Abstract
Animal feeds may contain exogenous compounds that can induce toxicity when ruminants ingest them. These toxins are secondary metabolites originating from various sources including plants, bacteria, algae and fungi. Animal feed toxins are responsible for various animal poisonings which negatively impact the livestock industry. Poisoning is more frequently reported in newly exposed, naïve ruminants while ‘experienced’ ruminants are observed to better tolerate toxin-contaminated feed. Ruminants can possess detoxification ability through rumen microorganisms with the rumen microbiome able to adapt to utilise toxic secondary metabolites. The ability of rumen microorganisms to metabolise these toxins has been used as a basis for the development of preventative probiotics to confer resistance against the poisoning to naïve ruminants. In this review, detoxification of various toxins, which include plant toxins, cyanobacteria toxins and plant-associated fungal mycotoxins, by rumen microorganisms is discussed. The review will include clinical studies of the animal poisoning caused by these toxins, the toxin mechanism of action, toxin degradation by rumen microorganisms, reported and hypothesised detoxification mechanisms and identified toxin metabolites with their toxicity compared to their parent toxin. This review highlights the commercial potential of rumen inoculum derived probiotics as viable means of improving ruminant health and production.
Key Contribution:
The review discusses various secondary metabolite toxins and up-to-date studies on their detoxification by rumen microorganisms while highlighting the commercial potential of rumen microorganisms to be used as probiotics against various plant toxins, cyanotoxins and mycotoxins.
1. Introduction
Common animal feeds including pasture grass, grains, crop residues, hay, silage and legumes or even water sources may contain toxins that can cause poisoning when animals ingest them. These toxins originate from secondary metabolites of plants, bacteria, algae or fungi and unlike primary metabolites are not directly part of the normal growth, development or reproduction of these organisms. Secondary metabolites by comparison are thought to protect against environmental stresses and predators, providing an advantage to the organism producing them [1]. Chemically, secondary metabolites comprise greater than 200,000 compounds which include compounds such as alkaloids, saponins, phenolic acids, steroids and terpenoids [2,3]. Once ingested, certain toxic secondary metabolites can interrupt the metabolic pathway of the animal consumer inducing undesirable biochemical and physiological changes in the cells, tissues and organs of the animal.
Toxic compounds can be commonly or seasonally found in ruminants’ feed or amongst pasture grass naturally where ruminants can inadvertently consume them thus inducing poisoning symptoms. Ruminants can develop adaptation mechanisms through rumen microorganisms to neutralise the effects of toxic secondary metabolites. These toxins are not toxic against rumen microorganisms and some can be used as energy sources for certain rumen microbial populations to adapt to toxins [4], with the detoxification capacity relying heavily on the amount of toxin consumed [5]. Rumen microbial populations are able to gradually change with prolonged, increasing exposure to toxins, thus allowing gradual tolerance of the toxin in ruminants [6]. Degradation pathways of a toxin in most cases involve a consortium of rumen microorganisms as the enzymes involved may not be present in a single rumen bacterial species [7]. In the case where a single rumen bacterium is capable of toxin degradation, there is a possibility of the presence of distinct microbial strains of the same species in the rumen that contributes to the detoxification process [8]. However, toxin degradation by rumen microorganisms does not always result in the detoxification of the toxins. For example, the mycotoxin zearalenone (ZEA) was reported to be degraded by rumen microorganisms but their metabolites were suggested to be more toxic compared to the parent toxin [9,10].
Various research studies have capitalised on the rumen’s capacity either through natural or augmented microbial abundance in the development of preventative probiotics. Probiotics are defined as live microorganisms which when administered in adequate amounts confer health benefits to the host [11]. Such probiotics are able to produce nutrients, produce or stimulate enzymes, provide competition with pathogens for adhesion sites, improve immune systems and metabolise or detoxify toxins [12]. An effective probiotic is generally characterised as a strain that can be beneficial to the host, has an appropriate count of viable cells, confers resistance to disease and toxins, yet is non-pathogenic, non-toxic and able to survive and metabolise in the gut environment [13]. Probiotics can be fed to naïve animals to confer resistance against the toxin thus allowing these animals to graze pasture grass or feed that contain toxins without severe toxic effects. These probiotics can be derived from either microorganisms in the environment which could degrade the toxins naturally or from rumen microorganisms of animals that are resistant to the toxin.
Our understanding of animal poisoning by toxic plants has grown rapidly over the last decade, along with new knowledge on the detoxification of plant toxins by adapted animals. However, most studies only report on the detoxification ability of studied microorganisms without describing the biochemical pathways for detoxification or their metabolites. This review mainly focuses on the detoxification of toxins found in plant or cyanobacteria and plant-associated fungal mycotoxins by rumen microorganisms and discusses the clinical studies of the toxicosis, toxin mechanism of action and biochemistry behind detoxification metabolism (Table 1). The review will include toxin degradation by rumen microorganisms producing reported and hypothesised less toxic or non-toxic metabolites (Table 2). It also includes both reported and hypothesised detoxification mechanisms of various toxins by rumen microorganisms, with particular emphasis on studies that have led or could potentially lead to the development of protective microbial interventions with the capacity to degrade the toxin for ruminants.
Table 1.
Summary of toxins and their effects on ruminants.
Table 2.
Rumen microorganisms and their role in toxin degradation to non-toxic metabolites.
2. Rumen Microbial Detoxification of Plant Toxins
2.1. Non-Protein Amino Acids
Non-protein amino acids are plant secondary metabolites produced as a means to protect plants from environmental stresses, including herbivory [95]. Non-protein amino acids are structurally similar to proteinogenic amino acids which suggests both types of amino acids share similar synthetic metabolic pathways [96]. This would mean both types of amino acids compete for the same enzyme co-factors and transporters which can disrupt biochemical pathways [97]. Non-protein amino acids can be incorporated into protein chains leading to the formation of non-functional products that cannot be metabolised [98]. The presence of non-protein amino acids in fodder poses risks to livestock due to their potential toxicity and anti-nutritional properties [25,64,99]. There are ca.1000 known non-protein amino acids [98] but this review will focus on the small number of toxic amino acids currently known to be detoxified by rumen microorganisms.
2.1.1. Mimosine
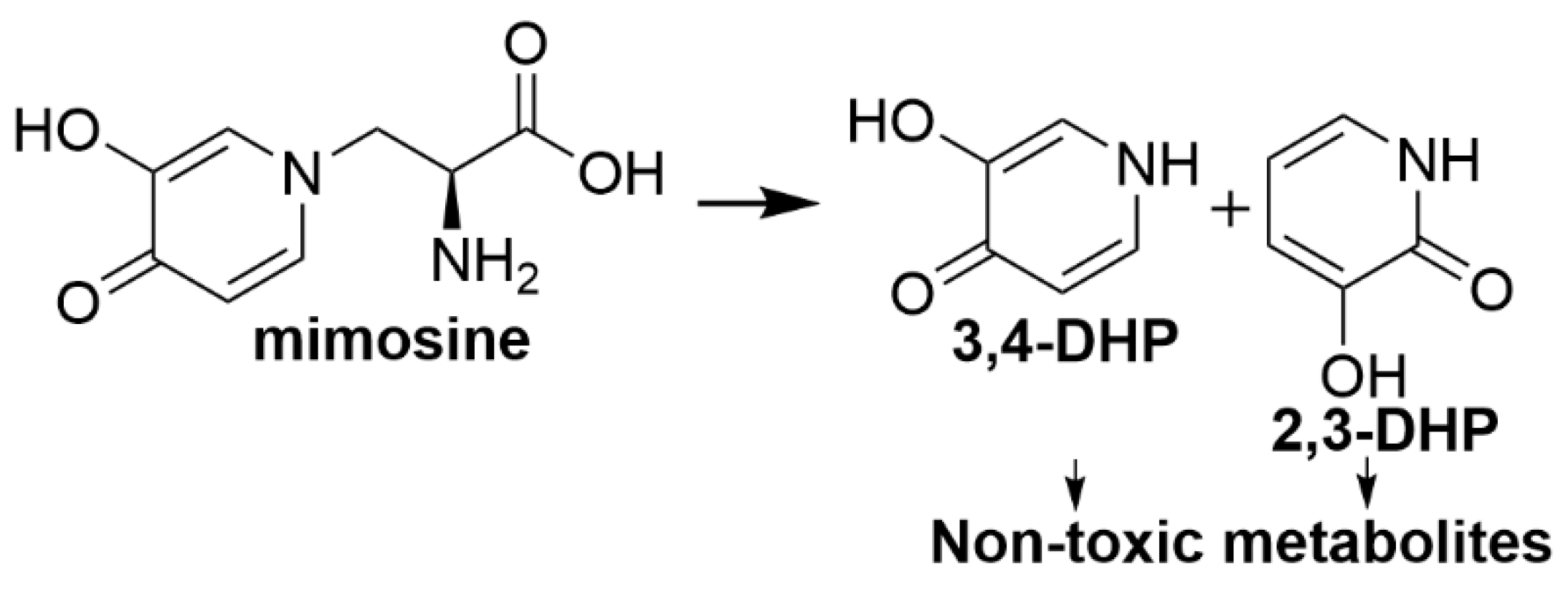
A well-recognised example of the development of a protective microbial consortium for detoxification of a plant toxin is the detoxification of the amino acid mimosine present in the leucaena plant (Leucaena leucocephala). Leucaena is a high-protein leguminous shrub, originating from the midlands of southern Mexico, Guatemala, El Salvador and Honduras [100], with use as a forage feed in tropical and subtropical agricultural systems starting in the 1950s in Australia [101] and Hawaii [102]. Feeding leucaena to cattle can result in leucaena toxicity with animals displaying symptoms including hair loss, goitre, inappetence and poor cattle live-weight gain [14]. Mimosine was reported to be degraded to 3,4-dihydroxypyridine (3,4-DHP) and 2,3-dihydroxypyridine (2,3-DHP) in the rumen [103], with these degradation products shown to be toxic [104].
A study reported that goats and cattle from Hawaii maintained appetite and exhibited no clinical signs of poisoning when fed leucaena exclusively [105]. By comparison, Australian ruminants exhibited marked hypothyroidism within four weeks [15]. An in vitro experiment, incubating leucaena in fresh rumen fluid showed Australian goat rumen fluid was able to rapidly convert mimosine to DHP but no further, whilst the Hawaiian goat rumen fluid showed a marked decrease in both mimosine and DHP levels [15]. A mixed bacterial culture, enriched from rumen fluid obtained from a Hawaiian goat, was then used to inoculate a steer in Australia which was fed leucaena for over 12 months without leucaena toxicity occurring and in vitro studies confirmed the presence of DHP-degrading bacteria [61]. Subsequently a novel anaerobic rumen bacterium, Synergistes jonesii was isolated with the ability to degrade 3,4-DHP to 2,3-DHP and 2,3-DHP to non-toxic products [62]. The development and production of a mixed anaerobic bacterial inoculum containing S. jonesii, produced in an in vitro fermenter, has enabled the adoption of leucaena as a fodder tree for cattle by Australian producers [63].
However, inoculation of buffalo rumen fluid containing S. jonesii into ruminants in eastern Indonesia did not fully confer mimosine resistance as there was no significant decrease in 2,3-DHP levels in the urine [106]. Halliday et al. [106] argued the possibility that the inoculum did not increase the presence of ‘functional’ S. jonesii in the rumen and was ineffective in conferring complete resistance to DHP toxicity. In China, four rumen-derived bacteria (two Lactobacillus spp., Streptococcus bovis and Clostridium sporogenes) were isolated and identified with the ability to substantially degrade mimosine, 3,4-DHP and 2,3-DHP under in vitro conditions [107]. A rumen bacterium that was able to degrade mimosine and DHP was isolated in Germany and identified to be an aero-tolerant gram-negative coccobacillus belonging to the genus Klebsiella [108].
Mimosine degradation (Figure 1) to 3,4-DHP involves the de-alkylation of the amine group, followed by isomerisation of 3,4-DHP to 2,3-DHP. Mimosine conversion to 3,4-DHP occurs via enzymatic reaction by endogenous rumen bacteria [103] and endogenous plant enzymes within leucaena leaves [104]. Isomerisation of 3,4-DHP to 2,3-DHP was suggested to be induced by an isomerase in S. jonesii whilst a dehydrogenase produced by S. jonesii was predicted to be responsible for the further degradation of 2,3-DHP [109]. Based on early studies, it was thought that mimosine detoxification would require synergism between a variety of rumen microorganisms, with Jones and Megarrity [15] demonstrating that there were a range of bacteria in the rumen able to degrade mimosine to 3,4-DHP. A number of bacteria have been isolated including Streptococcus lutetiensis, Clostridium butyricum, Lactobacillus vitulinus and Butyrivibrio fibrisolvens that are able to degrade mimosine to DHP [99]. Additional bacteria such as S. jonesii are required for the further breakdown of 3,4-DHP to 2,3-DHP which S. jonesii can further convert to unidentified non-toxic metabolites. Other rumen microorganisms may be also involved in the detoxification process in one way or another with roles ranging from stabilisation of the ruminal ecosystem to providing nutrients or co-factors required by the detoxifying bacteria [110].
Figure 1.
Proposed metabolite degradation pathway of mimosine (adapted from [111]).
2.1.2. 4-N-Acetyl-2,4-diaminobuytric Acid (A-DABA)
Acacia angustissima is a tropical legume tree originating from Central America and has potential as a fodder tree for ruminants because of its high levels of protein. A. angustissima toxicity was first reported in sheep with poisoning symptoms including head pressing, grinding of teeth, foaming at the mouth and jerking of the body [16], although the toxin was not then identified.
Several secondary metabolites of A. angustissima were proposed to be toxic including condensed tannins, saponins and non-protein amino acids but their toxicity was not determined. Extracted condensed tannins of A. angustissima when fed to rats showed tannins contributed to the anti-nutritional effect but suggested the tannins were not the responsible toxins [112]. Non-protein amino acids such as 4-N-acetyl-2,4-diaminobutyric acid (A-DABA), diaminobutyric acid (DABA) and 2,3-diaminopropionic acid (DAPA) are commonly present in A. angustissima [113]. A feeding trial with naïve sheep showed adaptation when A. angustissima was introduced gradually, with increasing amounts fed over time resulting in no damage observed to their internal organs [16]. The study did not report on the presence of metabolites in the rumen nor isolate any toxin-degrading bacteria. Cross-inoculation of rumen contents from adapted sheep to non-adapted sheep conferred detoxification ability to the acceptor sheep even when fed high amounts of A. angustissima [16]. This result supported the hypothesis that rumen microorganisms play an important role in detoxification of toxins present in A. angustissima and these microorganisms can be transferred to non-adapted animals. A further study showed that DABA was the non-protein amino acid responsible for the toxicity in A. angustissima, as poisoning symptoms were observed to be similar to those caused by DABA in Lathyrus sylvestris (flatpea) [114].
A further in vitro study using enriched cultures obtained from rumen contents of sheep adapted to A. angustissima demonstrated degradation of A-DABA, DABA and DAPA [64]. A-DABA was observed to be hydrolysed to DABA (Figure 2i), as an intermediate, when incubated with the enriched culture in a medium without carbohydrates but no intermediate was observed in A-DABA incubated in media containing carbohydrates [64]. This suggests that the production of DABA as an intermediate of A-DABA degradation could be due to bacteria utilising A-DABA as a nutrient source in the absence of freely available carbohydrates. However, isolation of bacteria capable of degrading A-DABA and DABA was unsuccessful [64]. The presence of DABA aminotransferase and decarboxylase previously identified in several proteobacteria suggest the possibility that DABA is converted into diaminopropane in the rumen [64]. On the other hand, two rumen bacterial strains able to metabolise DAPA were successfully isolated and identified to belong to the Firmicutes phylum (strain LPLR3) and Klebsiella genus (strain LPSR1) respectively based on 16S rRNA gene analysis [64]. Strain LPSR1 showed degradation of DAPA in media containing carbohydrates while strain LPLR3 can grow and degrade DAPA in media containing DAPA as the main carbon source [64]. The authors hypothesised that DAPA degradation by strain LPLR3 was the result of its deamination to glutamate, as the molar amount of ammonia produced was equal to the amount of DAPA degraded (Figure 2ii) [64].
Figure 2.
Proposed degradation pathway of (i) A-DABA and (ii) DAPA(adapted from [64]).
2.1.3. β-N-Oxalyl-l-α,β-diaminopropionic Acid (β-ODAP)
Lathyrus sativus (grass pea) is widely cultivated in western Asia, North Africa and the Indian subcontinent as a forage crop with high dietary protein content [115]. The use of L. sativus however is limited due to the presence of β-N-oxalyl-l-α,β-diaminopropionic acid (β-ODAP) (Figure 3), a non-protein amino acid present in the seeds of L. sativus. Prolonged consumption of L. sativus seeds in humans is often associated with the development of lathyrism which is a neurodegenerative syndrome resulting in the paralysis of the lower limbs with β-ODAP identified as the toxin responsible [17]. Multiple studies were performed to elucidate the β-ODAP mode of action for inducing lathyrism but were unsuccessful [18]. β-ODAP was also proposed to induce oxidative stress and excitotoxicity which results in motor neuron degeneration [18,116]. Intraperitoneal administration of isolated β-ODAP to chicks at the level of 20 mg/chick resulted in the development of neurological symptoms and persisted up to 12 h while a higher administered dose of 30–60 mg/chick led to the symptoms persisting for up to 24 h and even resulted in death [17]. Pathological studies on the effects of β-ODAP in sheep showed nerve cell necrosis and degeneration in the cerebral cortex [117,118]. There are reported attempts to detoxify β-ODAP in L. sativus either in-field or post-harvest to achieve safe utilisation of L. sativus as food and fodder. L. sativus lines with low β-ODAP toxin levels were developed using traditional breeding methods but lines free of β-ODAP have not yet been successfully produced [119]. There are also efforts to genetically transform microorganisms with genes of enzymes capable of the hydrolysis of β-ODAP [120].
Figure 3.
