Effects of Tall Fescue Endophyte Type and Dopamine Receptor D2 Genotype on Cow-Calf Performance during Late Gestation and Early Lactation
Abstract
1. Introduction
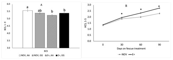
2. Results
3. Discussion
4. Conclusions
5. Materials and Methods
5.1. Genotyping
5.2. Design
5.3. Forage Analysis
5.4. Blood Samples
5.5. Animals
5.6. Statistics
Author Contributions
Funding
Institutional Review Board Statement
Informed Consent Statement
Data Availability Statement
Acknowledgments
Conflicts of Interest
References
- Ball, D.M.; Lacefield, G.D.; Hoveland, C.S. The Wonder Grass—The Story of Tall Fescue in the United States; Oregon Tall Fescue Commission: Salem, OR, USA, 2019. [Google Scholar]
- Kallenbach, R.L.; Bill, R. Kunkle interdisciplinary beef symposium: Coping with tall fescue toxicosis: Solutions and realities. J. Anim. Sci. 2015, 93, 5487–5495. [Google Scholar] [CrossRef] [PubMed]
- Roberts, C.; Andrae, J. Tall fescue toxicosis and management. Crop Manag. 2004, 3, 1–18. [Google Scholar] [CrossRef]
- Young, C.A.; Charlton, N.D.; Takach, J.E.; Swoboda, G.A.; Trammell, M.A.; Huhman, D.V.; Hopkins, A.A. Characterization of Epichloë coenophiala within the US: Are all tall fescue endophytes created equal? Front. Chem. 2014, 2, 95. [Google Scholar] [CrossRef]
- Klotz, J.L. Activities and effects of ergot alkaloids on livestock physiology and production. Toxins 2015, 7, 2801–2821. [Google Scholar] [CrossRef]
- Schardl, C.L. Introduction to the toxins special issue on ergot alkaloids. Toxins 2015, 7, 4232–4237. [Google Scholar] [CrossRef]
- Reddy, P.; Hemsworth, J.; Guthridge, K.M.; Vinh, A.; Vassiliadis, S.; Ezernieks, V.; Spangenberg, G.C.; Rochfort, S.J. Ergot alkaloid mycotoxins: Physiological effects, metabolism and distribution of the residual toxin in mice. Sci. Rep. 2020, 10, 9714. [Google Scholar] [CrossRef]
- Foote, A.P.; Harmon, D.L.; Brown, K.R.; Strickland, J.R.; McLeod, K.R.; Bush, L.P.; Klotz, J.L. Constriction of bovine vasculature caused by endophyte-infected tall fescue seed extract is similar to pure ergovaline. J. Anim. Sci. 2012, 90, 1603–1609. [Google Scholar] [CrossRef]
- Gay, N.; Boling, J.A.; Dew, R.; Miksch, E.D. Effects of endophyte infected tall fescue on beef cow-calf performance. Appl. Agric. Res. 1988, 3, 182. [Google Scholar]
- Porter, J.K.; Thompson, F.N., Jr. Effects of fescue toxicosis on reproduction in livestock. J. Anim. Sci. 1992, 70, 1594–1603. [Google Scholar] [CrossRef] [PubMed]
- Poole, R.K.; Poole, D.H. Impact of ergot alkaloids on female reproduction in domestic livestock species. Toxins 2019, 11, 364. [Google Scholar] [CrossRef]
- Peters, C.W.; Grigsby, K.N.; Aldrich, C.G.; Paterson, J.A.; Lipsey, R.J.; Kerley, M.S.; Garner, G.B. Performance, forage utilization, and ergovaline consumption by beef cows grazing endophyte fungus-infected tall fescue, endophyte fungus-free tall fescue, or orchardgrass pastures. J. Anim. Sci. 1992, 70, 1550–1561. [Google Scholar] [CrossRef]
