrossRef] [PubMed]
- Groppa, S.; Oliviero, A.; Eisen, A.; Quartarone, A.; Cohen, l.G.; Mall, V.; Kaelin-Lang, A.; Mima, T.; Rossi, S.; Thickbroom, G.W.; et al. A practical guide to diagnostic transcranial magnetic stimulation: Report of an IFCN committee. Clin. Neurophysiol. 2012, 123, 858–882. [Google Scholar] [CrossRef]
- Rossini, P.M.; Barker, A.T.; Berardelli, A.; Caramia, M.D.; Caruso, G.; Cracco, R.Q.; Dimitrijević, M.R.; Hallett, M.; Katayama, Y.; Lücking, C.H.; et al. Noninvasive electrical and magnetic stimulation of the brain, spinal cord and roots: Basic principles and procedures for routine clinical application. Report of an IFCN committee. Electroencephalogr. Clin. Neurophysiol. 1994, 91, 79–92. [Google Scholar] [CrossRef]
- Kujirai, T.; Caramia, M.D.; Rothwell, J.C.; Day, B.L.; Thompson, P.D.; Ferbert, A.; Wroe, S.; Asselman, P.; Marsden, C.D. Corticocortical inhibition in human motor cortex. J. Physiol. 1993, 471, 501–519. [Google Scholar] [CrossRef]

| Left hemisphere | Right hemisphere | |||||
| A | RMT (%MSO) mean ± SD | CSP (ms) mean ± SD | CMCT (ms) mean ± SD | RMT (%MSO) mean ± SD | CSP (ms) mean ± SD | CMCT (ms) mean ± SD |
| Episodic Migraine | 53.54 ± 6.58 | 91.11 ± 58.70 | 6.39 ± 1.25 | 52.00 ± 4.28 | 91.9 ± 36.84 | 7.86 ± 1.62 |
| Chronic Migraine before BoNT/A | 45.54 ± 8.10 | 68.04 ± 33.4 | 7.17 ± 1.55 | 46.00 ± 7.80 | 80.80 ± 44.78 | 7.54 ± 1.24 |
| p-value | 0.02 * | 0.29 | 0.89 | 0.03 * | 0.61 | 0.21 |
| Left hemisphere | Right hemisphere | |||||
| B | RMT (%MSO) mean ± SD | CSP (ms) mean ± SD | CMT (ms) mean ± SD | RMT (%MSO) mean ± SD | CSP (ms) mean ± SD | CMT (ms) mean ± SD |
| Chronic Migraine before BoNT/A | 45.54 ± 8.10 | 68.04 ± 33.40 | 7.17 ± 1.55 | 45.90 ± 7.84 | 80.81 ± 44.78 | 7.54 ± 1.24 |
| Chronic Migraine after BoNT/A | 44.57 ± 2.99 | 65.60 ± 17.57 | 7.72 ± 1.32 | 42.14 ± 3.93 | 58.64 ± 29.03 | 8.22 ± 0.99 |
| p-value | 0.77 | 0.87 | 0.44 | 0.26 | 0.27 | 0.25 |
Publisher’s Note: MDPI stays neutral with regard to jurisdictional claims in published maps and institutional affiliations. |
© 2021 by the authors. Licensee MDPI, Basel, Switzerland. This article is an open access article distributed under the terms and conditions of the Creative Commons Attribution (CC BY) license (https://creativecommons.org/licenses/by/4.0/).
Share and Cite
Valente, M.; Lettieri, C.; Russo, V.; Janes, F.; Gigli, G.L. Clinical and Neurophysiological Effects of Botulinum Neurotoxin Type A in Chronic Migraine. Toxins 2021, 13, 392. https://doi.org/10.3390/toxins13060392
Valente M, Lettieri C, Russo V, Janes F, Gigli GL. Clinical and Neurophysiological Effects of Botulinum Neurotoxin Type A in Chronic Migraine. Toxins. 2021; 13(6):392. https://doi.org/10.3390/toxins13060392
Chicago/Turabian StyleValente, Mariarosaria, Christian Lettieri, Valentina Russo, Francesco Janes, and Gian Luigi Gigli. 2021. "Clinical and Neurophysiological Effects of Botulinum Neurotoxin Type A in Chronic Migraine" Toxins 13, no. 6: 392. https://doi.org/10.3390/toxins13060392
APA StyleValente, M., Lettieri, C., Russo, V., Janes, F., & Gigli, G. L. (2021). Clinical and Neurophysiological Effects of Botulinum Neurotoxin Type A in Chronic Migraine. Toxins, 13(6), 392. https://doi.org/10.3390/toxins13060392