Chemical structure of β-ODAP.
Efforts to isolate rumen microorganisms capable of degrading β-ODAP were reported. Enrichment and isolation of rumen bacteria able to degrade β-ODAP was carried out using rumen fluid of sheep (not previously exposed to L. sativus) incubated with culture medium containing concentrated β-ODAP extract as the sole source of carbon and nitrogen [65]. Three isolates were identified as able to degrade up to 46% β-ODAP in 24 h incubations [65]. The isolates were described morphologically to be cocci and to be different from each other but they were not identified [65]. Enrichment and isolation from cattle rumen contents incubated in medium containing β-ODAP as sole carbon source led to the isolation of six isolates capable of degrading β-ODAP, where five isolates were Gram-negative and one was Gram-positive [66]. 16S rRNA gene sequence analysis identified the isolates to be Megasphaera elsdenii with five different genotypes and Clostridium bifermentans. The isolates were also reported to degrade 96% of β-ODAP within six days of incubation [66], however the degradation product(s) was not reported.
2.1.4. Indospicine
Indigofera spp. are leguminous herbs and shrubs with more than 700 species found mostly in subtropical and tropical regions [121]. These plants are of agronomical importance and widely used as grazing forages and feed supplements as they are rich in protein and palatable to livestock. However, the presence of indospicine in some Indigofera spp. has limited their agronomic potential. Indospicine (2(S)-2,7-diamino-7-iminoheptanoic acid) is a non-protein amino acid analogue of arginine which is present as the free amino acid in Indigofera plants [122]. Ingestion of indospicine was shown to cause severe liver damage to monogastric animals such as dogs, mice and rabbits [123,124,125]. Dogs are highly susceptible to indospicine hepatotoxicity with reported cases of secondary poisoning in dogs consuming indospicine-contaminated meat from horses and camels [126]. Indospicine could not be degraded in mammalian tissue due to the presence of the unusual amidino group as no known mammalian enzymes have the capacity to degrade this functional group [127].
Indospicine toxicity was observed in livestock consuming Indigofera plants with this amino acid confirmed to be the responsible toxin through in vivo rodent toxicity studies [124]. Further studies on indospicine described its toxicological effects in animals upon consumption. Since indospicine shares similar chemical structure to arginine, indospicine was hypothesised to be able to disrupt hepatic arginine-related protein synthesis leading to chronic liver damage. Indospicine was found to be a competitive inhibitor to rat hepatic arginase with arginase having similar affinity towards indospicine as to arginine, which negatively impacted aminoacylation of arginine causing urea cycle disruption [128]. Indospicine was also shown to interfere with hepatic protein metabolism resulting in fat accumulation and cytological changes in mice liver [124]. Indospicine was found to accumulate in animal tissues leading to secondary poisoning as indospicine can remain in tissues over a long period of time [123,129,130]. Indospicine has been shown to accumulate in cattle fed I. spicata with slow depletion rates (t1/2 more than 30 days in muscle) [122]. Indospicine is found to be a competitive inhibitor of arginyl-tRNA synthetase which prevents incorporation of arginine into tRNA affecting ribosomal polypeptide synthesis [128]. Purified indospicine was found to cause cleft palate in mice foetuses and had a high embryo-lethality [131].
Various studies reported ruminants grazing indospicine containing Indigofera plants, with different observations depending on the feeding dose and animal species. Cattle suffering from indospicine toxicity showed liver lesions, teratogenic and embryo-lethal effects [19]. There are reports of cattle able to tolerate indospicine under normal grazing circumstances in Australia, Hawaii and Kenya [132,133,134]. On the other hand, there are also studies which reported that cattle in Hawaii and Sri Lanka that were fed fresh Indigofera plants over a period of weeks showed clinical signs of poisoning with symptoms such as loss in body weight and liver lesions [21,134]. Cattle feeding on Indigofera plants were also reported to suffer from reproductive losses. Studies in Africa, Hawaii and Fiji showed that cattle that were fed with 16% to 100% Indigofera plants for their diet for over a month suffered abortions and stillbirths in pregnant cows and heifers [20,23,24]. These studies suggest that indospicine poisoning can be induced in cattle if they ingest large amount of Indigofera plants, with high intake of indospicine, over an extended period of time. In extensive pastures of northern Australia where cattle are not closely monitored, it is possible that similar instances of reproductive loss occur but are not readily attributed to protracted Indigofera consumption [19].
Sheep grazing Indigofera plants experienced both hepatotoxic effects and embryo-lethality [19]. Feeding trials in Hawaii showed that sheep on Indigofera diet displayed more clinical signs of poisoning compared to cattle, with sheep deaths occurring after 28 days. Post-mortem examination revealed fatty degeneration of the liver [134]. Sheep fed I. spicata in Australia developed signs of poisoning showing inappetence and weight loss with liver lesions [22]. Sheep are found to be able to tolerate small amounts of Indigofera without signs of poisoning, as also seen in cattle. Feeding trials with sheep consuming small amounts of Indigofera in Australia, India and Kenya reported no apparent signs of toxicity and Indigofera was highly palatable to sheep [132,133,135].
Indospicine which is an amidine was observed to be hydrolysed to the amide first, which is then further hydrolysed to the corresponding acid [67]. Amidine hydrolysis to amide is known to occur more rapidly under mild alkaline rather than acidic conditions [136]. Studies with pure indospicine in dilute aqueous sodium carbonate resulted in the hydrolysis of indospicine to 2-aminopimelamic acid, with further hydrolysis to 2-aminopimelic acid under dilute acidic conditions (1 N HCl, 120 °C, 2 h) [124]. Indospicine hydrolysis directly to 2-aminopimelic acid was also reported with concentrated hydrochloric acid (6 N HCl, 120 °C, 20 h) [124]. Indospicine was also found to be stable under mild acidic aqueous conditions in vitro and it was hypothesised that the mild acidic conditions in the stomach would not be able to hydrolyse indospicine [137].
Free amino acids are known to be taken up by rumen microbes in either native or deaminated form to produce ammonia as a nitrogen source for cellulolytic bacteria which means that indospicine could be metabolised via deamination pathways in the rumen [67]. Therefore, there is potential for rumen microorganisms to detoxify indospicine. Camel foregut fluid showed indospicine degradation of 99% in 48 h in an in vitro incubation study [67]. In a similar study, degradation of indospicine by cattle rumen fluid showed degradation levels of 97% after 48 h incubation [67]. However, the efficiency of indospicine degradation in vitro could not be translated to produce similar efficiency in vivo, as the solubility of indospicine allows the toxin to have a short ruminal retention time before moving into the intestine and being rapidly absorbed into blood plasma and tissues of animals. Cattle rumen metabolism of indospicine was hypothesised to be similar to that in camel foregut fluid. The camel is a unique non-ruminant herbivore that possesses a compartmental stomach and extensive foregut fermentation processes, such that researchers sometimes refer to camels as “pseudoruminants” [138]. The study also reported indospicine to be hydrolysed into 2-aminopimelamic acid and 2-aminopimelic acid (Figure 4) followed by further metabolism [67]. Although indospicine is an analogue of arginine, it does not follow a similar metabolic pathway to arginine when metabolised by rumen microbes. Instead, formation of 2-aminopimelamic acid was found to follow a similar pathway to the formation of citrulline from arginine, but the absence of nitrogen adjacent to the amide prevented ornithine equivalent metabolite formation [67]. There is no reported knowledge on the toxicity of both indospicine metabolites. The reported in vitro indospicine degradation by camel gut fluid and cattle rumen fluid suggested the potential of rumen microorganisms to be used as probiotics against the toxin. However, such ambition is perhaps compromised by the solubility of indospicine and the lack of binding of indospicine in tissues [123].
Figure 4.
Hydrolysis pathway of indospicine (adapted from [67]).
2.2. Fluoroacetate
Fluoroacetate (FCH2COO−) is a highly toxic compound, found in over 40 plant species [139], which is responsible for fatal poisonings of ruminants [25,26], and also used as a potent pesticide to control mammalian pest species [140]. The mechanism of fluoroacetate toxicity is well known, fluoroacetate is absorbed through the gut and converted to fluorocitrate, which binds strongly to the aconitase enzyme in the tricarboxylic acid (TCA) cycle thus terminating cellular respiration due to aconitase shortage [140,141]. Citrate builds up in tissues and blood, causing symptoms of toxicity including acidosis, hypocalcaemia and heart failure [27]. Fluoroacetate can be usually found in tropical and subtropical plants from the southern continents of Australia, South America and Africa belonging to the plant families of Fabaceae, Rubiaceae and Malpighiaceae [142], with such plants posing a significant risk to grazing livestock [19,78].
Despite studies reporting on fluoroacetate poisoning across many animals [143,144,145], some wildlife species are found to possess an innate tolerance to fluoroacetate compared to other animals. Animals in Australia such as Tiliqua rugosa (skink) were reported to have 100-fold tolerance to fluoroacetate [146] while Dromaius novaehollandiae (emu) that foraged in areas with fluoroacetate-accumulating plants were found to be 150 times more tolerant to fluoroacetate compared to emus foraging outside these areas [147]. Intraperitoneal administration of sodium fluoroacetate to tammar wallaby (Macropus eugenii) from Western Australia that was not exposed to any fluoroacetate-containing plants prior to the study showed tolerance against fluoroacetate poisoning [148]. These observations led to the proposed hypothesis that fluoroacetate tolerance is due to the lower metabolic rate in these animals which slowed the rate of fluoroacetate absorption and metabolism thus allowing these animals to excrete or detoxify fluoroacetate [149].
It was reported that feeding repeated low non-toxic doses of fluoroacetate containing plants to ruminants will confer resistance against fluoroacetate poisoning [150]. Furthermore, the resistance can be transferred to naïve animals through ruminal fluid transfer from experienced animals. Goats that were fed with increasing doses of fluoroacetate containing Amorimia septentrionalis in alternating periods, showed that the adapted goats possessed resistance against fluoroacetate poisoning while transfaunated goats, with adapted rumen fluid, showed clinical signs of poisoning much later compared to control goats [151]. Resistance against fluoroacetate poisoning was also observed in sheep fed with non-toxic doses of Amorimia pubiflora while transfaunated sheep, with adapted rumen fluid, showed initial clinical poisoning symptoms significantly later than the control group [150]. Although the above-mentioned studies did not report on any rumen bacteria isolations responsible for fluoroacetate degradation, it is predicted that these rumen bacteria would possess fluoroacetate dehalogenase activity capable of reductively breaking the carbon-fluorine bond in fluoroacetate [152]. Rumen microorganisms from un-adapted cattle rumen fluid that were enriched in the presence of fluoroacetate as carbon source resulted in the selection and isolation of a novel rumen bacterium capable of degrading fluoroacetate [68]. This bacterial strain was identified to be a Synergistes sp. and was able to degrade fluoroacetate (FCH2COO−) producing fluoride (F−) and acetate (CH3COO−) [68,69]. A recent study reported the isolation of rumen bacteria from the genera Enterococcus and Bacillus in media containing sodium fluoroacetate as the sole carbon source [153]. However, a study administering increasing subclinical doses of pure sodium fluoroacetate directly into a goat’s rumen did not result in the animal developing resistance against fluoroacetate [154].
An in vitro study using ovine rumen fluid, from an animal that did not previously graze fluoroacetate-containing plants, incubated in growth media with sodium fluoroacetate as the sole carbon source resulted in the isolation of two isolates capable of fluoroacetate degradation. 16S rRNA gene sequencing of both isolates identified as being Pigmentiphaga and Ancylobacter species [70]. Incubation of both isolates in media culture containing 20 mmol/L of sodium fluoroacetate resulted in the complete release of fluoride ions after 32 h of incubation [70]. A recent in vitro inoculation study using Australian cattle rumen fluid in culture medium containing fluoroacetate resulted in the isolation of a rumen bacterium which was identified as belonging to the Synergistetes phylum and in the genus Pyramidobacter [71]. The isolated Pyramidobacter strain was suggested to have similar fluoroacetate detoxifying functions to the previously reported bacterium from Davis et al. [68] and was found to be present in higher numbers, based on quantitative PCR analysis of collected rumen fluid, in cattle across northern Australia [71].
Experimental inoculation of ruminants with Butyrivibrio fibrisolvens bacteria genetically modified with a dehalogenase gene from the soil bacterium Moraxella sp. strain B showed success in preventing fluoroacetate poisoning in ruminants [72]. A further study involving genetically modified B. fibriosolvens strains transformed with dehalogenase genes inoculated into sheep showed the inoculated sheep to be resistant against fluoroacetate poisoning [73]. However, concerns over transgenic bacteria prevented the commercial use of such an approach to mitigate fluoroacetate poisoning in ruminants.
2.3. Pyrrolizidine Alkaloids
Alkaloids are a diverse group of amino acid-derived and nitrogen-bearing molecules present in plants. They are low molecular weight structures which make up 20% of plant based secondary metabolites. Alkaloids are known for their diverse bioactive properties ranging from toxicity to pharmacological properties [155,156]. Pyrrolizidine alkaloids (PA) are secondary metabolites produced by about 3% of all flowering plant species as protection against herbivory [157]. There are more than 660 PAs and N-oxide derivatives identified in over 6000 plants of four families, Apocynaceae, Asteraceae (Compositae), Boraginaceae and Fabaceae (Leguminosae) with half of these PAs reported to have toxic activities [158]. PAs are heterocyclic compounds consisting a necine base esterified with one or more necic acids. Generally, naturally occurring PAs present in plants are esterified necines and frequently occur as the N-oxide (PANO) [159]. PAs can be classified into four groups based on the structure of the necine base which are retronecine, heliotridine, otonecine and platynecine. Necic acids are aliphatic carboxylic acids derived from amino acids, ranging from simple acids to more complex di- and mono-carboxylic acids containing 7, 8 or 10 carbons, and are joined to the necine bases at either the 7-OH or 9-OH positions [159].
The toxicity of PAs is well documented. PA intoxication can cause acute, sub-acute or chronic toxicity where acute intoxication manifests as haemorrhagic necrosis, sub-acute toxicity causes blockage of hepatic veins, and chronic toxicity can lead to liver failure and death [159,160,161]. PAs of heliotridine-, retronecine- and otonecine-types are known to cause genotoxicity and tumorigenicity through formation of DNA adducts with dehydropyrrolizidine alkaloids (DHPA) [159]. PAs also undergo photosensitization causing oxidative stress and lipid peroxidation leading to tumour formation [162]. PAs are also reported to cause lung damage when DHPA travels into the pulmonary arterioles causing thrombi in vessels and thickening in lung walls leading to occlusion and inflammation [163]. Neurotoxicity by PAs is seen in necrotic lesions in the central nervous system [164].
Metabolism of PAs is required for toxicity bioactivation. PAs are usually orally ingested and absorbed into the body from the gastrointestinal tract [159]. Bioactivation of PA mostly occurs in the liver thus making this organ the most affected by PA toxicity. In general, there are three principal PA metabolic pathways. The first metabolic pathway involves hydrolysis of the ester groups linked to the C7 and C9 positions to produce necines and necic acids by liver microsomal carboxylesterases [160]. The second metabolic pathway is the N-oxidation of the necine base of PAs forming pyrrolizidine alkaloid N-oxides which can be conjugated allowing for excretion [160]. The third metabolic pathway is the oxidation of PA to form pyrrolic esters or DHPA [160]. Hydrolysis and N-oxidation of PA are considered to be the main detoxification route for PA removal from the body [165]. However, PA N-oxides can be converted back into PAs and be oxidised into DHPA by CYP450 monooxygenases, notably CYP3A and CYP3B [163]. Not all PA types can be metabolised by all three pathways. Retronecine- and heliotridine-type PAs can be metabolised by all three principal metabolic pathways (Figure 5) [159]. On the other hand, otonecine-type PAs have necine bases which are structurally different than retronecine- and heliotridine-type PAs and oxidative N-demethylation of the necine base precedes further metabolism [159].
Figure 5.
Retronecine/Heliotrine-type PA metabolism (adapted from [159]).
PAs are highly toxic to both monogastric and ruminant herbivores and present a constant issue for livestock industries [166]. Furthermore, the ability of PAs to be transferred and contaminate food products such as honey, milk and dairy products should be considered as a severe health risk [166]. Ruminants are resistant to PAs and are seldom reported to show acute poisoning but experience sub-acute to chronic toxicity [32]. Clinical symptoms of ruminant PA intoxication include loss of appetite, diarrhoea and depression [28]. Livestock losses were reported in the United States due to livestock grazing PA containing plants of Senecio jacobaea (tansy ragwort) [29] while PA intoxication of poultry, cattle, horses and pigs in Australia has identified PA containing plants Heliotropium europaeum (European heliotrope) and Echium plantagineum (Paterson’s curse) to be responsible [167,168,169,170,171]. Calves fed with S. jacobaea in doses of 1.3 kg/day (3 mg/kg bodyweight (bw) PA) resulted in megalocytosis after 182 days [32]. Calves fed with a single dose of 60 mg/kg bw PAs from Cynoglossum officinale (hound’s tongue) resulted in animal deaths within 48 h, whilst daily cattle feeding PAs with a dose of 15 mg/kg bw for 21 days showed hepatocellular necrosis by day 35 [30]. Goat kids and lactating dairy goats fed dried S. jacobea as 25% of a complete diet reported chronic clinical symptoms while cattle and horses with intakes of 0.05 and 0.20 kg/kg bw of S. jacobea respectively were lethal [31]. The study suggested that goats are more resistant to PAs compared to cattle and horses [31].