- Patterson, J.; Forcherio, C.; Larson, B.; Samford, M.; Kerley, M. The effects of fescue toxicosis on beef cattle productivity. J. Anim. Sci. 1995, 73, 889–898. [Google Scholar] [CrossRef] [PubMed]
- Bouton, J.H.; Latch, G.C.M.; Hill, N.S.; Hoveland, C.S.; McCann, M.A.; Watson, R.H.; Parish, J.A.; Hawkins, L.L.; Thompson, F.N. Reinfection of tall fescue cultivars with non-ergot alkaloid—Producing endophytes. Agron. J. 2002, 94, 567–574. [Google Scholar] [CrossRef]
- Drewnoski, M.E.; Poore, M.H.; Oliphant, E.J.; Marshall, B.; Green, J.T. Agronomic performance of stockpiled tall fescue varies with endophyte infection status. Forage Grazinglands 2007, 5, 1–13. [Google Scholar] [CrossRef]
- Hopkins, A.A.; Young, C.; Panaccione, D.G.; Simpson, W.R.; Mittal, S.; Bouton, J.H. Agronomic performance and lamb health among several tall fescue novel endophyte combinations in the south-central USA. Crop Sci. 2010, 50, 1552–1561. [Google Scholar] [CrossRef]
- Phillips, T.D.; Aiken, G.E. Novel endophyte-infected tall fescues. Forage Grazinglands 2009, 7, 1–6. [Google Scholar] [CrossRef]
- Watson, R.H.; McCann, M.A.; Parish, J.A.; Hoveland, C.S.; Thompson, F.N.; Bouton, J.H. Productivity of cow-calf pairs grazing tall fescue pastures infected with either the wild-type endophyte or a nonergot alkaloid-producing endophyte strain, AR542. J. Anim. Sci. 2004, 82, 3388–3393. [Google Scholar] [CrossRef] [PubMed]
- Caldwell, J.D.; Coffey, K.P.; Jennings, J.A.; Phillipp, D.; Young, A.N.; Tucker, J.D.; Hubbell III, D.S.; Hess, T.; Looper, M.L.; West, C.P.; et al. Performance by spring and fall-calving cows grazing with full, limited, or no access to toxic Neotyphodium coenophialum-infected tall fescue. J. Anim. Sci. 2013, 91, 465–476. [Google Scholar] [CrossRef]
- Gunter, S.A.; Beck, P.A. Novel endophyte-infected tall fescue for growing beef cattle. J. Anim. Sci. 2004, 82, 82. [Google Scholar]
- Parish, J.A.; McCann, M.A.; Watson, R.H.; Paiva, N.N.; Hoveland, C.S.; Parks, A.H.; Upchurch, B.L.; Hill, N.S.; Bouton, J.H. Use of nonergot alkaloid-producing endophytes for alleviating tall fescue toxicosis in stocker cattle. J. Anim. Sci. 2003, 81, 2856–2868. [Google Scholar] [CrossRef]
- Elay, R.M.; Thatcher, W.W.; Bazer, F.W.; Wilcox, C.J.; Becker, R.B.; Head, H.H.; Adkinson, R.W. Development of the conceptus in the bovine. J. Dairy Sci. 1974, 61, 467–473. [Google Scholar] [CrossRef]
- Boggs, D.L.; Smith, E.F.; Schalles, R.R.; Brent, B.E.; Corah, L.R.; Pruitt, R.J. Effects of milk and forage intake on calf performance. J. Anim. Sci. 1980, 51, 550–553. [Google Scholar] [CrossRef]
- Radunz, A.E.; Fluharty, F.L.; Day, M.L.; Zerby, H.N.; Loerch, S.C. Prepartum dietary energy source fed to beef cows: I. Effects on pre- and post-partum cow performance. J. Anim. Sci. 2010, 88, 2717–2728. [Google Scholar] [CrossRef]
