Development of Generic Immuno-Magnetic Bead-Based Enzyme-Linked Immunoassay for Ustiloxins in Rice Coupled with Enrichment
Abstract
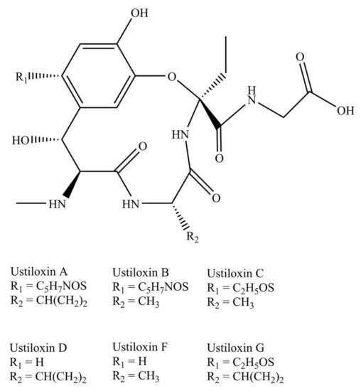
1. Introduction
2. Results and Discussion
2.1. Design, Synthesis, and Identification of Generic Antigen
2.2. Preparation and Characterization of Generic Antibodies against Ustiloxins
2.3. Establishment of Class-Specific Immuno-Magnetic Bead Enzyme-Linked Immunoassay
2.4. Evaluation of Accuracy and Standard Deviation
3. Conclusions
4. Materials and Methods
4.1. Instruments and Experimental Equipment
4.2. Materials and Reagents
4.3. Preparation of Immunogen and Coating Antigen
4.4. Preparation of Polyclonal Antibody against Ustiloxins
4.5. Preparation of Immuno-Magnetic Beads
4.6. Optimization of Generic Immuno-Magnetic Bead-Based Enzyme-Linked Immunoassay
4.7. Evaluation on Accuracy and Repeatability of Usitloxin G Recovery
Author Contributions
Funding
Institutional Review Board Statement
Informed Consent Statement
Conflicts of Interest
References
- Sun, W.; Fan, J.; Fang, A.; Li, Y.; Tariqjaveed, M.; Li, D.; Hu, D.; Wang, W.M. Ustilaginoidea virens: Insights into an emerging rice pathogen. Annu. Rev. Patytopathol. 2020, 58, 363–385. [Google Scholar] [CrossRef]
- Chen, X.; Li, X.; Li, P.; Chen, X.; Liu, H.; Huang, J.; Luo, C.; Hsiang, T.; Zheng, L. Comprehensive identification of lysine 2-hydroxyisobutyrylated proteins in Ustilaginoidea virens reveals the involvement of lysine 2-hydroxyisobutyrylation in fungal virulence. J. Integr. Plant Biol. 2021, 63, 409–425. [Google Scholar] [CrossRef]
- Tang, J.; Chen, X.; Yan, Y.; Huang, J.; Luo, C.; Hsiang, T.; Zheng, L. Comprehensive transcriptome profiling reveals abundant long non-coding RNAs associated with development of the rice false smut fungus, Ustilaginoidea virens. Environ. Microbiol. 2021, 23, 4998–5013. [Google Scholar] [CrossRef] [PubMed]
- Zhang, Y.; Zhang, K.; Fang, A.; Han, Y.; Yang, J.; Xue, M.; Bao, J.; Hu, W.; Zhou, B.; Sun, X.; et al. Specific adaptation of Ustilaginoidea virens in occupying host florets revealed by comparative and functional genomics. Nat. Commun. 2014, 5, 3849. [Google Scholar] [CrossRef] [PubMed]
- Song, J.; Wei, W.; Lv, B.; Lin, Y.; Yin, W.; Peng, Y.; Schnabel, G.; Huang, J.; Jiang, D.; Luo, C. Rice false smut fungus hijacks the rice nutrients supply by blocking and mimicking the fertilization of rice ovary. Environ. Microbiol. 2016, 18, 3840–3849. [Google Scholar] [CrossRef] [PubMed]
- Zhou, Y.; Xie, X.; Zhang, F.; Wang, S.; Liu, X.; Zhu, L.; Xu, J.; Gao, Y.; Li, Z. Detection of quantitative resistance loci associated with resistance to rice false smut (Ustilaginoidea virens) using introgression lines. Plant Pathol. 2013, 63, 365–372. [Google Scholar] [CrossRef]
- Lu, D.; Yang, X.; Mao, J.; Ye, H.; Wang, P.; Chen, Y.; He, Z.; Chen, F. Characterising the pathogenicity diversity of Ustilaginoidea virens in hybrid rice in China. J. Plant Pathol. 2009, 91, 443–451. [Google Scholar]