Resistance to PA poisoning was previously reported in sheep where the detoxification was hypothesised to occur in the rumen, suggesting that sheep rumen microorganisms have the ability to metabolise PAs and render them non-toxic [74,172]. Resistance against PA poisoning was reported to only occur in animals that were previously exposed to the toxin allowing rumen microbes to adapt to metabolise PAs. In confirmation, in vitro incubation of PAs that were commercially purchased or isolated from PA-containing seeds using ruminal contents from naïve sheep and cattle resulted in no PA degradation and the PAs remained stable in the incubation [173]. In contrast, sheep fed daily with 10 g/kg bw of dried Heliotropium ovalifolium (grey leaf heliotrope) did not show any poisoning symptoms [174] and no poisoning was reported in sheep fed daily with 105 mg/kg bw of E. plantagineum [175]. In vitro incubation of the PA heliotrine in rumen fluid from Australian Merino wethers, fed on green ryegrass-white clover diet, showed heliotrine degradation by a bacterium that was described to be Gram-negative, micrococcus, growing in pairs, short chains and clumps [75]. The bacterium was observed to reduce heliotrine (Figure 6) into 7α-hydroxy-1-methylene-8α-pyrrolizidine and heliotric acid in the presence of formate or molecular hydrogen as hydrogen donor [75]. Incubation of heliotrine in rumen fluid of Merino × Border Leicester ewes and wethers fed with dried H. europaeum resulted in the isolation of a bioactive strain which was named Peptostreptococcus heliotrinreducens [74]. This study was in agreement with Russell and Smith [75] and showed that formate and hydrogen were required for P. heliotrinreducens growth. P. heliotrinreducens was able to degrade other PAs including europine, lasiocarpine, supinine and heleurine to form 1-methylene derivatives similar to the metabolites observed by Russell and Smith [75] in modified media [74]. Both studies did not report any toxicity of the 1-methylene derivatives of PAs which suggest the possibility of successful PA detoxification by ovine rumen bacteria. This shows that PAs can be detoxified by reducing the 1,2 double-bond of the necine moiety. The presence of rumen bacteria in sheep that are able to detoxify PAs may be utilised for cross-inoculation to other ruminants thus conferring immunity to other ruminants when ingesting PAs.
Figure 6.
Proposed metabolic pathway of heliotrine degradation (adapted from [75]).
A later study showed the synergistic relationship of ruminal microorganisms in metabolising S. jacobaea PAs. It was reported that a group of unidentified ruminal bacteria were responsible for PA metabolism while ruminal protozoa may have been involved in increasing the rate of degradation [172]. This could be due to the presence of protozoa and certain bacteria that could be responsible for the adsorption or adherence of PA-degrading bacteria to plant particles thus allowing the metabolising bacteria to utilise PAs [172].
Another in vitro incubation study compared the metabolism of monoester PA, diester PA and macrocyclic PA by either a mixed rumen bacteria culture (L4M2) obtained from rumen fluid of sheep that was fed with S. jacobaea as their diet or a commercially purchased P. heliotrinreducens (ATCC strain 29202) originally isolated from Australian sheep rumen fluid [76]. The study reported that P. heliotrinreducens was able to completely metabolise heliotrine (monoester PA) and lasiocarpine (diester PA) within 16 h of incubation but was unable to metabolise macrocyclic PAs throughout the 24 h incubation period [76]. The mixed L4M2 culture on the other hand was able to metabolise all three types of PAs and in shorter incubation times compared to P. heliotrinreducens [76]. All PAs were shown to be metabolised to their respective 1-methylene product and the L4M2 culture was found to be possibly able to further metabolise the 1-methylene PAs further [76]. Therefore, the L4M2 culture showed potential to be used as a probiotic against plants containing PAs. Isolation work of the L4M2 rumen microbial culture to identify rumen bacteria responsible for PA degradation resulted in the isolation of six bacterial isolates but these isolates were unable to degrade macrocyclic PAs and could not be identified using 16S rRNA gene sequencing [176]. Bacterial characterisation of enriched L4M2 culture using denaturing gradient gel electrophoresis and PCR cloning in a later study resulted in the classification of several genera of bacteria based on 16S rRNA gene sequences including Anaerovibrio, Desulfovibrio, Megasphaera, Prevotella and Synergistes [77].
2.4. Diterpenoids of Leafy Spurge
Euphorbia esula L. (leafy spurge) is a deep-rooted perennial, noxious weed growing in the rangelands and pastures in many areas of the northern Great Plains of North America and southern Canada since the early 1900s [177]. Leafy spurge has high nutritive value based on crude protein content with comparable values to other grazed pasture species such as alfalfa [178]. However, domesticated livestock, especially cattle, and wildlife tend to avoid grazing leafy spurge [33]. Since cattle are the predominant grazing livestock in North America, their aversion to leafy spurge is deemed to be one of the main reasons for the infestation of this introduced plant across two million acres of range and pasture lands in the United States alone [179]. Management strategies such as herbicides and intensive grazing were applied as a means to control leafy spurge infested lands but complete eradication of leafy spurge has been deemed to be economically unfeasible [180]. No poisoning of livestock from ingestion of leafy spurge in pastures and rangelands has been reported and this could be due to ruminants either avoiding grazing leafy spurge or having the ability to tolerate them. Not all grazing ruminants however were reported to have aversion to leafy spurge. Native sheep and goats were found to graze leafy spurge readily and domestic sheep were found to consume leafy spurge up to 50% of their daily dry matter intake [181]. Goats were observed to graze leafy spurge more willingly compared to sheep [182]. These observations suggest that goats and sheep may possess rumen microbial populations that are capable of metabolising leafy spurge secondary metabolites whilst the cattle rumen do not. The ability of sheep and goats to tolerate leafy spurge has been utilised as a biological control strategy to control leafy spurge invasion in pastures as this strategy is considered to be cost-effective and easy to implement compared to the use of herbicides [183].
Aversion to leafy spurge in cattle has been associated with condensed tannins and diterpenoids present in leafy spurge with these secondary metabolites being correlated with digestive upset in cattle when they ingest low doses of leafy spurge [184]. Ingenol (Figure 7i) and ingenol esters are some of the diterpenoids identified from extracts of leafy spurge which are found to be an irritant and a tumour promoter [34]. Both ingenol and its esters are suggested to induce toxicity due to their structural similarity to diacylglycerol and so mimic diacylglycerol thus activating protein kinase C [185]. The irreversible activation of protein kinase C has been documented to cause metabolic disruption leading to inflammatory response such as tissue damage, release of histamine causing irritation, unregulated cell growth and differentiation which could cause tumour formation [186].
Figure 7.
Chemical structures of (i) ingenol and (ii) ingenol-20-dodecanoate, 3-acetate.
Ingenol and ingenol esters are also reported to be partly responsible for the aversion developed in cattle to leafy spurge. Ingested ingenol was hypothesised to be absorbed into the blood from the gastrointestinal tract which then travels to the area postrema in the medulla oblongata in the brain leading to the development of conditioned aversion [187]. A feeding trial on cattle with feed treated with ingenol resulted in decreased feed intake by 83% on the second day while feed treated with ingenol-20-dodecanoate, 3-acetate (Figure 7ii) showed reduction of feed intake up to 89% on the second day [179]. Toxicity of isolated ingenol was found to be lower compared to its ester derivative of ingenol-20-dodecanoate, 3-acetate when tested on bovine lymphosarcoma cells [179]. The lower toxicity of ingenol compared to its ester also suggest that ingenol esters to elicit more aversion response than the parent ingenol. This could be due to ingenol esters being more lipophilic than ingenol thus they are more likely to be absorbed through the intestinal mucosa [188]. Leafy spurge extract incubated in pure cultures of common ruminal bacteria consisting of Butyrivibrio fibrisolvens, Fibrobacter succinogens, Lachnospira multipara, Prevotella ruminicola, Selenomonas ruminantium and Streptococcus bovis did not cause significant negative effect on their growth suggesting that the toxicity mechanism of leafy spurge extract did not involve the inhibition of feed digestion by rumen microbes [188].
Studies were done to determine the ability of rumen microorganisms to metabolise leafy spurge secondary metabolites. Sheep did not elicit aversion when fed with leafy spurge that was fermented in vitro in goat ruminal digesta but showed aversion to leafy spurge fermented in sheep ruminal digesta [78]. The study suggested that the aversive compounds present in leafy spurge were detoxified by rumen microorganism in goat rumen contents reflecting the difference in the ruminal microbiome of goats and sheep [78]. The study also confirmed previous observations that goats were able to graze leafy spurge more readily than sheep. Further studies to investigate the biotransformation of leafy spurge by rumen microorganisms and the identification of rumen microbes responsible for the degradation are required. In vitro digestibility of leafy spurge inoculated with rumen fluid of cattle or sheep that were either previously exposed or naïve to leafy spurge showed that the in vitro dry matter digestibility increased in rumen fluid previously exposed to leafy spurge while decrease in in vitro dry matter digestibility in naïve rumen fluid [180]. Another in vitro incubation study using rumen content of cattle and sheep fed with 2% dry matter/bw of leafy spurge reported improved dry matter digestibility compared to when using rumen content that was not previously exposed to leafy spurge [79]. The studies suggested that previous exposure to leafy spurge may alter the rumen microbial population to adapt to leafy spurge metabolites. However, this does not mean the adapted rumen digesta are able to detoxify toxic secondary metabolites of leafy spurge.
3. Rumen Microbial Detoxification of Cyanotoxins
Cyanobacteria (blue-green algae) can be commonly found in both fresh and sea waters. They play a key role in the ecosystem and biodiversity as primary producers, oxygen producers and in nitrogen fixation. Formation of algal blooms by cyanobacteria is caused by eutrophication which is an increasing environmental occurrence in the world. These blooms are considered to be potential health hazards as some cyanobacteria are able to produce cyanotoxins which are released into the water when the cells rupture or die. Every cyanobacteria species produces different cyanotoxins that can be classified according to the organs affected by toxicity. Generally, cyanotoxins vary in their toxicology. Chronic exposure of low doses of hepatotoxic cyanotoxins are associated with tumour growth, hepatocyte degeneration with necrosis, progressive fibrosis and mononuclear leukocyte infiltration [36,39]. Neurotoxic cyanotoxins are proposed to be a contributing factor for neurodegenerative diseases [37]. Cyanotoxins are also found to be protein inhibitors, causing DNA damage and genotoxicity and they induce oxidative stress [38,40,41]. Cyanotoxin exposure can occur directly or indirectly. Direct exposure of cyanotoxins mainly involves ingestion of contaminated water while indirect exposure includes consumption of animal or plant products contaminated with cyanotoxins. Cyanotoxins are reported to be able to bio-accumulate, causing their toxic effect to be magnified in food chains [189]. Reports of animal poisoning caused by cyanotoxins are well documented worldwide ranging from fish, domestic animals and livestock which include ruminants [35]. Livestock poisoning associated with cyanotoxins is a major concern as it causes economic losses and reduced animal performance. Sudden livestock death associated with cyanotoxin poisoning has been reported in Australia, United States and Canada [35].
Microcystins are cyclic heptapeptides produced by cyanobacteria species of Microcystis, Oscillatoria, Anabaena and Nostoc and are known to be potent hepatotoxins [190] and tumour promoters [191]. Microcystin-LR (Figure 8) administered through intraperitoneal injection and oral administration to rats showed that rats given microcystin orally were less susceptible to the toxic effects compared to peritoneal administration, suggesting the role of detoxification by gut microorganisms or mechanisms that inhibited cyanotoxin absorption in the gastrointestinal tract [192]. Manubolu et al. [80] hypothesised that rumen microorganisms may have the ability to detoxify cyanotoxins and an in vitro incubation study was done using whole rumen contents from cattle that were not previously exposed to cyanotoxins. The rumen contents were incubated with cyanotoxins of microcystins (microcystin-LR, microcystin-RR and microcystin-YR) and nodularin for three hours and the degradation of the cyanotoxins were determined. Degradation of these cyanotoxins was observed with the degree of degradation determined to be dose and time dependent. Microcystins and nodularin showed higher rates of degradation of up to 36% by rumen fluid at low dose concentrations of 0.05 μg/mL while higher doses of cyanotoxins at 0.5 μg/mL and 5 μg/mL showed lower degradation rates and no degradation rate respectively [80]. Highest degradation rate was also observed in microcystin-YR at the first hour and rapidly decreased at the third hour [80]. The study showed the potential of rumen microbial flora to degrade cyanotoxins. However, no rumen microorganisms were isolated or identified and no metabolic pathway was determined from the incubation study.
Figure 8.
Chemical structure of microcystin-LR.
4. Rumen Microbial Detoxification of Mycotoxins
Mycotoxins are secondary metabolites produced by fungi that can be toxic to both animals and humans [193]. Food and animal feed are highly susceptible to fungal growth and contamination in the field or during storage and the fungal species responsible determines the different mycotoxins which can be present. The Food and Agriculture Organisation (FAO) of the United Nations reported that 25% of the world’s food production is contaminated by at least one mycotoxin [194]. Commonly found mycotoxins include aflatoxin, fumonisins and trichothecenes which are large contributors to most agricultural mycotoxin poisoning concerns [195]. Clinical toxicological studies of high mycotoxin consumption showed various health issues ranging from acute mortality, slowed growth, gastrointestinal disorders, altered nutritional efficiency and reduced reproductive efficiency [196]. Monogastric animals are more susceptible to mycotoxins compared to ruminants as the rumen contains microorganisms which secrete enzymes that are capable of degrading the mycotoxins to less toxic or non-toxic metabolites [196,197,198]. However, not all mycotoxins can be detoxified by rumen microorganisms. Zearalenone which is a nonsteroidal estrogenic mycotoxin commonly associated with causing reproductive disorders in farm animals were found to form metabolites that are more toxic than the parent toxin [199,200].
4.1. Trichothecenes
Trichothecenes are a class of mycotoxins, produced mostly by a number of fungal species namely Fusarium, Trichoderma, Cephalosporium, Myrothecium, Spicellum, Stachybotrys and Trichothecium, which are harmful to human and animals’ health causing a wide range of acute and chronic symptoms [201].
Trichothecenes share a common tricyclic 12,13-epoxytrichothec-9-ene core structure and are divided into four groups (types A–D) (Figure 9) depending on their producer fungi and substitution pattern on the core [201]. Both trichothecenes types A and B are chemically distinguished by the presence of an oxygen or carbonyl functional group at C8 position respectively. Type A trichothecenes such as neosolaniol which possess a hydroxyl group at C8 on its structure, T-2 toxin which has an ester function at C8 and diacetoxyscirpenol that has no oxygen substitution at C8 [201]. Nivalenol (NIV), deoxynivalenol (DON) and trichothecin are type B trichothecenes possessing a carbonyl group at C8 of their structure. Type C trichothecenes have a C7/C8 epoxide while type D trichothecenes have an additional ring that is linked via esters at the C4 and C15 hydroxyls [201]. This classification is commonly used to distinguish between trichothecenes but there are other structural features that are not accounted for in the system.
Figure 9.
Trichothecene structures of Type A–D.
Trichothecenes enter the host body through ingestion and are absorbed via the intergumentary and gastrointestinal systems as they can move passively across cell membranes. Trichothecenes are stable at neutral and acidic pH conditions making them stable and not hydrolysed in the stomach during digestion [201]. Toxicity of trichothecenes has been previously reviewed extensively [202,203]. Trichothecenes are toxic to all tested animal species but the sensitivity towards each trichothecene varies between organisms. Trichothecenes elicit toxic effects on animals which include immunosuppression, reduced growth rate, reproductive disorders, feed refusal and vomiting [42]. Early toxicity studies reported that trichothecenes inhibited eukaryotic protein synthesis by preventing the formation of peptide bond at the peptidyl transferase centre of the 60S ribosomal subunit affecting not only polypeptide chain initiation or elongation but also causing inhibition of polypeptide chain termination [43]. Trichothecenes are responsible for the inhibition of mitochondrial protein synthesis, inhibition of sulfhydryl enzymes and generation of free radicals causing harmful levels of oxidative stress [42,44]. Trichothecenes also inhibited cell growth and mitosis, with in vitro studies using both human cell lines and plants showing growth inhibition in every phase of the growth cycle [204].
Only types A and B are commonly found in crops which are mainly produced by Fusarium. NIV and DON (Figure 10) are type B trichothecenes which are commonly found in cereals grown in temperate areas of America, Europe and Asia. The maximum allowable level of DON in food and feed set by the European Commission regulation (EU) 1881/2006, amended by the European Commission regulation (EU) 1126/2007 is 1250 µg/kg while the level of NIV was not set in the EU regulation [205]. NIV and DON are chemically stable due to their trichothecene skeleton and the epoxide ring is stable against nucleophilic attack. The epoxide group of trichothecenes is generally considered to be essential for its toxicity [206]. Detoxification of trichothecenes was previously observed when the oxygen in the epoxide group was removed to give a carbon-carbon double bond, resulting in non-toxic de-epoxy metabolites. De-epoxy T-2 toxin was observed to be 200 times less toxic than T-2 toxin in rat skin irritation assay [207]. Furthermore, de-epoxy T-2 toxin metabolites were 50 times less toxic compared to metabolites that had intact epoxides when tested in a brine shrimp LC50 test [208]. Cytotoxicity assays using a BrdU bioassay showed that de-epoxy NIV and de-epoxy DON (DOM-1) had higher IC50 values of 64.2 mM and 83 mM respectively, compared to NIV and DON, which had IC50 value of 1.19 mM and 1.5 mM respectively, suggesting the de-epoxides are less cytotoxic than their corresponding trichothecenes [209]. These studies suggested that the detoxification is a single step reaction where the epoxide is reduced thus reducing the toxicity effect of trichothecenes.
Figure 10.
Proposed metabolic pathways of (i) NIV and (ii) DON degradation.
The de-epoxide trichothecenes are suggested to be metabolites of intestinal or ruminal microbes as they were found in urine of rats and in urine and plasma of cattle [82,210,211]. Pig intestinal content and faeces microbes were found to transform trichothecenes to their respective de-epoxides [207,212,213]. The de-epoxidation step has been considered to occur in the intestines prior to absorption but the experimental evidence for this claim is weak as no de-epoxide metabolites were found in liver homogenates nor in in vitro incubation with pig intestinal content from duodenum or jejunum [212]. However, de-epoxide metabolites were found in in vitro incubations with intestinal content of pig caecum, rectum and colon [212].