- Strickland, J.R.; Looper, M.L.; Matthews, J.C.; Rosenkrans, C.F.; Flythe, M.D.; Brown, K.R. BOARD-INVITED REVIEW: St. Anthony’s fire in livestock: Causes, mechanisms, and potential solutions. J. Anim. Sci. 2011, 89, 1603–1626. [Google Scholar] [CrossRef]
- Smith, T.; Cassady, J.P.; Bill, E. Kunkle interdisciplinary beef symposium: Genetic resistance to the effects of grazing endophyte-infected tall fescue. J. Anim. Sci. 2015, 93, 5506–5511. [Google Scholar] [CrossRef]
- Sibley, D.R.; Creese, I. Interactions of ergot alkaloids with anterior pituitary D-2 dopamine receptors. Mol. Pharmacol. 1983, 23, 585–593. [Google Scholar]
- Strickland, J.R.; Cross, D.L.; Birrenkott, G.P.; Grimes, L.W. Effect of ergovaline, loline, and dopamine antagonists on rat pituitary cell prolactin release in vitro. Am. J. Vet. Res. 1994, 55, 716–721. [Google Scholar]
- Campbell, B.T.; Kojima, C.J.; Cooper, T.A.; Bastin, B.C.; Wojakiewicz, L.; Kallenbach, R.L.; Schrick, F.N.; Waller, J.C. A single nucleotide polymorphism in the dopamine receptor D2 gene may be informative for resistance to fescue toxicosis in angus-based cattle. Anim. Biotechnol. 2013, 25, 1–12. [Google Scholar] [CrossRef] [PubMed]
- BIF. Beef Improvement Guidelines Standard Adjustment Factors for Birth and Weaning Weight, 205-d Weaning Weight and Calving Difficulty Scores. Available online: http://guidelines.beefimprovement.org/index.php/Guidelines_for_Uniform_Beef_Improvement_Programs (accessed on 1 March 2018).
- Craig, A.M.; Blythe, L.L.; Duringer, J.M. The role of the oregon state university endophyte service laboratory in diagnosing clinical cases of endophyte toxicoses. J. Agric. Food Chem. 2014, 62, 7376–7381. [Google Scholar] [CrossRef] [PubMed]
- Kallenbach, R.L.; Bishop-Hurley, G.J.; Massie, M.D.; Rottenhaus, G.E.; West, C.P. Herbage mass, nutritive value, and ergovaline concentration of stockpiled tall fescue. Crop Sci. 2003, 43, 1001–1005. [Google Scholar] [CrossRef]
- Curtis, L.E.; Kallenbach, R.L. Endophyte infection level of tall fescue stockpiled for winter grazing does not alter the gain of calves nursing lactating beef cows. J. Anim. Sci. 2007, 85, 2346–2353. [Google Scholar] [CrossRef]
- Roberts, C.A.; Kallenbach, R.L.; Hill, N.S.; Rottinghaus, G.E.; Evans, T.J. Ergot alkaloid concentrations in tall fescue hay during production and storage. Crop Sci. 2009, 49, 1496–1502. [Google Scholar] [CrossRef]
- Bastin, B.C.; Houser, A.; Bagley, C.P.; Ely, K.M.; Payton, R.R.; Saxton, A.M.; Schrick, F.N.; Waller, J.C.; Kojima, C.J. A polymorphism inXKR4is significantly associated with serum prolactin concentrations in beef cows grazing tall fescue. Anim. Genet. 2014, 45, 439–441. [Google Scholar] [CrossRef]
- Looper, M.L.; Black, S.G.; Reiter, S.T.; Okimoto, R.; Johnson, Z.B.; Brown, M.A.; Rosenkrans, C.F., Jr. Identification of polymorphisms in the enhancer region of the bovine prolactin gene and association with profitability traits of beef cattle. Prof. Anim. Sci. 2010, 26, 103–108. [Google Scholar] [CrossRef]