- Yu, M.; Yu, J.; Hu, J.; Huang, L.; Wang, Y.; Yin, X.; Nie, Y.; Meng, X.; Wang, Y.; Liu, Y. Identification of pathogenicity-related genes in the rice pathogen Ustilaginoidea virens through random insertional mutagenesis. Fungal Genet. Biol. 2015, 76, 10–19. [Google Scholar] [CrossRef]
- Tang, J.; Zheng, L.; Jia, Q.; Liu, H.; Hsiang, T.; Huang, J. PCR markers derived from comparative genomics for detection and identification of the rice pathogen Ustilaginoidea virens in plant tissues. Plant Dis. 2017, 101, 1515–1521. [Google Scholar] [CrossRef] [PubMed]
- Nakamura, K.; Izumiyama, N.; Ohtsubo, K.; Koiso, Y.; Iwasaki, S.; Sonoda, R.; Fujita, Y.; Yaegashi, H.; Sato, Z. Lupinosis in mice caused by ustiloxin and a crude extract of fungal culture of Ustilaginoidea virens. JSM Mycotoxins 1992, 35, 41–43. [Google Scholar] [CrossRef]
- Koiso, Y.; Li, Y.; Iwasaki, S. Ustiloxins, antimitotic cyclic peptides from false smut balls on rice panicles caused by Ustilaginoidea virens. J. Antibiot. 1994, 47, 765–773. [Google Scholar] [CrossRef]
- Wang, X.; Fu, X.; Lin, F.; Sun, W.; Meng, J.; Wang, A.; Lai, D.; Zhou, L.; Liu, Y. The contents of ustiloxins A and B along with their distribution in rice false smut balls. Toxins 2016, 8, 262. [Google Scholar] [CrossRef] [PubMed]
- Hu, Z.; Zheng, L.; Huang, J.; Zhou, L.; Liu, C.; Liu, H. Ustiloxins A is produced early in experimental Ustilaginoidea virens infection and affects transcription in rice. Curr. Microbiol. 2020, 77, 2766–2774. [Google Scholar] [CrossRef] [PubMed]
- Koiso, Y.; Natori, M.; Iwasaki, S. Ustiloxin: A phytotoxin and a mycotoxin from false smut balls on rice panicles. Tetrahedron Lett. 1992, 33, 4157–4160. [Google Scholar] [CrossRef]
- Koiso, Y.; Morisaki, N.; Yamashita, Y. Isolation and structure of an antimitotic cyclic peptide, ustiloxin F: Chemical interrelation with a homologous peptide, ustiloxin B. J. Antibiot. 1998, 51, 418–422. [Google Scholar] [CrossRef] [PubMed]
- Wang, X.; Wang, J.; Lai, D.; Wang, X.; Dai, J.; Zhou, L.; Liu, Y. Ustiloxin G, a new cyclopeptide mycotoxin from rice false smut balls. Toxins 2017, 9, 54. [Google Scholar] [CrossRef] [PubMed]
- Li, B. Prevention and control of pig feed poisoning caused by ustiloxins. Fujian J. Anim. Hus. Vet. Med. 2005, 27, 70–71. [Google Scholar]
- Wu, Y. Investigation and prevention report of ustiloxins poisoning in livestock. Chin. J. Tradit. Vet. Sci. 2004, 5, 20–22. [Google Scholar]
- Nakamura, K.; Izumiyama, N.; Ohtsubo, K. Apoptosis induced in the liver, kidney and urinary bladder of mice by the fungal toxin produced by Ustilaginoidea virens. Mycotoxins 1993, 38, 25–30. [Google Scholar] [CrossRef][Green Version]
- Nakamura, K.; Izumiyama, N.; Ohtsubo, K.; Koiso, Y.; Iwasaki, S.; Sonoda, R.; Fujita, Y.; Yaegashi, H.; Sato, Z. “Lupinosis”-Like lesions in mice caused by ustiloxin, produced by Ustilaginoieda virens: A morphological study. Nat. Toxins 1994, 2, 22–28. [Google Scholar] [CrossRef] [PubMed]
- Hu, Z.; Dang, Y.; Liu, C.; Zhou, L.; Liu, H. Acute exposure to ustiloxin A affects growth and development of early life zebrafish, Danio rerio. Chemosphere 2019, 226, 851–857. [Google Scholar] [CrossRef] [PubMed]