It was previously reported that rumen microorganisms were capable of degrading NIV and DON into their respective de-epoxide metabolites (Figure 10). In vitro rumen fermentation of DON at concentrations equivalent to 5 ppm and 10 ppm in feed, showed about 89% of DON was reduced within 48 h of incubation [81]. The study also reported that the amount of trichothecenes in the feed can affect the rate of transformation such that when DON was incubated at concentrations equivalent to 50 ppm and 100 ppm in feed, only 49% and 38% of DON was transformed respectively by rumen microbes [81]. In vitro incubation of 2 ppm NIV and DON in rumen fluid collected from Swedish Red and White cows for 48 h resulted in 82% of NIV and DON converted into de-epoxy NIV and DOM-1 respectively [83]. Results also suggest that de-epoxidation reaction is relatively slow as only 35% of DON was found to be de-epoxidised after six hours of incubation [83]. An in vivo trial in which lactating Holstein cows were fed naturally DON-contaminated corn showed DON to be metabolised to DOM-1 and the metabolite was found to be excreted in urine, plasma and milk [82]. Other DON metabolites were also identified from studies involving orally administered DON into sheep where glucuronide conjugated DON, glucuronide conjugated DOM-1 and sulfate conjugated DON were detected in urine and bile [84]. Anaerobic in vitro incubation of 1000 ppm DON in rumen fluid collected from cannulated cattle showed 35% of DON was de-epoxidised after 96 h [85].
A study using in vitro incubation of 100 ppm DON in cattle rumen fluid showed biotransformation of DON into DOM-1 and resulted in the isolation of a bioactive microorganism, identified as an anaerobic Gram-positive bacterium [214]. Further study of the bacterium indicated a new species within the genus Eubacterium, designated Eubacterium strain BBSH 797 [215]. The isolated strain was further developed into a commercial product for trichothecene detoxification in animal feed designed for poultry and swine diets under the brand name Mycofix®. A modified in vitro test model with pig intestine inoculated with Eubacterium strain BBSH 797 and incubated with DON showed formation of DOM-1 [88]. Toxicity test showed that DOM-1 was 500 times less toxic than DON [88]. In vitro incubation of BBSH 797 with type A trichothecenes, T-2 toxin and scirpentriol showed that T-2 toxins undergo both hydrolysis of the acetyl group and de-epoxidation into non-toxic T-2 metabolites (Figure 11) while scirpentriol was de-epoxidised into non-toxic de-epoxy scirpentriol (Figure 12) [86].
Figure 11.
Proposed T-2 toxin and T-2 metabolite degradation pathway (adapted from [86]).
Figure 12.
Proposed metabolic pathway of scirpentriol degradation (adapted from [86]).
4.2. Aflatoxin B1
Aflatoxins are naturally occurring mycotoxins and potent carcinogens produced mainly by fungi of the Aspergillus family. They are known to be main contaminants of a variety of tropical and subtropical food and feed stuffs. Since the discovery of aflatoxins, many studies were done on their negative effects in laboratory animals and livestock which include effects on animal performance, toxin metabolism and carryover of toxin residues to animal products [216]. Aflatoxins are difuranocoumarin derivatives consisting of a few groups namely B1, B2, G1, G2, M1 and M2. Aflatoxin B1 (AFB1) is considered to be the most common and most toxic aflatoxin [217]. The maximum allowable level of AFB1 in food and feed set by the European Commission regulation (EU) 1881/2006, amended by the European Commission regulation (EU) 165/2010 is 2 µg/kg [218]. AFB1 is known to be hepatotoxic and carcinogenic [219,220], and also causes other negative effects that can be either directly or indirectly associated with the toxicity such as immunosuppression, reduced feed utilisation, reduced animal productivity and growth rate. Susceptibility to AFB1 varies for every animal species with different acute toxic manifestations. AFB1 hepatocarcinogenesis was reported in various animal species where fish and poultry were found to be extremely sensitive to AFB1 while mice and rats can tolerate higher concentrations of AFB1 before showing hepatic tumours [219,221]. Cattle consuming a sufficient dose of aflatoxins can have negative affects to their health, performance and reproduction [45]. Cattle affected by aflatoxicosis are reported to suffer from adverse health effects which include weight loss, liver damage, decreased milk yield and reduced feed utilisation efficiency [46].
Mechanisms of AFB1 absorption and metabolism were previously studied and reported in both animals and humans [217,222,223]. AFB1 metabolism mainly happens in the liver but AFB1 can be also metabolised in the kidneys as residues can be detected from urine. AFB1 can be metabolised by a range of cytochrome P450s which include CYP1A2, CYP3A4 and CYP2A6 from the liver and other tissues [217]. Cytochrome P450 enzymes (CYP450) in the liver metabolise AFB1 into aflatoxin M1 (AFM1), aflatoxin P1 (AFP1), aflatoxin Q1 (AFQ1) and aflatoxicol. The toxicity mechanism of AFB1 is described as below (Figure 13). AFB1 can be metabolised to form epoxides AFB1-8,9-exo-epoxide and AFB1-8,9-endo-epoxide in the endoplasmic reticulum. AFB1-8,9-exo-epoxide is highly unstable and reacts more readily with DNA to form AFB1-N7-guanine adducts by intercalation of epoxide between base pairs which can induce cell mutations causing cancer compared to AFB1-8,9-endo-epoxide. Similar to AFB1, metabolite AFM1 can be activated to form AFM1-8,9-epoxide and bind to DNA forming AFM1-N7-guanine adducts. The epoxides are also able to bind with other macromolecules such as protein to induce toxicity and be further metabolised into AFB1-N7-lysine adducts by the formation of covalent bonds between the epoxide and serum albumin. Both guanine and lysine adducts of AFB1 and AFM1 are found to be excreted in urine. AFP1, AFQ1 and aflatoxicol are excreted in urine or in feces in the form of glucuronyl conjugates from bile. The epoxides can be also conjugated to form GSH-conjugates which can be further detoxified by glutathione S-transferases. AFB1-8,9-epoxides can be further hydrolysed to form AFB1-8,9-dihydrodiol which can also bind to proteins to form AFB1-lysine adducts. Alternatively, AFB1 can be also hydroxylated via monooxygenases and also form glucuronide and sulfate conjugates.
Figure 13.
Metabolism and toxicity mode of action of AFB1 [222].
With the wide-spread effects of AFB1 on animal health and the risk of mycotoxin contamination in food products for human consumption, it is not surprising that there are many studies being done on ways to control and detoxify mycotoxins. Current strategies used to detoxify mycotoxins include physical, chemical and biological methods. Physical and chemical detoxification methods such as thermal inactivation and addition of chemical absorbents in feed were found to be time consuming, costly or only partially effective and not able to be upscaled for real-world application [224]. Adsorbent feed additives such as activated charcoal and hydrated sodium aluminium silicates at low feed inclusion rates were not effective in binding aflatoxins while these adsorbents, if used at high feed inclusion rates, cause binding of essential nutrients [225]. Therefore, use of enzymes or microorganisms has emerged as an alternative strategy to detoxify aflatoxins in animals as they are considered to be an effective and safer detoxification method.
AFB1 detoxification by rumen microorganisms was among the earliest mycotoxins reported to be degraded in the rumen. Early studies on aflatoxin excretion of sheep and cattle in England that were orally dosed with pure mixed aflatoxins B1, G1 and B2 reported that AFB1 levels in urine and faeces of cattle were higher compared to sheep. The metabolite AFM1 which was excreted by cattle was only 4.09% of the AFB1 administered from the oral dose, while 3.55% of AFB1 was unmetabolised [226]. The result suggested that remaining AFB1 had undergone degradation to non-toxic metabolites. The authors argued that the higher levels of AFB1 in urine and faeces of cattle than in sheep suggested sheep rumen microbes may have greater AFB1 detoxification activity compared to cattle. Incubation of AFB1 in vitro in rumen fluid of domesticated Holstein steers and native goats in Korea reported AFB1 degradation of about 14% and 25% in steers and goats respectively [227]. This study did not report the identification of any rumen microorganisms nor detect any AFB1 metabolites.
There are also studies reporting the isolation of bacterial strains capable of detoxifying AFB1. Although the isolated bacteria were not of rumen origin, these bacteria could be potential probiotics for ruminants which can be applied to AFB1 contaminated feed. Isolated Bacillus strains from Thai fermented soybean product incubated in vitro with pure AFB1 showed the Bacillus strains were able to degrade between 50% and 70% of AFB1 [228]. Degradation was observed to occur within the first 5–6 days of incubation followed by AFB1 concentrations remaining constant until the end of the incubation time [228]. A gut bacterium isolated from fish gut was found to be able to degrade 81.5%, 60% and 80.7% of AFB1, AFM1 and AFG1 respectively in vitro [229]. The microbe responsible for the degradation was identified to be a strain of Bacillus subtilis [229]. Broilers that were fed a basal diet containing AFB1 and a combination of the bacteria Lactobacillus casei, Bacillus subtilis and Pichia anomala did not suffer negative effects of AFB1 on chicken’s production performance [230], and the authors suggested AFB1 was successfully detoxified by the combination of these probiotics.
Degradation metabolites of AFB1 have been previously identified. AFB1 metabolites aflatoxicol, aflatoxin B2a (AFB2a) and aflatoxin D1 (AFD1) are degradation products produced by Streptococcus spp. and Lactobacillus spp. which are facultative anaerobes that can be present in the rumen (Figure 14) [87]. In vitro toxicity studies reported that these metabolites were found to be less toxic than AFB1. Aflatoxicol was found to be 18 times less toxic compared to AFB1 but was able to form adducts with DNA. AFB2a is 200 times less toxic than AFB1 and is considered to be relatively non-toxic. AFD1 was found to be non-toxic based on in vitro toxicity studies using Hela cells [87,231,232].
Figure 14.
Proposed metabolites of AFB1 degradation (adapted from [87]).
4.3. Ochratoxin A
Ochratoxin A (OTA) is a mycotoxin produced by Aspergillus and Penicillium fungi and OTA is found to be a natural contaminant in foodstuffs of plant origin in tropical, subtropical and temperate regions [47]. In areas with cooler climates, OTA tends to be produced by Penicillium fungi while Aspergillus fungi tend to produce OTA in warmer climates [233]. The maximum allowable level of AFB1 in food and feed set by the European Commission regulation (EU) 1881/2006, amended by the European Commission regulation (EU) 594/2012 is 3 µg/kg [234]. OTA exposure in animals is shown to be mainly nephrotoxic showing other pathological responses which are hepatotoxic, teratogenic and carcinogenic [47,48]. Furthermore, OTA toxicity in animals can also cause potential indirect human exposure to OTA through animal derived food where trace OTA was detected in meat, milk, dairy products and other animal derived foodstuffs [235,236,237]. OTA is considered to be the cause for the Balkan endemic nephropathy which is a human kidney disease caused by tumours in the urinary tract leading to irreversible kidney damage [238]. In vitro and in vivo studies suggest that OTA exposure to animal/human cells, resulted in the overproduction of free radicals resulting in oxidative stress [51,52,53]. Studies showed that OTA is responsible for lipid peroxidation whereby OTA-Fe3+ complex was reduced to OTA-Fe2+ complex in the presence of NADPH-CYP450 reductase initiating the formation of free radicals [54,239]. OTA could induce DNA strand breaks and induce the production of oxidative chromatin and DNA damage in vitro, inhibiting the growth of umbilical cord matrix mesenchymal stem cells [50,240]. The Phe moiety of OTA could compete with Phe for binding to Phe-tRNA synthetase thus inhibiting peptide elongation [241].
The bioavailability of OTA varies depending on the food matrix. In vitro digestion model studies suggest 30–100% of OTA to be bioavailable while some OTA that was not absorbed in the upper gastrointestinal tract could travel down to the colon and be absorbed into the body [242,243]. OTA generally has a longer half-life in blood than in tissues due to the higher binding affinity of OTA to blood proteins [244]. Animal studies also showed that OTA was found to be distributed mostly in the kidneys follow by liver, muscle and fat consistent with OTA as nephrotoxic [47]. OTA metabolites have been characterised in different species based on in vitro and in vivo studies. The major metabolic pathway of OTA includes the toxin being biotransformed through hydrolysis, hydroxylation, opening of the lactone ring and conjugation. OTA was shown to undergo hydroxylation by both phase I and phase II CYP450 enzymes forming hydroxyl metabolites, (4R)-4-hydroxyochratoxin A ((4R)-OH-OTA), (4S)-4-hydroxyochratoxin A ((4S)-OH-OTA), 5′-hydroxyochratoxin A, 7′-hydroxyochratoxin A and 10-hydroxyochratoxin A [47,245,246]. Oxidation of OTA by CYP1A1/1A2 and CYP3A1/3A2 by rat liver microsomes also produced (4R)- and (4S)-OH-OTA [247]. CYP450 enzymes oxidise OTA to produce OTA-quinone which could be further be conjugated with GSH or reduced to form OTA-hydroquinone [248]. OTA can be biotransformed to ochratoxin B which is a dechlorinated form of OTA by renal microsomes [49]. OTA metabolites were found to be less toxic than OTA however their toxic effect is still strong enough to induce OTA toxicity [47,249].
OTA residues can be found in animal tissues which include the muscles, liver, kidney and serum [250]. OTA feed contamination causes nephropathy in pigs with observed progressive interstitial fibrosis and regressive tubular changes with thickening of the basement membrane in the porcine kidney [251]. Chickens fed with OTA were observed to have swollen kidneys, yellowish livers, hyperplasia of the binary epithelium and hypertrophy of renal proximal tubular epithelial cells [252]. Ruminants on the other hand are rarely reported to be acutely susceptible to OTA while the harmful effects of OTA are usually due to the prolonged ingestion of the toxin instead [250]. However, OTA was found to be absorbed relatively quickly into the bloodstream of ruminants which could be of health concern for ruminants due to accumulation of OTA in the bloodstream [250]. Despite ruminants being reported as more resistant to OTA poisoning, there are still some reports on ochratoxicosis in ruminants. Ewes fed with OTA through intravenous infusion died within 24 h [55]. Goats that were fed with daily oral doses of OTA at 3 mg/kg bw were reported to have died within five days of feeding [56].
The chemical structure of OTA consists of a dihydroisocoumarin named ochratoxin α (OTα) which is linked through a C9 carboxyl group (attached at C7), to L-α-phenylalanine by an amide bond [47]. Non-ruminants are found to be more susceptible to OTA while ruminants are relatively resistant to OTA due to their ability to detoxify OTA [253]. OTA absorbs readily to the gastrointestinal tract of monogastrics with little or no degradation, while OTA in ruminants undergoes microbial degradation in the rumen before absorption into the bloodstream [48]. The most common microbial degradation of OTA is the hydrolysis of the amide bond of OTA releasing the non-toxic OTα and phenylalanine (Figure 15). Anaerobic microorganisms in the large intestine and cecum of monogastrics [254] and in the rumen are found to be responsible for the degradation. Ruminants are considered to be less susceptible to OTA compared to monogastric animals as the hydrolysis of OTα in rumen can occur before absorption and is considered the principal OTA detoxification method in ruminants [255]. OTA that was administered into calves through a stomach tube resulted in death within 24 h supporting the claim that the rumen is responsible for OTA degradation [56]. Furthermore, pre-ruminant calves were also observed to be susceptible to OTA with the calves dying within the first 24 h of dosing with OTA [255].
Figure 15.
Proposed detoxification pathway of OTA in the rumen.
Proteolytic enzymes such as carboxypeptidase A, chymotrypsin, protease A and pancreatin are such enzymes reported to show OTA degradation activity, usually by cleaving amide bonds at the carboxy-terminal end of a peptide [48]. It has been generally accepted that rumen protozoa are associated with OTA degradation instead of rumen bacteria due to the presence of high proteolytic activity which allows the hydrolysis of the amide bond of OTA. The role of protozoa as OTA degraders was reported in an in vitro OTA incubation study, with rumen contents from cattle and sheep where OTA transformation to OTα was observed in the total rumen fluid content and the protozoal fraction [89,90]. In vitro OTA degradation was observed in inoculum contents from three pre-gastric forestomach compartments, the rumen, reticulum and omasum while no degradation was observed from inoculation into the fourth compartment, the abomasum or true stomach [91]. In vitro OTA incubation in rumen fluid from Korean native goats showed OTA degradation in whole rumen fluid and the bacterial fraction containing bacteria and protozoa [92]. Further gene amplification of carboxypeptidase A from goat rumen fluid showed the gene was expressed from Bacillus lichenformis and Bacillus spp. populations in the rumen [92]. Another in vitro study also reported on OTA degradation by B. lichenformis although the isolate was not of rumen origin [228]. In vitro degradation studies using rumen fluid incubated with OTA, followed by enrichment and culture dilution, isolated a rumen bacterium capable of cleaving OTA into OTα and phenylalanine while partial 16S rRNA gene sequence analysis of the bacterium showed that it is closely related to Lactobacillus vitulinus [88]. Different feed types are found to influence OTA degradability in ruminal fluid. A study reported that OTA degradation was higher in ruminal contents of sheep fed with hay compared to sheep that was fed with cereal [256]. Overall, the studies suggest that high forage diets favour microbial populations in the rumen capable of OTA degradation.
4.4. Fumonisins
Fumonisins are a group of mycotoxins produced commonly by Fusarium verticillioides and F. proliferatum which contaminate cereal grains. High levels of fumonisins in contaminated crops are found to commonly occur in locations with warmer climates especially during drought seasons when crop plants undergo heat stress [257]. Fumonisins are classified in four groups which are A, B, C and P however only fumonisins of group A (A1 and A2) and group B (B1, B2 and B3) are commonly discussed and studied [258]. Fumonisin B1 (Figure 16) is the most commonly studied fumonisin and has been linked to leukoencephalomalacia in horses, pulmonary oedema in swine and hepatocarcinoma in rats [259]. The maximum sum allowable levels of fumonisin B1 and fumonisin B2 in food and feed set by the European Commission regulation (EU) 1881/2006 is 4000 µg/kg [260]. Epidemiological studies linked fumonisin B1 to oesophageal cancer in humans [261]. Fumonisins are structurally similar to sphingoid bases of sphinganine and sphingosine by possessing an unsubstituted primary amino group at C2 which competitively inhibits ceramide synthase thus disrupting the synthesis of ceramide and the metabolism of spingolipids [262]. This leads to the accumulation of sphinganine and sphingosine in the liver and kidney cells causing metabolic effects such as mitochondrial apoptosis, impaired sphingolipids involved in synthesis and transport, degeneration of sphingolipid-rich tissues and increasing oxidative stress and lipid peroxidation [258].