- Sales, M.A.; Larson, M.J.; Reiter, S.T.; Brown, A.H., Jr.; Brown, M.A.; Looper, M.L.; Coffey, K.P.; Rosenkrans, C.F., Jr. Effects of bovine cytochrome P450 single-nucleotide polymorphism, forage type, and body condition on production traits in cattle. J. Anim. Physiol. Anim. Nutr. 2011, 96, 545–553. [Google Scholar] [CrossRef] [PubMed]
- Seidel, G.E., Jr. Brief introduction to whole-genome selection in cattle using single nucleotide polymorphisms. Reprod. Fertil. Dev. 2010, 22, 138–144. [Google Scholar] [CrossRef]
- Galliou, J.M.; Khanal, P.; Mayberry, K.; Poore, M.H.; Poole, D.H.; Serão, N.V.L. Evaluation of a commercial genetic test for fescue toxicosis in pregnant Angus beef cattle. Transl. Anim. Sci. 2020, 4, txaa181. [Google Scholar] [CrossRef]
- McArt, J.A.A.; Nydam, D.V.; Oetzel, G.R.; Overton, T.R.; Ospina, P.A. Elevated non-esterified fatty acids and β-hydroxylbutyrate and their association with transition dairy cow performance. Vet. J. 2013, 198, 560–570. [Google Scholar] [CrossRef] [PubMed]
- Niederecker, K.N.; Larson, J.M.; Kallenbach, R.L.; Meyer, A.M. Effects of feeding stockpiled tall fescue versus summer-baled tall fescue-based hay to late gestation beef cows: I. Cow performance, maternal metabolic status, and fetal growth. J. Anim. Sci. 2018, 96, 4618–4632. [Google Scholar] [CrossRef]
- Oliver, J.W.; Schultze, A.E.; Rohrbach, B.W.; Fribourg, H.A.; Ingle, T.; Waller, J.C. Alterations in hemograms and serum biochemical analytes of steers after prolonged consumption of endophyte-infected tall fescue. J. Anim. Sci. 2000, 78, 1029–1035. [Google Scholar] [CrossRef]
- Nihsen, M.E.; Piper, E.L.; West, C.P.; Crawford, R.J.; Denard, T.M.; Johnson, Z.B.; Roberts, C.A.; Spiers, D.A.; Rosenkrans, C.F., Jr. Growth rates and physiology of steers grazing tall fescue inoculated with novel endophytes. J. Anim. Sci. 2004, 82, 878–883. [Google Scholar] [CrossRef]
- Stuedemann, J.A.; Rumsey, T.S.; Bond, J.; Wilkinson, S.R.; Bush, L.P.; Williams, D.J.; Caudle, A.B. Association of blood cholesterol with occurrence of fat necrosis in cows and tall fescue summer toxicosis in steers. Am. J. Vet. Res. 1985, 46, 1990–1995. [Google Scholar] [PubMed]
- Westwood, C.; Lean, I.; Garvin, J. Factors influencing fertility of holstein dairy cows: A multivariate description. J. Dairy Sci. 2002, 85, 3225–3237. [Google Scholar] [CrossRef]
- Parish, J.A.; Best, T.F.; Boland, H.T.; Young, C.A. Effects of selected endophyte and tall fescue cultivar combinations on steer grazing performance, indicators of fescue toxicosis, feedlot performance, and carcass traits. J. Anim. Sci. 2013, 91, 342–355. [Google Scholar] [CrossRef] [PubMed]
- Bond, J.; Powell, J.B.; Weinland, B.T. Behavior of steers grazing several varieties of tall fescue during summer conditions . Agron. J. 1984, 76, 707–709. [Google Scholar] [CrossRef]