- Cheng, S.; Liu, H.; Sun, Q.; Kong, R.; Letcher, R.; Liu, C. Occurrence of ustiloxin A in surface waters of paddy fields in Enshi, Hubei, China, and its toxicity in Tetrahymena Thermophila. Environ. Pollout. 2019, 251, 901–909. [Google Scholar] [CrossRef]
- Sun, S.; Sen, S.; Kim, N.; Magliery, T.; Schultz, P.; Wang, F. Mutational analysis of 48G7 reveals that somatic hypermutation affects both antibody stability and binding affinity. J. Am. Chem. Soc. 2013, 135, 9980–9983. [Google Scholar] [CrossRef] [PubMed]
- Wang, F.; Sen, S.; Zhang, Y.; Ahmad, I.; Zhu, X.; Wilson, I.; Smider, V.; Magliery, T.; Schultz, P. Somatic hypermutation maintains antibody thermodynamic stability during affinity maturation. Proc. Natl. Acad. Sci. USA 2013, 110, 4261–4266. [Google Scholar] [CrossRef] [PubMed]
- Cheung, W.; Beausoleil, S.; Zhang, X.; Sato, S.; Schieferl, S.; Wieler, J.; Beaudet, J.; Ramenani, R.; Popova, L.; Comb, M.; et al. A proteomics approach for the identification and cloning of monoclonal antibodies from serum. Nat. Biotechnol. 2012, 30, 447–452. [Google Scholar] [CrossRef]
- Da Rosa, S.T.; Rossotti, M.; Carleiza, C.; Carrión, F.; Pritsch, O.; Ahn, K.; Last, J.; Hammock, B.; Gonzalez-Sapienza, G. Competitive selection from single domain antibody libraries allows isolation of high-affinity antihapten antibodies that are not favored in the llama immune response. Anal. Chem. 2011, 83, 7213–7220. [Google Scholar] [CrossRef]
- Dzantiev, B.; Byzova, N.; Urusov, A.; Zherdev, A. Immunochromatographic methods in food analysis. TrAC Trend. Anal. Chem. 2014, 55, 81–93. [Google Scholar] [CrossRef]
- Zhang, W.; Asiri, A.; Liu, D.; Du, D.; Lin, Y. Nanomaterial-based biosensors for environmental and biological monitoring of organophosphorus pesticides and nerve agents. TrAC Trend. Anal. Chem. 2014, 54, 1–10. [Google Scholar] [CrossRef]
- He, Q.; Xu, Y.; Zhang, C.; Li, Y.; Huang, Z. Phage-borne peptidomimetics as immunochemical reagent in dot-immunoassay for mycotoxin zearalenone. Food Control 2014, 39, 56–61. [Google Scholar] [CrossRef]
- Miyazaki, S.; Matsumoto, Y.; Uchihara, T.; Morimoto, K. High-Performance liquid chromatographic determination of ustiloxin A in forage rice silage. J. Vet. Med. Sci. 2009, 71, 239–241. [Google Scholar] [CrossRef] [PubMed]
- Cao, Z.; Sun, L.; Mou, R.; Lin, X.; Zhou, R.; Ma, Y.; Chen, M. Analysis of ustiloxins in rice using polymer cation exchange cleanup followed by liquid chromatography-tandem mass spectrometry. J. Chromatogr. A 2016, 1476, 46–52. [Google Scholar] [CrossRef]
- Fu, X.; Wang, W.; Li, Y.; Wang, X.; Tan, G.; Lai, D.; Wang, M.; Zhou, L.; Wang, B. Development of a monoclonal antibody with equal reactivity to ustiloxins A and B for quantification of main cyclopeptide mycotoxins in rice samples. Food Control 2018, 92, 201–207. [Google Scholar] [CrossRef]
- Fu, X.; Wang, X.; Cui, Y.; Wang, A.; Lai, D.; Liu, Y.; Li, Q.; Wang, B.; Zhou, L. A monoclonal antibody-based enzyme-linked immunosorbent assay for detection of ustiloxin A in rice false smut balls and rice samples. Food Chem. 2015, 81, 140–145. [Google Scholar] [CrossRef] [PubMed]