Figure 16.
Chemical structure of fumonisin B1.
Toxicological and pathological effects of fumonisins in animals are well documented [258,259]. Pharmacokinetic studies on rodents and primates showed that ingested fumonisins were absorbed in the gastrointestinal tract, rapidly distributed in blood and accumulated mostly in liver and kidneys [259]. Fumonisin toxicity was found to be dependent on sex, genus and dose-response differences in animals. Female mice were found to be more susceptible to nephrotoxicity compared to male mice [263] while rabbits were more sensitive to the toxic effects of fumonisin B1 compared to rats [259]. Horses are the most susceptible to fumonisins with leukoencephalomalacia being a disease of the nervous system causing necrosis, softening, cavitation and yellow discolouration in the grey and white matter of the cerebral hemispheres [264]. Clinical symptoms in affected horses include muscle weakness, blindness, heart weakness, coma and death in severe cases [264]. Onset of toxicity occurs when horses consume 10 ppm fumonisin contaminated feed with symptoms showing within 7–180 days [265]. Consumption of 92 ppm fumonisin B1 in contaminated feed by pigs, caused death within 48 h of ingestion [258]. Poultry are less sensitive to fumonisins where those with diets containing 100–400 mg/kg of fumonisins B1 showed liver necrosis, biliary hyperplasia and heart damage [266].
Ruminants are reported to be tolerant towards fumonisins although there are reports that ruminants can develop toxicosis when fed with high concentrations of fumonisins. Fumonisin contaminated feed up to 148 ppm caused mild liver lesions in feeder calves and lymphocyte blastogenesis [57]. Holstein milk-fed calves fed with 1 mg/kg bw of fumonisin B1 for seven days showed hepatic and renal damage but cardiovascular function remained unaffected [58]. Oral feeding of fumonisins from F. verticilloides cultures to lambs and goat kids also resulted in similar mild hepatic and renal damage [59,60]. Ruminant resistance to fumonisins at low concentrations suggested the possibility that rumen microorganisms may be able to metabolise fumonisins. Reports on fumonisin B1 degradation by rumen contents are inconsistent. Studies of incubation of fumonisin B1 in rumen fluid of cattle for 72 h only showed up to 18% degradation with no metabolites detected [93]. In vitro incubation of fumonisin B1 at varying concentrations (50 ppm and 100 ppm) for 72 h resulted in only 10% degradation irrespective of fumonisin B1 concentration [94]. Another study reported that fumonisins incubated in cattle rumen fluid at concentration of 100 ppm and 200 ppm showed no effect on volatile fatty acid (VFA) production but decreased branched chain VFAs and ammonia concentrations were observed, indicating the possibility of a shift in rumen bacterial populations in the presence of fumonisins [267]. No metabolites of fumonisin B1 were identified from these studies and the fumonisin concentration used in the studies were high enough to induce toxicosis.
5. Conclusions
This review has highlighted the potential use of rumen microbial metabolism of natural toxins to improve ruminant health and welfare. Rumen microorganisms have been shown to have the ability to metabolise and detoxify a wide range of plant toxins and mycotoxins. Feeding a toxin to ruminants in low doses for a prolonged period of time has also demonstrated the potential to stimulate a shift in rumen microbial populations to utilise a toxin. It has been also shown that some toxins can be rendered non-toxic by a simple hydrolysis step using a rumen bacterium while other toxin metabolites may require multiple metabolic reactions involving various rumen microorganisms for detoxification. Inoculation of rumen contents of ruminants that are resistant to a certain toxin into naïve ruminants has been shown to transfer toxin resistance. Further work is however required to understand the effect of rumen microbial population shifts on the metabolic activity in the rumen. There is also the need to identify rumen microorganisms responsible for detoxification and to investigate the metabolic pathways of detoxification. Toxin metabolites also need to be studied to determine their toxicity and chemical structure to further understand the mechanism of action of the toxin. A complete understanding of the detoxification by candidate rumen microorganisms would lead to the development of safe and effective probiotics for ruminants. The number and diversity of toxin candidates presented in this review highlights the potential to extend this approach to other toxins for which the capacity for rumen microbial detoxification has not yet been explored. The review also shows the commercial potential of rumen inoculum derived probiotics as safe and viable alternatives to improve ruminant health and production while being cost-effective and timesaving compared to other conventional toxin management strategies such as chemical detoxification and pasture management.
Author Contributions
Conceptualization, Z.H.L. and M.T.F.; writing—original draft preparation, Z.H.L.; writing—review and editing, Z.H.L., D.O., A.V.K., N.L.H. and M.T.F.; visualization, Z.H.L.; supervision, M.T.F., N.L.H., D.O. and A.V.K.; project administration, M.T.F.; funding acquisition, M.T.F. All authors have read and agreed to the published version of the manuscript.
Funding
This research was funded by Meat and Livestock Australia, Project code B.GBP.0023.
Conflicts of Interest
The authors declare no conflict of interest.
References
- Kabera, J.N.; Semana, E.; Mussa, A.R.; He, X. Plant secondary metabolites: Biosynthesis, classification, function and pharmacological properties. J. Pharm. Pharmacol. 2014, 2, 377–392. [Google Scholar]
- Yang, L.; Wen, K.; Ruan, X.; Zhao, Y.; Wei, F.; Wang, Q. Response of plant secondary metabolites to environmental factors. Molecules 2018, 23, 762. [Google Scholar] [CrossRef]
- Hartmann, T. From waste products to ecochemicals: Fifty years research of plant secondary metabolism. Phytochemistry 2007, 68, 2831–2846. [Google Scholar] [CrossRef]
- McSweeney, C.; Mackie, R. Micro-organisms and Ruminant Digestion: State of Knowledge, Trends and Future Prospects; Background Study Paper No. 61; Food and Agriculture Organization of the United Nation: Rome, Italy, 2012. [Google Scholar]
- Krause, D.; Smith, W.; Brooker, J.; McSweeney, C. Tolerance mechanisms of streptococci to hydrolysable and condensed tannins. Anim. Feed Sci. Technol. 2005, 121, 59–75. [Google Scholar] [CrossRef]
- Smith, G.S. Toxification and detoxification of plant compounds by ruminants: An overview. J. Range Manag. 1992, 45, 25–30. [Google Scholar] [CrossRef]
- Wadhwa, M.; Bakshi, M.; Makkar, H.P. Modifying gut microbiomes in large ruminants: Opportunities in non-intensive husbandry systems. Anim. Front. 2016, 6, 27–36. [Google Scholar] [CrossRef]
- Allison, M.J.; Mayberry, W.R.; McSweeney, C.S.; Stahl, D.A. Synergistes jonesii, gen. sp. nov.: A rumen bacterium that degrades toxic pyridinediols. Syst. Appl. Microbiol. 1992, 15, 522–529. [Google Scholar] [CrossRef]
- Hagler, W.; Danko, G.; Horvath, L.; Palyusik, M.; Mirocha, C. Transmission of zearalenone and its metabolite into ruminant milk. Acta Vet. Acad. Sci. Hung. 1980, 28, 209–216. [Google Scholar]
- Kuiper-Goodman, T.; Scott, P.; Watanabe, H. Risk assessment of the mycotoxin zearalenone. Regul. Toxicol. Pharmacol. 1987, 7, 253–306. [Google Scholar] [CrossRef]
- Joint Food and Agriculture Organization/World Health Organization Working Group. Guidelines for the Evaluation of Probiotics in Food; Report of a Joint FAO/WHO: London, ON, Canada, 2002. [Google Scholar]
- Retta, K.S. Role of probiotics in rumen fermentation and animal performance: A review. Int. J. Livest. Prod. 2016, 7, 24–32. [Google Scholar] [CrossRef]
- Soccol, C.R.; Vandenberghe, L.P.D.S.; Spier, M.R.; Medeiros, A.B.P.; Yamaguishi, C.T.; Lindner, J.D.D.; Pandey, A.; Thomaz-Soccol, V. The potential of probiotics: A review. Food Technol. Biotechnol. 2010, 48, 413–434. [Google Scholar]
- Hegarty, M.P.; Court, R.D.; Christie, G.S.; Lee, C.P. Mimosine in Luecaena leucocephala is metabolised to a goitrogen in ruminants. Aust. Vet. J. 1976, 52, 490. [Google Scholar] [CrossRef]
- Jones, R.; Megarrity, R. Comparative toxicity responses of goats fed on Leucaena leucocephala in Australia and Hawaii. Aust. J. Agric. Res. 1983, 34, 781–790. [Google Scholar] [CrossRef]
- Odenyo, A.A.; Osuji, P.O.; Karanfil, O.; Adinew, K. Microbiological evaluation of Acacia angustissima as a protein supplement for sheep. Anim. Feed Sci. Technol. 1997, 65, 99–112. [Google Scholar] [CrossRef]
- Rao, S.; Adiga, P.; Sarma, P. The isolation and characterization of β-N-oxalyl-l-α, β-diaminopropionic acid: A neurotoxin from the seeds of Lathyrus sativus. Biochemistry 1964, 3, 432–436. [Google Scholar] [CrossRef]
- Van Moorhem, M.; Lambein, F.; Leybaert, L. Unraveling the mechanism of β-N-oxalyl-α, β-diaminopropionic acid (β-ODAP) induced excitotoxicity and oxidative stress, relevance for neurolathyrism prevention. Food Chem. Toxicol. 2011, 49, 550–555. [Google Scholar] [CrossRef]
- Fletcher, M.T.; Al Jassim, R.A.; Cawdell-Smith, A.J. The occurrence and toxicity of indospicine to grazing animals. Agriculture 2015, 5, 427–440. [Google Scholar] [CrossRef]
- Nordfeldt, S.; Younge, O.R. Toxicity of Creeping Indigo to Livestock; Hawaii Agricultural Experiment Station, University of Hawaii: Honolulu, HI, USA, 1949; p. 1. [Google Scholar]
- Jeganathan, P. Toxic effects of feeding Indigofera endecaphylla (Jacq.) to calves. Ceylon Vet. J. 1953, 1, 83–85. [Google Scholar]
- Maskasame, C. Toxicity and Nutritional Value of Some Promising Pasture Legumes to Rats and Sheep. Master’s Thesis, The University of Queensland, Brisbane, Australia, 1985. [Google Scholar]
- Dalziel, J.M. The Useful Plants of West Tropical Africa; Crown Agents for the Colonies: London, UK, 1937; p. 612. [Google Scholar]
- Yelf, J. The toxicity of creeping indigo in Fiji. Fiji Agric. J. 1959, 29, 9–10. [Google Scholar]
- Bell, A.; Newton, L.; Everist, S.; Legg, J. Acacia georginae poisoning of cattle and sheep. Aust. Vet. J. 1955, 31, 249–257. [Google Scholar] [CrossRef]
- Medeiros, R.; Neto, S.; Barbosa, R.C.; Lima, E.F.; Riet-Correa, F. Sudden bovine death from Mascagnia rigida in Northeastern Brazil. Vet. Hum. Toxicol. 2002, 44, 286–288. [Google Scholar] [PubMed]
- Sherley, M. The traditional categories of fluoroacetate poisoning signs and symptoms belie substantial underlying similarities. Toxicol. Lett. 2004, 151, 399–406. [Google Scholar] [CrossRef] [PubMed]
- Bull, L.B.; Culvenor, C.; Dick, A. The Pyrrolizidine Alkaloids: Their Chemistry, Pathogenicity and Other Biological Properties; North-Holland Publishing Co.: Amsterdam, The Netherlands, 1968; p. 293. [Google Scholar]
- Wachenheim, D.; Blythe, L.; Craig, A. Effects of antibacterial agents on in vitro ovine ruminal biotransformation of the hepatotoxic pyrrolizidine alkaloid jacobine. Appl. Environ. Microbiol. 1992, 58, 2559–2564. [Google Scholar] [CrossRef] [PubMed]
- Baker, D.; Pfister, J.; Molyneux, R.; Kechele, P. Cynoglossum officinale toxicity in calves. J. Comp. Pathol. 1991, 104, 403–410. [Google Scholar] [CrossRef]
- Goeger, D.; Cheeke, P.; Schmitz, J.A.; Buhler, D. Toxicity of tansy ragwort (Senecio jacobaea) to goats. Am. J. Vet. Res. 1982, 43, 252–254. [Google Scholar]
- Molyneux, R.; Johnson, A.; Stuart, L. Delayed manifestation of Senecio-induced pyrrolizidine alkaloidosis in cattle. Vet. Hum. Toxicol. 1988, 30, 201–205. [Google Scholar]
- Lym, R.G.; Kirby, D.R. Cattle foraging behavior in leafy spurge (Euphorbia esula)-infested rangeland. Weed Technol. 1987, 314–318. [Google Scholar] [CrossRef]
- Seip, E.; Hecker, E. Skin irritant ingenol esters from Euphorbia esula. Planta Med. 1982, 46, 215–218. [Google Scholar] [CrossRef]
- Wood, R. Acute animal and human poisonings from cyanotoxin exposure—A review of the literature. Environ. Int. 2016, 91, 276–282. [Google Scholar] [CrossRef]
- Li, Y.; Chen, J.; Zhao, Q.; Pu, C.; Qiu, Z.; Zhang, R.; Shu, W. A cross-sectional investigation of chronic exposure to microcystin in relationship to childhood liver damage in the Three Gorges Reservoir Region, China. Environ. Health Perspect. 2011, 119, 1483–1488. [Google Scholar] [CrossRef]
- Cox, P.A.; Banack, S.A.; Murch, S.J. Biomagnification of cyanobacterial neurotoxins and neurodegenerative disease among the Chamorro people of Guam. Proc. Natl. Acad. Sci. USA 2003, 100, 13380–13383. [Google Scholar] [CrossRef] [PubMed]
- Rao, P.L.; Bhattacharya, R. The cyanobacterial toxin microcystin-LR induced DNA damage in mouse liver in vivo. Toxicology 1996, 114, 29–36. [Google Scholar] [CrossRef]
- Chen, J.; Xie, P.; Li, L.; Xu, J. First identification of the hepatotoxic microcystins in the serum of a chronically exposed human population together with indication of hepatocellular damage. Toxicol. Sci. 2009, 108, 81–89. [Google Scholar] [CrossRef]
- Rao, P.L.; Bhattacharya, R.; Parida, M.; Jana, A.; Bhaskar, A. Freshwater cyanobacterium Microcystis aeruginosa (UTEX 2385) induced DNA damage in vivo and in vitro. Environ. Toxicol. Pharmacol. 1998, 5, 1–6. [Google Scholar] [CrossRef]
- Zhan, L.; Sakamoto, H.; Sakuraba, M.; Wu, D.-S.; Zhang, L.-S.; Suzuki, T.; Hayashi, M.; Honma, M. Genotoxicity of microcystin-LR in human lymphoblastoid TK6 cells. Mutat. Res. 2004, 557, 1–6. [Google Scholar] [CrossRef] [PubMed]
- Rocha, O.; Ansari, K.; Doohan, F. Effects of trichothecene mycotoxins on eukaryotic cells: A review. Food Addit. Contam. 2005, 22, 369–378. [Google Scholar] [CrossRef] [PubMed]
- McLaughlin, C.; Vaughn, M.; Campbell, J.; Wei, C.; Stafford, M.; Hansen, B. Mycotoxins in Human and Animal Health; Pathotox Publishers Inc.: Park Forest, IL, USA, 1977; p. 807. [Google Scholar]
- Del Regno, M.; Adesso, S.; Popolo, A.; Quaroni, A.; Autore, G.; Severino, L.; Marzocco, S. Nivalenol induces oxidative stress and increases deoxynivalenol pro-oxidant effect in intestinal epithelial cells. Toxicol. Appl. Pharm. 2015, 285, 118–127. [Google Scholar] [CrossRef] [PubMed]
- Whitlow, L.W.; Hagler, W. Mycotoxins in dairy cattle: Occurrence, toxicity, prevention and treatment. Proc. Southwest Nutr. Conf. 2005, 124–138. [Google Scholar]