- Shoup, L.M.; Kloth, A.C.; Wilson, T.B.; González-Peña, D.; Ireland, F.A.; Rodriguez-Zas, S.; Felix, T.L.; Shike, D.W. Prepartum supplement level and age at weaning: I. Effects on pre- and postpartum beef cow performance and calf performance through weaning. J. Anim. Sci. 2015, 93, 4926–4935. [Google Scholar] [CrossRef] [PubMed]
- Burke, J.M.; Coleman, S.W.; Chase, C.C.; Riley, D.G.; Looper, M.L.; Brown, M.A. Interaction of breed type and endophyte-infected tall fescue on milk production and quality in beef cattle. J. Anim. Sci. 2010, 88, 2802–2811. [Google Scholar] [CrossRef][Green Version]
- Britt, J.L.; Greene, M.A.; Bridges, W.C.; Klotz, J.L.; Aiken, G.E.; Andrae, J.G.; Pratt, S.L.; Long, N.M.; Schrick, F.N.; Strickland, J.R.; et al. Ergot alkaloid exposure during gestation alters. I. Maternal characteristics and placental development of pregnant ewes. J. Anim. Sci. 2019, 97, 1874–1890. [Google Scholar] [CrossRef] [PubMed]
- Britt, J.L.; Greene, M.A.; Wilbanks, S.A.; Bertrand, J.K.; Klotz, J.L.; Bridges, J.W.; Aiken, G.; Andrae, J.G.; Duckett, S.K. Feeding tall fescue seed reduces ewe milk production, lamb birth weight and pre-weaning growth rate. Animals 2020, 10, 2291. [Google Scholar] [CrossRef] [PubMed]
- Duckett, S.K.; Andrae, J.G.; Pratt, S.L. Exposure to ergot alkaloids during gestation reduces fetal growth in sheep. Front. Chem. 2014, 2, 68. [Google Scholar] [CrossRef] [PubMed]
- Greene, M.; Britt, J.L.; Powell, R.R.; Feltus, F.A.; Bridges, W.C.; Bruce, T.; Klotz, J.L.; Miller, M.F.; Duckett, S.K. Ergot alkaloid exposure during gestation alters: 3. Fetal growth, muscle fiber development, and miRNA transcriptome. J. Anim. Sci. 2019, 97, 3153–3168. [Google Scholar] [CrossRef] [PubMed]
- Klotz, J.L.; Britt, J.L.; Miller, M.F.; Snider, M.; E Aiken, G.; Long, N.M.; Pratt, S.L.; Andrae, J.G.; Duckett, S.K. Ergot alkaloid exposure during gestation alters: II. Uterine and umbilical artery vasoactivity. J. Anim. Sci. 2019, 97, 1891–1902. [Google Scholar] [CrossRef]
- Prior, R.L.; Laster, D.B. Development of the bovine fetus. J. Anim. Sci. 1979, 48, 1546–1553. [Google Scholar] [CrossRef]
- Ferrell, C.J. Placental Regulation of Fetal Growth. In Animal Growth Regulation; Campion, D.R., Hausman, G.J., Martin, R.J., Eds.; Springer: Boston, MA, USA, 1989; pp. 1–19. [Google Scholar]
- Redmer, D.; Wallace, J.; Reynolds, L. Effect of nutrient intake during pregnancy on fetal and placental growth and vascular development. Domest. Anim. Endocrinol. 2004, 27, 199–217. [Google Scholar] [CrossRef]
- Greenwood, P.L.; Café, L.M.; Hearnshaw, H.; Hennessy, D.W. Consequences of nutrition and growth retardation early in life for growth and composition of cattle and eating quality of beef. Recent Adv. Anim. Nutr. Aust. 2005, 15, 183–195. [Google Scholar]
- Echternkamp, S. Relationship between placental development and calf birth weight in beef cattle. Anim. Reprod. Sci. 1993, 32, 1–13. [Google Scholar] [CrossRef]