- Zhang, Q.; Wang, L.; Ahn, K.; Sun, Q.; Hu, B.; Wang, J.; Liu, F. Hapten heterology for a specific and sensitive immunoassay for fenthion. Anal. Chim. Acta 2007, 596, 303–311. [Google Scholar] [CrossRef] [PubMed]
- Li, P.; Zhang, Q.; Zhang, W. Immunoassays for aflotoxins. Trends Anal. Chem. 2009, 28, 1115–1126. [Google Scholar] [CrossRef]
- Shan, T.; Sun, W.; Liu, H.; Gao, S.; Lu, S.; Wang, M.; Sun, W.; Chen, Z.; Wang, S.; Zhou, L. Determination and analysis of ustiloxins A and B by LC-ESI-MS and HPLC in false smut balls of rice. Int. J. Mol. Sci. 2012, 13, 11275–11287. [Google Scholar] [CrossRef]
- Shan, T.; Sun, W.; Wang, X.; Fu, X.; Sun, W.; Zhou, L. Purification of ustiloxins A and B from rice false smut balls by macroporous resins. Molecules 2013, 18, 8181–8199. [Google Scholar] [CrossRef] [PubMed]






| Analytes | IC50 (µg/mL) | Cross-Reactivity (%) |
|---|---|---|
| AFB1 | no inhibition | 0 |
| DON | no inhibition | 0 |
| ZEN | no inhibition | 0 |
| OTA | no inhibition | 0 |
| UST-A | 0.53 | 18.4 |
| UST-B | 0.34 | 11.9 |
| UST-G | 0.06 | 100 |
| Method | Theoretical Concentration (ng/mL) | Tested Concentration (±SD)/(ng/mL) | Average Recovery (%) | ||
|---|---|---|---|---|---|
| Rice Brand 1 | Rice Brand 2 | Rice Brand 3 | |||
| Immuno-magnetic bead enzyme immunoassay | 0 | no detection | no detection | no detection | no calculation |
| 10 | 10.96 ± 1.25 | 12.25 ± 0.92 | 11.70 ± 1.45 | 116.4 | |
| 50 | 50.14 ± 4.81 | 56.09 ± 5.25 | 54.93 ± 4.38 | 107.4 | |
| 100 | 101.36 ± 7.56 | 100.29 ± 8.92 | 104.00 ± 6.55 | 101.9 | |
| HPLC | 10 | no detection | no detection | no detection | no calculation |
| 50 | no detection | no detection | no detection | no calculation | |
| 100 | 105.49 ± 12.43 | 103.15 ± 7.92 | 105.81 ± 4.30 | 104.8 | |
Publisher’s Note: MDPI stays neutral with regard to jurisdictional claims in published maps and institutional affiliations. |
© 2021 by the authors. Licensee MDPI, Basel, Switzerland. This article is an open access article distributed under the terms and conditions of the Creative Commons Attribution (CC BY) license (https://creativecommons.org/licenses/by/4.0/).
Share and Cite
Huang, Y.; Tang, X.; Zheng, L.; Huang, J.; Zhang, Q.; Liu, H. Development of Generic Immuno-Magnetic Bead-Based Enzyme-Linked Immunoassay for Ustiloxins in Rice Coupled with Enrichment. Toxins 2021, 13, 907. https://doi.org/10.3390/toxins13120907
Huang Y, Tang X, Zheng L, Huang J, Zhang Q, Liu H. Development of Generic Immuno-Magnetic Bead-Based Enzyme-Linked Immunoassay for Ustiloxins in Rice Coupled with Enrichment. Toxins. 2021; 13(12):907. https://doi.org/10.3390/toxins13120907
Chicago/Turabian StyleHuang, Yi, Xiaoqian Tang, Lu Zheng, Junbin Huang, Qi Zhang, and Hao Liu. 2021. "Development of Generic Immuno-Magnetic Bead-Based Enzyme-Linked Immunoassay for Ustiloxins in Rice Coupled with Enrichment" Toxins 13, no. 12: 907. https://doi.org/10.3390/toxins13120907
APA StyleHuang, Y., Tang, X., Zheng, L., Huang, J., Zhang, Q., & Liu, H. (2021). Development of Generic Immuno-Magnetic Bead-Based Enzyme-Linked Immunoassay for Ustiloxins in Rice Coupled with Enrichment. Toxins, 13(12), 907. https://doi.org/10.3390/toxins13120907