- Keyl, A.; Booth, A. Aflatoxin effects in livestock. J. Am. Oil Chem. Soc. 1971, 48, 599–604. [Google Scholar] [CrossRef]
- Yang, S.; Zhang, H.; De Saeger, S.; De Boevre, M.; Sun, F.; Zhang, S.; Cao, X.; Wang, Z. In vitro and in vivo metabolism of ochratoxin A: A comparative study using ultra-performance liquid chromatography-quadrupole/time-of-flight hybrid mass spectrometry. Anal. Bioanal. Chem. 2015, 407, 3579–3589. [Google Scholar] [CrossRef]
- Mobashar, M.; Hummel, J.; Blank, R.; Südekum, K.-H. Ochratoxin A in ruminants—A review on its degradation by gut microbes and effects on animals. Toxins 2010, 2, 809. [Google Scholar] [CrossRef]
- Mally, A.; Keim-Heusler, H.; Amberg, A.; Kurz, M.; Zepnik, H.; Mantle, P.; Völkel, W.; Hard, G.C.; Dekant, W. Biotransformation and nephrotoxicity of ochratoxin B in rats. Toxicol. Appl. Pharm. 2005, 206, 43–53. [Google Scholar] [CrossRef]
- Rutigliano, L.; Valentini, L.; Martino, N.A.; Pizzi, F.; Zanghì, A.; Dell’Aquila, M.E.; Minervini, F. Ochratoxin A at low concentrations inhibits in vitro growth of canine umbilical cord matrix mesenchymal stem cells through oxidative chromatin and DNA damage. Reprod. Toxicol. 2015, 57, 121–129. [Google Scholar] [CrossRef]
- Abdel-Wahhab, M.A.; Aljawish, A.; El-Nekeety, A.A.; Abdel-Aziem, S.H.; Hassan, N.S. Chitosan nanoparticles plus quercetin suppress the oxidative stress, modulate DNA fragmentation and gene expression in the kidney of rats fed ochratoxin A-contaminated diet. Food Chem. Toxicol. 2017, 99, 209–221. [Google Scholar] [CrossRef]
- Costa, J.G.; Saraiva, N.; Guerreiro, P.S.; Louro, H.; Silva, M.J.; Miranda, J.P.; Castro, M.; Batinic-Haberle, I.; Fernandes, A.S.; Oliveira, N.G. Ochratoxin A-induced cytotoxicity, genotoxicity and reactive oxygen species in kidney cells: An integrative approach of complementary endpoints. Food Chem. Toxicol. 2016, 87, 65–76. [Google Scholar] [CrossRef]
- Cui, J.; Liu, J.; Wu, S.; Wang, Y.; Shen, H.; Xing, L.; Wang, J.; Yan, X.; Zhang, X. Oxidative DNA damage is involved in ochratoxin A-induced G2 arrest through ataxia telangiectasia-mutated (ATM) pathways in human gastric epithelium GES-1 cells in vitro. Arch. Toxicol. 2013, 87, 1829–1840. [Google Scholar] [CrossRef]
- Rahimtula, A.; Béréziat, J.-C.; Bussacchini-Griot, V.; Bartsch, H. Lipid peroxidation as a possible cause of ochratoxin A toxicity. Biochem. Pharmacol. 1988, 37, 4469–4477. [Google Scholar] [CrossRef]
- Harwig, J.; Munro, I. Mycotoxins of possible importance in diseases of Canadian farm animals. Can. Vet. J. 1975, 16, 125–141. [Google Scholar]
- Ribelin, W.; Fukushima, K.; Still, P. The toxicity of ochratoxin to ruminants. Can. J. Comp. Med. 1978, 42, 172–176. [Google Scholar]
- Osweiler, G.; Kehrli, M.; Stabel, J.; Thurston, J.; Ross, P.; Wilson, T. Effects of fumonisin-contaminated corn screenings on growth and health of feeder calves. J. Anim. Sci. 1993, 71, 459–466. [Google Scholar] [CrossRef]
- Mathur, S.; Constable, P.D.; Eppley, R.M.; Tumbleson, M.E.; Smith, G.W.; Tranquilli, W.J.; Morin, D.E.; Haschek, W.M. Fumonisin B1 increases serum sphinganine concentration but does not alter serum sphingosine concentration or induce cardiovascular changes in milk-fed calves. Toxicol. Sci. 2001, 60, 379–384. [Google Scholar] [CrossRef] [PubMed]
- Edrington, T.; Kamps-Holtzapple, C.; Harvey, R.; Kubena, L.; Elissalde, M.; Rottinghaus, G. Acute hepatic and renal toxicity in lambs dosed with fumonisin-containing culture material. J. Anim. Sci. 1995, 73, 508–515. [Google Scholar] [CrossRef]
- Gurung, N.; Rankins, D., Jr.; Shelby, R.; Goel, S. Effects of fumonisin B1-contaminated feeds on weanling Angora goats. J. Anim. Sci. 1998, 76, 2863–2870. [Google Scholar] [CrossRef] [PubMed][Green Version]
- Jones, R.J.; Megarrity, R.G. Successful transfer of DHP-degrading bacteria from Hawaiian goats to Australian ruminants to overcome the toxicity of Leucaena. Aust. Vet. J. 1986, 63, 259–262. [Google Scholar] [CrossRef]
- Allison, M.J.; Hammond, A.C.; Jones, R.J. Detection of ruminal bacteria that degrade toxic dihydroxypyridine compounds produced from mimosine. Appl. Environ. Microbiol. 1990, 56, 590–594. [Google Scholar] [CrossRef]
- Klieve, A.; Ouwerkerk, D.; Turner, A.; Roberton, R. The production and storage of a fermentor-grown bacterial culture containing Synergistes jonesii, for protecting cattle against mimosine and 3-hydroxy-4 (1H)-pyridone toxicity from feeding on Leucaena leucocephala. Aust. J. Agric. Res. 2002, 53, 1–5. [Google Scholar] [CrossRef]
- McSweeney, C.; Blackall, L.; Collins, E.; Conlan, L.; Webb, R.; Denman, S.; Krause, D. Enrichment, isolation and characterisation of ruminal bacteria that degrade non-protein amino acids from the tropical legume Acacia angustissima. Anim. Feed Sci. Technol. 2005, 121, 191–204. [Google Scholar] [CrossRef]
- Peng, H.H.; Brooker, J. Isolation of ODAP-degrading bacteria from the sheep rumen. In Lathyrus Lathyrism Newsletter; The University of Western Australia: Perth, Australia, 2000; Volume 1, p. 33. [Google Scholar]
- Marichamy, S.; Yigzaw, Y.; Gorton, L.; Mattiasson, B. Isolation of obligate anaerobic rumen bacteria capable of degrading the neurotoxin β-ODAP (β-N-oxalyl-l-α, β-diaminopropionic acid) as evaluated by a liquid chromatography/biosensor analysis system. J. Sci. Food Agric. 2005, 85, 2027–2032. [Google Scholar] [CrossRef]
- Tan, E.T.T.; Al Jassim, R.; D’Arcy, B.R.; Fletcher, M.T. In vitro biodegradation of hepatotoxic indospicine in Indigofera spicata and its degradation derivatives by camel foregut and cattle rumen fluids. J. Agric. Food Chem. 2017, 65, 7528–7534. [Google Scholar] [CrossRef]
- Davis, C.K.; Webb, R.I.; Sly, L.I.; Denman, S.E.; McSweeney, C.S. Isolation and survey of novel fluoroacetate-degrading bacteria belonging to the phylum Synergistetes. FEMS Microbiol. Ecol. 2012, 80, 671–684. [Google Scholar] [CrossRef]
- Looft, T.; Levine, U.; Stanton, T. Cloacibacillus porcorum sp. nov., a mucin-degrading bacterium from the swine intestinal tract and emended description of the genus Cloacibacillus. Int. J. Syst. Evol. Microbiol. 2013, 63, 1960–1966. [Google Scholar] [CrossRef] [PubMed]
- Camboim, E.K.; Almeida, A.P.; Tadra-Sfeir, M.Z.; Junior, F.G.; Andrade, P.P.; McSweeney, C.S.; Melo, M.A.; Riet-Correa, F. Isolation and identification of sodium fluoroacetate degrading bacteria from caprine rumen in Brazil. Sci. World J. 2012, 2012, 1–6. [Google Scholar] [CrossRef] [PubMed][Green Version]
- Kang, S.; Khan, S.; Webb, R.; Denman, S.; McSweeney, C. Characterisation and survey in cattle of a rumen Pyrimadobacter sp. which degrades the plant toxin fluoroacetate. FEMS Microbiol. Ecol. 2020, 1–11. [Google Scholar] [CrossRef]
- Gregg, K.; Cooper, C.L.; Schafer, D.J.; Sharpe, H.; Beard, C.E.; Allen, G.; Xu, J. Detoxification of the plant toxin fluoroacetate by a genetically modified rumen bacterium. Bio/Technology 1994, 12, 1361–1365. [Google Scholar] [CrossRef] [PubMed]
- Gregg, K.; Hamdorf, B.; Henderson, K.; Kopecny, J.; Wong, C. Genetically modified ruminal bacteria protect sheep from fluoroacetate poisoning. Appl. Environ. Microbiol. 1998, 64, 3496–3498. [Google Scholar] [CrossRef] [PubMed]
- Lanigan, G.W. Peptococcus heliotrinreducans, sp.nov., a cytochrome-producing anaerobe which metabolizes pyrrolizidine alkaloids. Microbiology 1976, 94, 1–10. [Google Scholar] [CrossRef] [PubMed]
- Russell, G.; Smith, R. Reduction of heliotrine by a rumen microorganism. Aust. J. Biol. Sci. 1968, 21, 1277–1290. [Google Scholar] [CrossRef][Green Version]
- Hovermale, J.T.; Craig, A.M. Metabolism of pyrrolizidine alkaloids by Peptostreptococcus heliotrinreducens and a mixed culture derived from ovine ruminal fluid. Biophys. Chem. 2002, 101–102, 387–399. [Google Scholar] [CrossRef]
- Rattray, R.M.; Craig, A.M. Molecular characterization of sheep ruminal enrichments that detoxify pyrrolizidine alkaloids by denaturing gradient gel electrophoresis and cloning. Microb. Ecol. 2007, 54, 264–275. [Google Scholar] [CrossRef]
- Kronberg, S.L.; Walker, J.W. Ruminal metabolism of leafy spurge in sheep and goats: A potential explanation for differential foraging on spurge by sheep, goats, and cattle. J. Chem. Ecol. 1993, 19, 2007–2017. [Google Scholar] [CrossRef]
- Waterman, R.C.; Richardson, K.D.; Lodge-Ivey, S.L. Effects of Euphorbia esula L. (leafy spurge) on cattle and sheep in vitro fermentation and gas production. J. Sci. Food Agric. 2011, 91, 2053–2060. [Google Scholar] [CrossRef] [PubMed]
- Manubolu, M.; Madawala, S.R.; Dutta, P.C.; Malmlöf, K. In vitro biodegradation of cyanotoxins in the rumen fluid of cattle. BMC Vet. Res. 2014, 10, 1–7. [Google Scholar] [CrossRef]
- King, R.R.; McQueen, R.E.; Levesque, D.; Greenhalgh, R. Transformation of deoxynivalenol (vomitoxin) by rumen microorganisms. J. Agric. Food Chem. 1984, 32, 1181–1183. [Google Scholar] [CrossRef]
- Yoshizawa, T.; Cote, L.-M.; Swanson, S.; Buck, W. Confirmation of DOM-1, a de-epoxidation metabolite of deoxynivalenol, in biological fluids of lactating cows. Agric. Biol. Chem. 1986, 50, 227–229. [Google Scholar] [CrossRef]
- Hedman, R.; Pettersson, H. Transformation of nivalenol by gastrointestinal microbes. Arch. Anim. Nutr. 1997, 50, 321–329. [Google Scholar] [CrossRef] [PubMed]
- Prelusky, D.B.; Veira, D.M.; Trenholm, H.L.; Hartin, K.E. Excretion profiles of the mycotoxin deoxynivalenol, following oral and intravenous administration to sheep. Toxicol. Sci. 1986, 6, 356–363. [Google Scholar] [CrossRef]
- He, P.; Young, L.; Forsberg, C. Microbial transformation of deoxynivalenol (vomitoxin). Appl. Environ. Microbiol. 1992, 58, 3857–3863. [Google Scholar] [CrossRef]
- Fuchs, E.; Binder, E.; Heidler, D.; Krska, R. Structural characterization of metabolites after the microbial degradation of type A trichothecenes by the bacterial strain BBSH 797. Food Addit. Contam. 2002, 19, 379–386. [Google Scholar] [CrossRef]
- Verheecke, C.; Liboz, T.; Mathieu, F. Microbial degradation of aflatoxin B1: Current status and future advances. Int. J. Food Microbiol. 2016, 237, 1–9. [Google Scholar] [CrossRef]
- Schatzmayr, G.; Zehner, F.; Täubel, M.; Schatzmayr, D.; Klimitsch, A.; Loibner, A.P.; Binder, E.M. Microbiologicals for deactivating mycotoxins. Mol. Nutr. Food Res. 2006, 50, 543–551. [Google Scholar] [CrossRef]
- Galtier, P.; Alvinerie, M. In vitro transformation of ochratoxin A by animal microbial floras. Ann. Res. Vet. 1976, 7, 91–98. [Google Scholar]
- Kiessling, K.-H.; Pettersson, H.; Sandholm, K.; Olsen, M. Metabolism of aflatoxin, ochratoxin, zearalenone, and three trichothecenes by intact rumen fluid, rumen protozoa, and rumen bacteria. Appl. Environ. Microbiol. 1984, 47, 1070–1073. [Google Scholar] [CrossRef] [PubMed]
- Hult, K.; Teiling, A.; Gatenbeck, S. Degradation of ochratoxin A by a ruminant. Appl. Environ. Microbiol. 1976, 32, 443–444. [Google Scholar] [CrossRef] [PubMed]
- Upadhaya, S.D.; Yang, L.; Seo, J.K.; Kim, M.H.; Lee, C.K.; Lee, C.H.; Ha, J.K. Effect of feed types on ochratoxin A disappearance in goat rumen fluid. Asian-Australas. J. Anim. Sci. 2010, 24, 198–205. [Google Scholar] [CrossRef]
- Caloni, F.; Spotti, M.; Auerbach, H.; den Camp, H.O.; Gremmels, J.F.; Pompa, G. In vitro metabolism of fumonisin B1 by ruminal microflora. Vet. Res. Commun. 2000, 24, 379–387. [Google Scholar] [CrossRef]
- Gurung, N.; Rankins, D., Jr.; Shelby, R. In vitro ruminal disappearance of fumonisin B1 and its effects on in vitro dry matter disappearance. Vet. Hum. Toxicol. 1999, 41, 196–199. [Google Scholar]
- Nunn, P.B.; Bell, E.A.; Watson, A.A.; Nash, R.J. Toxicity of non-protein amino acids to humans and domestic animals. Nat. Prod. Commun. 2010, 5, 485–504. [Google Scholar] [CrossRef]
- Rodrigues-Corrêa, K.C.S.; Fett-Neto, A.G. Abiotic stresses and non-protein amino acids in plants. Crit. Rev. Plant. Sci. 2019, 38, 411–430. [Google Scholar] [CrossRef]
- Staszek, P.; Weston, L.A.; Ciacka, K.; Krasuska, U.; Gniazdowska, A. l-Canavanine: How does a simple non-protein amino acid inhibit cellular function in a diverse living system? Phytochem. Rev. 2017, 16, 1269–1282. [Google Scholar] [CrossRef]
- Rodgers, K.J.; Samardzic, K.; Main, B.J. Toxic Nonprotein Amino Acids; Springer: Dordrecht, The Netherlands, 2015; Volume 1, p. 20. [Google Scholar]
- Derakhshani, H.; Corley, S.W.; Al Jassim, R. Isolation and characterization of mimosine, 3, 4 DHP and 2, 3 DHP degrading bacteria from a commercial rumen inoculum. J. Basic Microbiol. 2016, 56, 580–585. [Google Scholar] [CrossRef]
- Vietmeyer, N.; Cottom, B.; Ruskin, F. Leucaena, Promising Forage and Tree Crop for the Tropics; National Academy of Sciences: Washington, DC, USA, 1977; p. 115. [Google Scholar]
- Gray, S. A review of research on Leucaena leucocephala. Trop. Grassl. 1968, 2, 19–30. [Google Scholar] [CrossRef]
- Brewbaker, J.L.; Gonzalez, V.; Plucknett, D.L. Varietal Variation and Yield Trials of Leucaena leucocephala (Koa Haole) in Hawaii; University of Hawaii: Honolulu, HI, USA, 1972; pp. 1–29. [Google Scholar]
- Hegarty, M.; Schinckel, P. Reaction of sheep to the consumption of Leucaena glauca Benth. and to its toxic principle mimosine. Aust. J. Agric. Res. 1964, 15, 153–167. [Google Scholar] [CrossRef]
- Lowry, J.B.; Tangendjaja, B. Autolysis of mimosine to 3-hydroxy-4-1 (H) pyridone in green tissues of Leucaena leucocephala. J. Sci. Food Agric. 1983, 34, 529–533. [Google Scholar] [CrossRef]
- Jones, R.J. Does ruminal metabolism of mimosine explain the absence of Leucaena toxicity in Hawaii? Aust. Vet. J. 1981, 57, 55–56. [Google Scholar] [CrossRef] [PubMed]
- Halliday, M.J.; Pakereng, C.; Edison, R.G.; Ara, P.; Dida, P.R.; Nulik, J.; Kana Hau, D.; McMillan, H.E.; Shelton, H. Effectiveness of inoculation with rumen fluid containing Synergistes jonesii to control DHP toxicity in ruminants in eastern Indonesia. Trop. Grassl. 2019, 7, 252–257. [Google Scholar] [CrossRef]
- Tan, P.; Wang, X.; Wang, J. Rumen bacteria degrading toxic mimosine and dihydroxypyridine compounds in China. Acta Microbiol. Sin. 1994, 34, 379–384. [Google Scholar]
- Aung, A.; Ter, U.M.; Gessler, F.; Böhnel, H. Isolation of mimosine degrading bacteria from rumen juice and mass production by Göttingen bioreactor technology. J. Agric. Sci. Technol. Iran 2011, 1, 764–772. [Google Scholar]