- Anthony, R.V.; Bellows, R.A.; Short, R.E.; Staigmiller, R.B.; Kaltenbach, C.C.; Dunn, T.G. Foetal growth of beef calves. II. Effects of sire on prenatal development of the calf and related placental characteristics. J. Anim. Sci. 1986, 62, 1375–1387. [Google Scholar] [CrossRef]
- Gray, K.; Smith, T.; Maltecca, C.; Overton, P.; Parish, J.; Cassady, J. Differences in hair coat shedding, and effects on calf weaning weight and BCS among Angus dams. Livest. Sci. 2011, 140, 68–71. [Google Scholar] [CrossRef]
- Looper, M.L.; Reiter, S.T.; Williamson, B.C.; Sales, M.A.; Hallford, D.M.; Rosenkrans, C.F., Jr. Effects of body condition on measures of intramuscular and rump fat, endocrine factors, and calving rate of beef cows grazing common bermudagrass or endophyte-infected tall fescue. J. Anim. Sci. 2010, 88, 4133–4141. [Google Scholar] [CrossRef]
- Brown, M.A.; Tharel, L.M.; Brown, A.H., Jr.; Miesner, J.R.; Jackson, W.G. Reproductive performance of Angus and Brahman cows grazing common bermudagrass or endophyte-infected tall fescue. Prof. Anim. Sci. 1992, 8, 58–65. [Google Scholar] [CrossRef]
- Greene, M.; Klotz, J.L.; Goodman, J.P.; May, J.B.; Harlow, B.; Baldwin, W.S.; Strickland, J.R.; Britt, J.L.; Schrick, F.N.; Duckett, S.K. Evaluation of oral citrulline administration as a mitigation strategy for fescue toxicosis in sheep. Transl. Anim. Sci. 2020, 4, txaa197. [Google Scholar] [CrossRef] [PubMed]
- Guo, Q.; Shao, B.; Du, Z.; Zhang, J. Simultaneous determination of 25 ergot alkaloids in cereal samples by ultraperformance liquid chromatography-tandem mass spectrometry. J. Agric. Food Chem. 2016, 64, 7033–7039. [Google Scholar] [CrossRef] [PubMed]
- Ji, H.; Fannin, F.; Klotz, J.; Bush, L. Tall fescue seed extraction and partial purification of ergot alkaloids. Front. Chem. 2014, 2, 110. [Google Scholar] [CrossRef]
- Bernard, J.; Chestnut, A.; Erickson, B.; Kelly, F. Effects of prepartum consumption of endophyte-infested tall fescue on serum prolactin and subsequent milk production of Holstein cows. J. Dairy Sci. 1993, 76, 1928–1933. [Google Scholar] [CrossRef]
- Chauveau-Duriot, B.; Doreau, M.; Nozière, P.; Graulet, B. Simultaneous quantification of carotenoids, retinol, and tocopherols in forages, bovine plasma, and milk: Validation of a novel UPLC method. Anal. Bioanal. Chem. 2010, 397, 777–790. [Google Scholar] [CrossRef]
- Wagner, J.J.; Lusby, K.S.; Oltjen, J.W.; Rakestraw, J.; Wettemann, R.P.; Walters, L.E. Carcass composition in mature hereford cows: Estimation and effect on daily metabolizable energy requirement during winter. J. Anim. Sci. 1988, 66, 603–612. [Google Scholar] [CrossRef]
- Saker, K.E.; Allen, V.G.; Fontenot, J.P.; Bagley, C.P.; Ivy, R.L.; Evans, R.R.; Wester, D.B. Tasco-Forage: II. Monocyte immune cell response and performance of beef steers grazing tall fescue treated with a seaweed extract. J. Anim. Sci. 2001, 79, 1022–1031. [Google Scholar] [CrossRef] [PubMed]









| NOV | E+ | SEM | |
|---|---|---|---|
| Total ergot alkaloids (Year 1) | |||
| Pasture, ng/g | 184 b | 1938 a | 93.9 |