- Rincón, M.; Allison, M.; Michelangeli, F.; De Sanctis, Y.; Domínguez-Bello, M. Anaerobic degradation of mimosine-derived hydroxypyridines by cell free extracts of the rumen bacterium Synergistes jonesii. FEMS Microbiol. Ecol. 1998, 27, 127–132. [Google Scholar] [CrossRef]
- Jouany, J.; Michalet-Doreau, B.; Doreau, M. Manipulation of the rumen ecosystem to support high-performance beef cattle-Review. Asian-Australas. J. Anim. Sci. 2000, 13, 96–114. [Google Scholar] [CrossRef]
- Nguyen, B.C.Q.; Tawata, S. The chemistry and biological activities of mimosine: A review. Phytother. Res. 2016, 30, 1230–1242. [Google Scholar] [CrossRef]
- Smith, A.H.; Odenyo, A.A.; Osuji, P.O.; Wallig, M.A.; Kandil, F.E.; Seigler, D.S.; Mackie, R.I. Evaluation of toxicity of Acacia angustissima in a rat bioassay. Anim. Feed Sci. Technol. 2001, 91, 41–57. [Google Scholar] [CrossRef]
- Evans, C.S.; Shah, A.J.; Adlard, M.W.; Arce, M.L.R. Non-protein amino acids in seeds of neotropical species of Acacia. Phytochemistry 1992, 32, 123–126. [Google Scholar] [CrossRef]
- Rasmussen, M.A.; Foster, J.G.; Allison, M.J. Lathyrus sylvestris (flatpea) toxicity in sheep and ruminal metabolism of flatpea neurolathyrogens. In Poisonous Plants: Proceedings of the Third International Symposium; Iowa State University Press: Ames, IA, USA, 1992; pp. 377–381. [Google Scholar]
- Yan, Z.Y.; Spencer, P.S.; Li, Z.X.; Liang, Y.M.; Wang, Y.F.; Wang, C.Y.; Li, F.M. Lathyrus sativus (grass pea) and its neurotoxin ODAP. Phytochemistry 2006, 67, 107–121. [Google Scholar] [CrossRef] [PubMed]
- Xu, Q.; Liu, F.; Chen, P.; Jez, J.M.; Krishnan, H.B. β-N-Oxalyl-l-α, β-diaminopropionic acid (β-ODAP) content in Lathyrus sativus: The integration of nitrogen and sulfur metabolism through β-cyanoalanine synthase. Int. J. Mol. Sci. 2017, 18, 526. [Google Scholar] [CrossRef]
- Liu, X.; Zhang, G.; Li, Y.; Wang, J.; Liang, Z. Toxicological study on grass pea vine (Lathyrus sativus L.) and its toxic-component BOAA. Sci. Agric. Sin. 1989, 22, 86–93. [Google Scholar]
- Chen, Y.; Li, Z.; Lv, F.; Bao, X.; Liu, S.; Liu, X.; Zhang, G.; Li, Y. Studies on the screening of low toxic species of Lathyrus, analysis of toxins and toxicology. J. Lanzhou Univ. (Nat. Sci.) 1992, 28, 93–98. [Google Scholar]
- Kuo, Y.H.; Bau, H.M.; Rozan, P.; Chowdhury, B.; Lambein, F. Reduction efficiency of the neurotoxin β-ODAP in low-toxin varieties of Lathyrus sativus seeds by solid state fermentation with Aspergillus oryzae and Rhizopus microsporus var chinensis. J. Sci. Food Agric. 2000, 80, 2209–2215. [Google Scholar] [CrossRef]
- Nair, A.J.; Khatri, G.; Santha, I.; Mehta, S. Cloning of ODAP degrading gene and its expression as fusion protein in Escherichia coli. J. Plant Biochem. Biotechnol. 1994, 3, 103–106. [Google Scholar] [CrossRef]
- Mabberley, D. The Plant Book. A Portable Dictionary of the Vascular Plants; Cambridge University Press: Cambridge, UK, 1997; p. 858. [Google Scholar]
- Fletcher, M.T.; Reichmann, K.G.; Ossedryver, S.M.; McKenzie, R.A.; Carter, P.D.; Blaney, B.J. Accumulation and depletion of indospicine in calves (Bos taurus) fed creeping indigo (Indigofera spicata). Anim. Prod. Sci. 2016, 58, 568–576. [Google Scholar] [CrossRef]
- Hegarty, M.P.; Kelly, W.R.; McEwan, D.; Williams, O.J.; Cameron, R. Hepatotoxicity of dogs of horse meat contaminated with indospicine. Aust. Vet. J. 1988, 65, 337–340. [Google Scholar] [CrossRef]
- Hegarty, M.P.; Pound, A.W. Indospicine, a hepatotoxic amino acid from Indigofera spicata: Isolation, structure, and biological studies. Aust. J. Biol. Sci. 1970, 23, 831–842. [Google Scholar] [CrossRef]
- Hutton, E.M.; Windrum, G.M.; Kratzing, C.C. Studies on the toxicity of Indigofera endecaphylla. I. Toxicity for rabbits. J. Nutr. 1958, 64, 321–337. [Google Scholar] [CrossRef] [PubMed]
- FitzGerald, L.; Fletcher, M.; Paul, A.; Mansfield, C.; O’Hara, A. Hepatotoxicosis in dogs consuming a diet of camel meat contaminated with indospicine. Aust. Vet. J. 2011, 89, 95–100. [Google Scholar] [CrossRef] [PubMed]
- Hegarty, M.P. Toxic amino acids in foods of animals and man. Proc. Nutr. Soc. Aust. 1986, 11, 73–81. [Google Scholar]
- Madsen, N.P.; Hegarty, M.P. Inhibition of rat liver homogenate arginase activity in vitro by the hepatotoxic amino acid indospicine. Biochem. Pharmacol. 1970, 19, 2391–2393. [Google Scholar] [CrossRef]
- Pollitt, S. Residue Implications of Indospicine, a Toxic, Non-Protein Amino Acid. Ph.D. Thesis, The University of Queensland, Brisbane, Australia, 2001. [Google Scholar]
- Young, M.P. Investigation of the Toxicity of Horsemeat due to Contamination by Indospicine. Ph.D. Thesis, University of Queensland, Brisbane, Australia, 1992. [Google Scholar]
- Pearn, J.H.; Hegarty, M. Indospicine—The teratogenic factor from Indigofera spicata extract causing cleft palate. Br. J. Exp. Pathol. 1970, 51, 34–36. [Google Scholar]
- Dowling, R.M.; McKenzie, R.A. Poisonous Plants: A field Guide; Queensland Department of Primary Industries: Brisbane, Australia, 1993; p. 164. [Google Scholar]
- Bogdan, A. Observations on palatability of some leguminous plants of Kenya. East Afr. Agric. J. 1949, 15, 38–40. [Google Scholar] [CrossRef]
- Nordfeldt, S.; Henke, L.A.; Morita, K.; Matsumoto, H.; Takahashi, M.; Younge, O.R.; Willers, E.; Cross, R. Feeding tests with Indigofera endecaphylla Jacq. (Creeping indigo) and some observations on its poisonous effects on domestic animals. In Technical Bulletin; University of Hawaii: Honolulu, HI, USA, 1952; p. 23. [Google Scholar]
- Nath, K.; Malik, N.; Singh, O. Chemical composition and nutritive value of Indigofera enneaphylla and I. cordifolia as sheep feeds. Aust. J. Exp. Agric. 1971, 11, 178–185. [Google Scholar] [CrossRef]
- De Wolfe, R.H. Kinetics and Mechanisms of Reactions of Amidines; John Wiley & Sons: Bristol, UK, 1975; Volume 1. [Google Scholar]
- Tan, E.T.; Yong, K.W.; Wong, S.-H.; D’Arcy, B.R.; Al Jassim, R.; De Voss, J.J.; Fletcher, M.T. Thermo-alkaline treatment as a practical degradation strategy to reduce indospicine contamination in camel meat. J. Agric. Food Chem. 2016, 64, 8447–8453. [Google Scholar] [CrossRef]
- Ellard, K.; Seidel, P. Development of a Sustainable Camel Industry: A Compilation of Two Reports for the Rural Industries Research and Development Corporation; Rural Industries Research & Development Corporation: Canberra, Australia, 2000; p. 70. [Google Scholar]
- Harper, D.B.; O’Hagan, D.; Murphy, C.D. Fluorinated natural products: Occurrence and biosynthesis. In Natural Production of Organohalogen Compounds; Gribble, G., Ed.; Springer: Berlin/Heidelberg, Germany, 2003; pp. 141–169. [Google Scholar]
- Leong, L.E.X.; Khan, S.; Davis, C.K.; Denman, S.E.; McSweeney, C.S. Fluoroacetate in plants—A review of its distribution, toxicity to livestock and microbial detoxification. J. Anim. Sci. Biotechnol. 2017, 8, 1–11. [Google Scholar] [CrossRef]
- Lauble, H.; Kennedy, M.; Emptage, M.; Beinert, H.; Stout, C. The reaction of fluorocitrate with aconitase and the crystal structure of the enzyme-inhibitor complex. Proc. Natl. Acad. Sci. USA 1996, 93, 13699–13703. [Google Scholar] [CrossRef] [PubMed]
- Lee, S.T.; Cook, D.; Pfister, J.A.; Allen, J.G.; Colegate, S.M.; Riet-Correa, F.; Taylor, C.M. Monofluoroacetate-containing plants that are potentially toxic to livestock. J. Agric. Food Chem. 2014, 62, 7345–7354. [Google Scholar] [CrossRef]
- Calver, M.; King, D. Controlling vertebrate pests with fluoroacetate: Lessons in wildlife management, bio-ethics, and co-evolution. J. Biol. Educ. 1986, 20, 257–262. [Google Scholar] [CrossRef][Green Version]
- McIlroy, J. The sensitivity of Australian animals to 1080 poison. I. Intraspecific variation and factors affecting acute toxicity. Wildl. Res. 1981, 8, 369–383. [Google Scholar] [CrossRef]
- Robison, W.H. Acute toxicity of sodium monofluoroacetate to cattle. J. Wildl. Manag. 1970, 34, 647–648. [Google Scholar] [CrossRef]
- Twigg, L.; Mead, R.; King, D. Metabolism of fluoroacetate in the skink (Tiliqua rugosa) and the rat (Rattus norvegicus). Aust. J. Biol. Sci. 1986, 39, 1–16. [Google Scholar] [CrossRef] [PubMed]
- Twigg, L.; King, D.; Davis, H.; Saunders, D.; Mead, R. Tolerance to, and metabolism of, fluoroacetate in the emu. Wildl. Res. 1988, 15, 239–247. [Google Scholar] [CrossRef]
- Oliver, A.; King, D.; Mead, R. Fluoroacetate tolerance, a genetic marker in some Australian mammals. Aust. J. Zool. 1979, 27, 363–372. [Google Scholar] [CrossRef]
- King, D.; Oliver, A.; Mead, R. The adaptation of some Western Australian mammals to food plants containing fluoroacetate. Aust. J. Zool. 1978, 26, 699–712. [Google Scholar] [CrossRef]
- Becker, M.; Carneiro, F.M.; Oliveira, L.P.D.; Silva, M.I.V.D.; Riet-Correa, F.; Lee, S.T.; Pescador, C.A.; Nakazato, L.; Colodel, E.M. Induction and transfer of resistance to poisoning by Amorimia pubiflora in sheep whith non-toxic dosis of the plant and ruminal content. Cienc. Rural 2016, 46, 674–680. [Google Scholar] [CrossRef]
- Duarte, A.L.L.; Medeiros, R.M.T.; Carvalho, F.K.L.; Lee, S.T.; Cook, D.; Pfister, J.A.; Costa, V.M.M.; Riet-Correa, F. Induction and transfer of resistance to poisoning by Amorimia (Mascagnia) septentrionalis in goats. J. Appl. Toxicol. 2014, 34, 220–223. [Google Scholar] [CrossRef] [PubMed]
- Fetzner, S.; Lingens, F. Bacterial dehalogenases: Biochemistry, genetics, and biotechnological applications. Microbiol. Mol. Biol. Rev. 1994, 58, 641–685. [Google Scholar] [CrossRef]
- Pimentel, M.F.A.; Paula, D.A.J.; Riet-Correa, F.; Dutra, V.; Nakazato, L. Detection and characterization of bovine rumen microorganisms resistant to sodium fluoroacetate. Acta Sci. Vet. 2019, 47. [Google Scholar] [CrossRef]
- Santos, A.C.; Riet-Correa, F.; Heckler, R.F.; Lima, S.C.; Silva, M.L.; Rezende, R.; Carvalho, N.M.; Lemos, R.A. Repeated administration of non-toxic doses of sodium monofluoroacetate does not protect against poisoning by this compound in sheep. Pesqui. Vet. Bras. 2014, 34, 649–654. [Google Scholar] [CrossRef]
- Uzor, P.F. Alkaloids from plants with antimalarial activity: A review of recent studies. Evid. Based Complement. Altern. Med. 2020, 2020, 1–17. [Google Scholar] [CrossRef] [PubMed]
- Kaur, R.; Arora, S. Alkaloids-important therapeutic secondary metabolites of plant origin. J. Crit. Rev. 2015, 2, 1–8. [Google Scholar]
- Smith, L.; Culvenor, C. Plant sources of hepatotoxic pyrrolizidine alkaloids. J. Nat. Prod. 1981, 44, 129–152. [Google Scholar] [CrossRef]
- Stegelmeier, B.; Edgar, J.; Colegate, S.; Gardner, D.; Schoch, T.; Coulombe, R.; Molyneux, R. Pyrrolizidine alkaloid plants, metabolism and toxicity. J. Nat. Toxins 1999, 8, 95–116. [Google Scholar]
- Moreira, R.; Pereira, D.M.; Valentão, P.; Andrade, P.B. Pyrrolizidine alkaloids: Chemistry, pharmacology, toxicology and food safety. Int. J. Mol. Sci. 2018, 19, 1668. [Google Scholar] [CrossRef]
- Fu, P.P.; Xia, Q.; Lin, G.; Chou, M.W. Pyrrolizidine alkaloids—Genotoxicity, metabolism enzymes, metabolic activation, and mechanisms. Drug Metab. Rev. 2004, 36, 1–55. [Google Scholar] [CrossRef]
- Robertson, J.; Stevens, K. Pyrrolizidine alkaloids. Nat. Prod. Rep. 2014, 31, 1721–1788. [Google Scholar] [CrossRef]
- Zhao, Y.; Xia, Q.; Yin, J.J.; Lin, G.; Fu, P.P. Photoirradiation of dehydropyrrolizidine alkaloids—Formation of reactive oxygen species and induction of lipid peroxidation. Toxicol. Lett. 2011, 205, 302–309. [Google Scholar] [CrossRef] [PubMed]
- Prakash, A.S.; Pereira, T.N.; Reilly, P.E.; Seawright, A.A. Pyrrolizidine alkaloids in human diet. Mutat. Res. 1999, 443, 53–67. [Google Scholar] [CrossRef]
- Huxtable, R.; Yan, C.; Wild, S.; Maxwell, S.; Cooper, R. Physicochemical and metabolic basis for the differing neurotoxicity of the pyrrolizidine alkaloids, trichodesmine and monocrotaline. Neurochem. Res. 1996, 21, 141–146. [Google Scholar] [CrossRef] [PubMed]
- Chen, T.; Mei, N.; Fu, P.P. Genotoxicity of pyrrolizidine alkaloids. J. Appl. Toxicol. 2010, 30, 183–196. [Google Scholar] [CrossRef] [PubMed]
- Wiedenfeld, H.; Edgar, J. Toxicity of pyrrolizidine alkaloids to humans and ruminants. Phytochem. Rev. 2011, 10, 137–151. [Google Scholar] [CrossRef]
- Pass, D.; Hogg, G.; Russell, R.; Edgar, J.; Tence, I.; Rikard-Bell, L. Poisoning of chickens and ducks by pyrrolizidine alkaloids of Heliotropium europaeum. Aust. Vet. J. 1979, 55, 284–288. [Google Scholar] [CrossRef]
- Harper, P.; Walker, K.; Krahenbuhl, R.; Christie, B. Pyrrolizidine alkaloid poisoning in calves due to contamination of straw by Heliotropium europeum. Aust. Vet. J. 1985, 62, 382–383. [Google Scholar] [CrossRef]
- Seaman, J. Hepatogenous chronic copper poisoning in sheep associated with grazing Echium plantagineum. Aust. Vet. J. 1985, 62, 247–248. [Google Scholar] [CrossRef]
- Giesecke, P. Serum biochemistry in horses with Echium poisoning. Aust. Vet. J. 1986, 63, 90–91. [Google Scholar] [CrossRef]
- Jones, R.; Drummond, G.; Chatham, R. Heliotropium europaeum poisoning of pigs. Aust. Vet. J. 1981, 57, 395–396. [Google Scholar] [CrossRef]
- Craig, A.M.; Latham, C.J.; Blythe, L.L.; Schmotzer, W.B.; O’Connor, O.A. Metabolism of toxic pyrrolizidine alkaloids from tansy ragwort (Senecio jacobaea) in ovine ruminal fluid under anaerobic conditions. Appl. Environ. Microbiol. 1992, 58, 2730–2736. [Google Scholar] [CrossRef]
- Aguiar, R.; Wink, M. Do naïve ruminants degrade alkaloids in the rumen? J. Chem. Ecol. 2005, 31, 761–787. [Google Scholar] [CrossRef]
- Damir, H.A.; Adam, S.; Tartour, G. The effects of Heliotropium ovalifolium on goats and sheep. Br. Vet. J. 1982, 138, 463–472. [Google Scholar] [CrossRef]
- Culvenor, C.; Jago, M.; Peterson, J.; Smith, L.; Payne, A.; Campbell, D.; Edgar, J.; Frahn, J. Toxicity of Echium plantagineum (Paterson’s Curse). 1. Marginal toxic effects in Merino wethers from long-term feeding. Aust. J. Agric. Res. 1984, 35, 293–304. [Google Scholar] [CrossRef]
- Lodge-Ivey, S.; Rappe, M.; Johnston, W.; Bohlken, R.; Craig, A. Molecular analysis of a consortium of ruminal microbes that detoxify pyrrolizidine alkaloids. Can. J. Microbiol. 2005, 51, 455–465. [Google Scholar] [CrossRef] [PubMed]
- Bangsund, D.A.; Nudell, D.J.; Sell, R.S.; Leistritz, F.L. Economic analysis of using sheep to control leafy spurge. J. Range Manag. 2001, 54, 322–329. [Google Scholar] [CrossRef]