| Hay, ng/g | 277 b | 611 a | 47.2 |
| Ergovaline/ergovalinine, (Year 2) | |||
| Pasture, ng/g | 0 b | 602 a | 80.3 |
| Hay, ng/g | 0 b | 477 a | 43.8 |
| Year | Fescue Type | DRD2 Genotype | Standard Error | ||||
|---|---|---|---|---|---|---|---|
| 1 | 2 | NOV | E+ | AA | GG | ||
| Cow Parameters | |||||||
| Dystocia score 1 | 1.09 | 1.07 | 1.09 | 1.08 | 1.07 | 1.09 | 0.37 |
| Calving interval, d | - | - | 382 | 371 | 375 | 378 | 23.2 |
| Calving rate, % | - | - | 85.7 c | 72.5 d | 82.5 | 75.7 | 2.90 |
| Milk production, kg/d | 11.40 | 10.85 | 12.00 c | 10.25 d | 10.03 f | 12.22 e | 4.20 |
| Calf Parameters | |||||||
| at Birth | |||||||
| Birth weight, kg | 39.45 | 36.80 | 38.37 | 37.92 | 39.09 e | 37.21 f | 4.94 |
| Adj. birth weight, kg | 40.42 | 37.07 | 38.94 | 38.54 | 39.59 e | 37.90 f | 4.89 |
| Calf sex (2 = female, 3 = male) | 2.59 | 2.55 | 2.59 | 2.56 | 2.61 | 2.53 | 0.50 |
| at Weaning | |||||||
| Weaning age, d | 220.2 | 202.4 | 210.0 | 212.6 | 212.7 | 209.9 | 20.13 |
| Actual weaning weight, kg | 269.3 a | 247.4 b | 258.9 | 255.0 | 260.0 | 253.9 | 33.8 |
| Adj. weaning weight 2, kg | 277.0 a | 247.3 b | 264.2 | 260.18 | 264.5 | 259.8 | 33.06 |
| Adj. 205 d wean weight 2, kg | 258.6 | 252.5 | 259.4 g | 252.7 h | 256.6 | 248.5 | 26.79 |
| Adj. 205 d wean ADG, kg/d | 1.064 | 1.048 | 1.075 g | 1.037 h | 1.057 | 1.055 | 0.132 |
Publisher’s Note: MDPI stays neutral with regard to jurisdictional claims in published maps and institutional affiliations. |
© 2021 by the authors. Licensee MDPI, Basel, Switzerland. This article is an open access article distributed under the terms and conditions of the Creative Commons Attribution (CC BY) license (http://creativecommons.org/licenses/by/4.0/).
Share and Cite
Wilbanks, S.A.; Justice, S.M.; West, T.; Klotz, J.L.; Andrae, J.G.; Duckett, S.K. Effects of Tall Fescue Endophyte Type and Dopamine Receptor D2 Genotype on Cow-Calf Performance during Late Gestation and Early Lactation. Toxins 2021, 13, 195. https://doi.org/10.3390/toxins13030195
Wilbanks SA, Justice SM, West T, Klotz JL, Andrae JG, Duckett SK. Effects of Tall Fescue Endophyte Type and Dopamine Receptor D2 Genotype on Cow-Calf Performance during Late Gestation and Early Lactation. Toxins. 2021; 13(3):195. https://doi.org/10.3390/toxins13030195
Chicago/Turabian StyleWilbanks, Sarah A., Susan Maggie Justice, Thomas West, James L. Klotz, John G. Andrae, and Susan K. Duckett. 2021. "Effects of Tall Fescue Endophyte Type and Dopamine Receptor D2 Genotype on Cow-Calf Performance during Late Gestation and Early Lactation" Toxins 13, no. 3: 195. https://doi.org/10.3390/toxins13030195
APA StyleWilbanks, S. A., Justice, S. M., West, T., Klotz, J. L., Andrae, J. G., & Duckett, S. K. (2021). Effects of Tall Fescue Endophyte Type and Dopamine Receptor D2 Genotype on Cow-Calf Performance during Late Gestation and Early Lactation. Toxins, 13(3), 195. https://doi.org/10.3390/toxins13030195