- Mora, M.J.; Hervás, G.; Mantecón, Á.R.; Busqué, J.; Frutos, P. Ruminal degradation of mountain pastures infested by Euphorbia polygalifolia in cattle and sheep: Effect of previous grazing in invaded areas. J. Sci. Food Agric. 2006, 86, 2153–2160. [Google Scholar] [CrossRef]
- Halaweish, F.T.; Kronberg, S.; Hubert, M.B.; Rice, J.A. Toxic and aversive diterpenes of Euphorbia esula. J. Chem. Ecol. 2002, 28, 1599–1611. [Google Scholar] [CrossRef]
- Richardson, K.; Kelly, W.; Reil, M.; Waterman, R.; Lodge-Ivey, S. Effects of leafy spurge (Euphorbia esula) on ruminant gas production and in vitro digestion. In Proceedings of the Western Section American Society of Animal Science, Logan, UT, USA, 21–23 June 2006; p. 66. [Google Scholar]
- Landgraf, B.K.; Fay, P.K.; Havstad, K.M. Utilization of leafy spurge (Euphorbia esula) by sheep. Weed Sci. 1984, 32, 348–352. [Google Scholar] [CrossRef]
- Walker, J.W. Comparison of sheep and goat preferences for leafy spurge. J. Range Manag. 1994, 47, 429–434. [Google Scholar] [CrossRef]
- Williams, K.E.; Lacey, J.R.; Olson, B.E. Economic feasibility of grazing sheep on leafy spurge-infested rangeland in Montana. J. Range Manag. 1996, 49, 372–374. [Google Scholar] [CrossRef]
- Hein, D.G.; Miller, S.D. Influence of leafy spurge on forage utilization by cattle. J. Range Manag. 1992, 45, 405–407. [Google Scholar] [CrossRef]
- Winkler, J.D.; Hong, B.-C.; Bahador, A.; Kazanietz, M.G.; Blumberg, P.M. Synthesis of ingenol analogs with affinity for protein kinase C. Bioorg. Med. Chem. Lett. 1993, 3, 577–580. [Google Scholar] [CrossRef]
- Goel, G.; Makkar, H.P.S.; Francis, G.; Becker, K. Phorbol esters: Structure, biological activity, and toxicity in animals. Int. J. Toxicol. 2007, 26, 279–288. [Google Scholar] [CrossRef] [PubMed]
- Kosten, T.; Contreras, R.J. Deficits in conditioned heart rate and taste aversion in area postrema-lesioned rats. Behav. Brain Res. 1989, 35, 9–21. [Google Scholar] [CrossRef]
- Kronberg, S.L.; Halaweish, F.T.; Hubert, M.B.; Weimer, P.J. Interactions between Euphorbia esula toxins and bovine ruminal microbes. J. Chem. Ecol. 2006, 32, 15–28. [Google Scholar] [CrossRef]
- Ettoumi, A.; El Khalloufi, F.; El Ghazali, I.; Oudra, B.; Amrani, A.; Nasri, H.; Bouaïcha, N. Bioaccumulation of Cyanobacterial Toxins in Aquatic Organisms and Its Consequences for Public Health; Nova Science Pubilshers: New York, NY, USA, 2011; pp. 1–34. [Google Scholar]
- Dawson, R. The toxicology of microcystins. Toxicon 1998, 36, 953–962. [Google Scholar] [CrossRef]
- Nishiwaki-Matsushima, R.; Ohta, T.; Nishiwaki, S.; Suganuma, M.; Kohyama, K.; Ishikawa, T.; Carmichael, W.W.; Fujiki, H. Liver tumor promotion by the cyanobacterial cyclic peptide toxin microcystin-LR. J. Cancer Res. Clin. Oncol. 1992, 118, 420–424. [Google Scholar] [CrossRef]
- Yoshida, T.; Makita, Y.; Nagata, S.; Tsutsumi, T.; Yoshida, F.; Sekijima, M.; Tamura, S.I.; Ueno, Y. Acute oral toxicity of microcystin-LR, a cyanobacterial hepatotoxin, in mice. Nat. Toxins 1997, 5, 91–95. [Google Scholar] [CrossRef]
- Yiannikouris, A.; Jouany, J.-P. Mycotoxins in feeds and their fate in animals: A review. Anim. Res. 2002, 51, 81–99. [Google Scholar] [CrossRef]
- Eskola, M.; Kos, G.; Elliott, C.T.; Hajšlová, J.; Mayar, S.; Krska, R. Worldwide contamination of food-crops with mycotoxins: Validity of the widely cited ‘FAO estimate’ of 25%. Crit. Rev. Food Sci. Nutr. 2020, 60, 2773–2789. [Google Scholar] [CrossRef] [PubMed]
- Vasanthi, S.; Bhat, R.V. Mycotoxins in foods. Occurrence, health & economic significance & food control measures. Indian J. Med. Res. 1998, 108, 212–224. [Google Scholar] [PubMed]
- Upadhaya, S.D.; Park, M.; Ha, J.K. Mycotoxins and their biotransformation in the rumen: A review. Asian-Australas. J. Anim. 2010, 23, 1250–1260. [Google Scholar] [CrossRef]
- Taheur, F.B.; Kouidhi, B.; Al Qurashi, Y.M.A.; Salah-Abbès, J.B.; Chaieb, K. Biotechnology of mycotoxins detoxification using microorganisms and enzymes. Toxicon 2019, 160, 12–22. [Google Scholar] [CrossRef]
- Bertero, A.; Moretti, A.; Spicer, L.J.; Caloni, F. Fusarium molds and mycotoxins: Potential species-specific effects. Toxins 2018, 10, 244. [Google Scholar] [CrossRef]
- Fitzpatrick, D.; Picken, C.; Murphy, L.; Buhr, M. Measurement of the relative binding affinity of zearalenone, alpha-zearalenol and beta-zearalenol for uterine and oviduct estrogen receptors in swine, rats and chickens: An indicator of estrogenic potencies. Comp. Biochem. Phys. C 1989, 94, 691–694. [Google Scholar] [CrossRef]
- Ueno, Y.; Tashiro, F. α-Zearalenol, a major hepatic metabolite in rats of zearalenone, an estrogenic mycotoxin of Fusarium species. J. Biochem. 1981, 89, 563–571. [Google Scholar] [CrossRef]
- Ueno, Y.; Hsieh, D.P. The toxicology of mycotoxins. Crit. Rev. Toxicol. 1985, 14, 99–132. [Google Scholar] [CrossRef]
- Pinton, P.; Oswald, I.P. Effect of deoxynivalenol and other Type B trichothecenes on the intestine: A review. Toxins 2014, 6, 1615–1643. [Google Scholar] [CrossRef]
- McCormick, S.P.; Stanley, A.M.; Stover, N.A.; Alexander, N.J. Trichothecenes: From simple to complex mycotoxins. Toxins 2011, 3, 802–814. [Google Scholar] [CrossRef] [PubMed]
- Ohtsubo, K.; Yamada, M.-A.; Saito, M. Inhibitory effect of nivalenol, a toxic metabolite of Fusarium nivale, on the growth cycle and biopolymer synthesis of HeLa cells. Jpn. J. Med. Sci. Biol. 1968, 21, 185–194. [Google Scholar] [CrossRef] [PubMed][Green Version]
- European Commission. Commission Regulation (EC) No. 1126/2007 of 28 September 2007 Amending Regulation (EC) No. 1881/2006 Setting Maximum Levels for Certain Contaminants in Foodstuffs as Regards Fusarium Toxins in Maize and Maize Products. Off. J. Eur. Union 2007, 225, 14–17. [Google Scholar]
- Rotter, B.A. Invited review: Toxicology of deoxynivalenol (vomitoxin). J. Toxicol. Environ. 1996, 48, 1–34. [Google Scholar] [CrossRef]
- Swanson, S.; Helaszek, C.; Buck, W.; Rood, H., Jr.; Haschek, W. The role of intestinal microflora in the metabolism of trichothecene mycotoxins. Food Chem. Toxicol. 1988, 26, 823–829. [Google Scholar] [CrossRef]
- Swanson, S.P.; Nicoletti, J.; Rood, H.D.; Buck, W.B.; Cote, L.M.; Yoshizawa, T. Metabolism of three trichothecene mycotoxins, T-2 toxin, diacetoxyscirpenol and deoxynivalenol, by bovine rumen microorganisms. J. Chromatogr. A 1987, 414, 335–342. [Google Scholar] [CrossRef]
- Eriksen, G.S.; Pettersson, H.; Lundh, T. Comparative cytotoxicity of deoxynivalenol, nivalenol, their acetylated derivatives and de-epoxy metabolites. Food Chem. Toxicol. 2004, 42, 619–624. [Google Scholar] [CrossRef]
- Onji, Y.; Dohi, Y.; Aoki, Y.; Moriyama, T.; Nagami, H.; Uno, M.; Tanaka, T.; Yamazoe, Y. Deepoxynivalenol: A new metabolite of nivalenol found in the excreta of orally administered rats. J. Agric. Food Chem. 1989, 37, 478–481. [Google Scholar] [CrossRef]
- Yoshizawa, T.; Takeda, H.; Ohi, T. Structure of a novel metabolite from deoxynivalenol, a trichothecene mycotoxin, in animals. Agric. Biol. Chem. 1983, 47, 2133–2135. [Google Scholar] [CrossRef]
- Kollarczik, B.; Gareis, M.; Hanelt, M. In vitro transformation of the Fusarium mycotoxins deoxynivalenol and zearalenone by the normal gut microflora of pigs. Nat. Toxins 1994, 2, 105–110. [Google Scholar] [CrossRef]
- Eriksen, G.S.; Pettersson, H.; Johnsen, K.; Lindberg, J. Transformation of trichothecenes in ileal digesta and faeces from pigs. Arch. Anim. Nutr. 2002, 56, 263–274. [Google Scholar] [CrossRef] [PubMed]
- Binder, J.; Horvath, E.; Schatzmayr, G.; Ellend, N.; Danner, H.; Krska, R.; Braun, R. Screening for deoxynivalenol-detoxifying anaerobic rumen microorganisms. Cereal Res. Commun. 1997, 25, 343–346. [Google Scholar] [CrossRef]
- Binder, E.; Heidler, D.; Schatzmayr, G.; Thimm, N.; Fuchs, E.; Schuh, M.; Krska, R.; Binder, J. Microbial detoxification of mycotoxins in animal feed. In Mycotoxins and Phycotoxins in Perspective at the Turn of the Millennium, Proceedings of the 10th International IUPAC Symposium, Mycotoxins and Phycotoxins, Garujà, Brazil, 21–25 May 2000; RIVM: Utrecht, The Netherlands, 2000; pp. 271–277. [Google Scholar]
- Diaz, D.E. The Mycotoxin Blue Book, 1st ed.; Nottingham University Press: Nottingham, UK, 2005; pp. 25–56. [Google Scholar]
- Yunus, A.W.; Razzazi-Fazeli, E.; Bohm, J. Aflatoxin B1 in affecting broiler’s performance, immunity, and gastrointestinal tract: A review of history and contemporary issues. Toxins 2011, 3, 566–590. [Google Scholar] [CrossRef] [PubMed]
- European Commission. Commission Regulation (EU) No. 165/2010 of 26 February 2010 Amending Regulation (EC) No. 1881/2006 Setting Maximum Levels for Certain Contaminants in Foodstuffs as Regards Aflatoxins. Off. J. Eur. Union 2010, 50, 8–12. [Google Scholar]
- Wogan, G.N. Aflatoxins as risk factors for hepatocellular carcinoma in humans. Cancer Res. 1992, 52, 2114–2118. [Google Scholar]
- Joint FAO/WHO Expert Committee on Food Additives (JECFA). Safety Evaluation of Certain Food Additives and Contaminants in Food, Proceedings of the 56th Meeting of the Joint FAO/WHO Expert Committee on Food Additives (JECFA); World Health Organization: Geneva, Switzerland, 2004. [Google Scholar]
- Bailey, G.S.; Williams, D.E.; Wilcox, J.S.; Loveland, P.M.; Coulombe, R.A.; Hendricks, J.D. Aflatoxin B1 carcinogenesis and its relation to DNA adduct formation and adduct persistence in sensitive and resistant salmonid fish. Carcinogenesis 1988, 9, 1919–1926. [Google Scholar] [CrossRef] [PubMed]
- Eaton, D.L.; Gallagher, E.P. Mechanisms of aflatoxin carcinogenesis. Annu. Rev. Pharmacol. Toxicol. 1994, 34, 135–172. [Google Scholar] [CrossRef]
- Do, J.H.; Choi, D.-K. Aflatoxins: Detection, toxicity, and biosynthesis. Biotechnol. Bioprocess Eng. 2007, 12, 585–593. [Google Scholar] [CrossRef]
- Zhu, Y.; Hassan, Y.I.; Watts, C.; Zhou, T. Innovative technologies for the mitigation of mycotoxins in animal feed and ingredients—A review of recent patents. Anim. Feed. Sci. Technol. 2016, 216, 19–29. [Google Scholar] [CrossRef]
- Wang, R.; Fui, S.; Miao, C.; Feng, D. Effects of different mycotoxin adsorbents on performance, meat characteristics and blood profiles of avian broilers fed mold contaminated corn. Asian-Australas. J. Anim. 2005, 19, 72–79. [Google Scholar] [CrossRef]
- Allcroft, R.; Roberts, B.; Lloyd, M. Excretion of aflatoxin in a lactating cow. Food Chem. Toxicol. 1968, 6, 619–625. [Google Scholar] [CrossRef]
- Upadhaya, S.D.; Sung, H.G.; Lee, C.H.; Lee, S.Y.; Kim, S.W.; Cho, K.J.; Ha, J.K. Comparative study on the aflatoxin B1 degradation ability of rumen fluid from Holstein steers and Korean native goats. J. Vet. Sci. 2009, 10, 29–34. [Google Scholar] [CrossRef]
- Petchkongkaew, A.; Taillandier, P.; Gasaluck, P.; Lebrihi, A. Isolation of Bacillus spp. from Thai fermented soybean (Thua-nao): Screening for aflatoxin B1 and ochratoxin A detoxification. J. Appl. Microbiol. 2008, 104, 1495–1502. [Google Scholar] [CrossRef]
- Gao, X.; Ma, Q.; Zhao, L.; Lei, Y.; Shan, Y.; Ji, C. Isolation of Bacillus subtilis: Screening for aflatoxins B1, M1 and G1 detoxification. Eur. Food Res. Technol. 2011, 232, 957–962. [Google Scholar] [CrossRef]
- Zuo, R.; Chang, J.; Yin, Q.; Wang, P.; Yang, Y.; Wang, X.; Wang, G.; Zheng, Q. Effect of the combined probiotics with aflatoxin B1-degrading enzyme on aflatoxin detoxification, broiler production performance and hepatic enzyme gene expression. Food Chem. Toxicol. 2013, 59, 470–475. [Google Scholar] [CrossRef] [PubMed]
- Chen, Y.; Kong, Q.; Chi, C.; Shan, S.; Guan, B. Biotransformation of aflatoxin B1 and aflatoxin G1 in peanut meal by anaerobic solid fermentation of Streptococcus thermophilus and Lactobacillus delbrueckii subsp. bulgaricus. Int. J. Food Microbiol. 2015, 211, 1–5. [Google Scholar] [CrossRef] [PubMed]
- Megalla, S.E.; Mohran, M.A. Fate of aflatoxin B1 in fermented dairy products. Mycopathologia 1984, 88, 27–29. [Google Scholar] [CrossRef]
- Krogh, P. Ochratoxin A in Food; Academic Press: London, UK, 1987; pp. 97–112. [Google Scholar]
- European Commission. Commission Regulation (EU) No. 594/2012 of 5 July 2012 Amending Regulation (EC) No. 1881/2006 as Regards the Maximum Levels of the Contaminants Ochratoxin A, Non Dioxin-Like PCBs and Melamine in Foodstuffs. Off. J. Eur. Union 2012, 255, 14–17. [Google Scholar]
- Guillamont, E.M.; Lino, C.; Baeta, M.; Pena, A.; Silveira, M.; Vinuesa, J.M. A comparative study of extraction apparatus in HPLC analysis of ochratoxin A in muscle. Anal. Bioanal. Chem. 2005, 383, 570–575. [Google Scholar] [CrossRef]
- Skaug, M.A. Analysis of Norwegian milk and infant formulas for ochratoxin A. Food Addit. Contam. 1999, 16, 75–78. [Google Scholar] [CrossRef]
- Pozzo, L.; Cavallarin, L.; Nucera, D.; Antoniazzi, S.; Schiavone, A. A survey of ochratoxin A contamination in feeds and sera from organic and standard swine farms in northwest Italy. J. Sci. Food Agric. 2010, 90, 1467–1472. [Google Scholar] [CrossRef]
- Malir, F.; Ostry, V.; Pfohl-Leszkowicz, A.; Malir, J.; Toman, J. Ochratoxin A: 50 years of research. Toxins 2016, 8, 191. [Google Scholar] [CrossRef] [PubMed]
- Omar, R.F.; Hasinoff, B.B.; Mejilla, F.; Rahimtula, A.D. Mechanism of ochratoxin A stimulated lipid peroxidation. Biochem. Pharmacol. 1990, 40, 1183–1191. [Google Scholar] [CrossRef]
- Mally, A.; Pepe, G.; Ravoori, S.; Fiore, M.; Gupta, R.C.; Dekant, W.; Mosesso, P. Ochratoxin A causes DNA damage and cytogenetic effects but no DNA adducts in rats. Chem. Res. Toxicol. 2005, 18, 1253–1261. [Google Scholar] [CrossRef] [PubMed]
- Marin-Kuan, M.; Cavin, C.; Delatour, T.; Schilter, B. Ochratoxin A carcinogenicity involves a complex network of epigenetic mechanisms. Toxicon 2008, 52, 195–202. [Google Scholar] [CrossRef]
- Kabak, B.; Brandon, E.F.; Var, I.; Blokland, M.; Sips, A.J. Effects of probiotic bacteria on the bioaccessibility of aflatoxin B1 and ochratoxin A using an in vitro digestion model under fed conditions. J. Environ. Sci. Health B 2009, 44, 472–480. [Google Scholar] [CrossRef] [PubMed]
- Versantvoort, C.H.; Oomen, A.G.; Van de Kamp, E.; Rompelberg, C.J.; Sips, A.J. Applicability of an in vitro digestion model in assessing the bioaccessibility of mycotoxins from food. Food Chem. Toxicol. 2005, 43, 31–40. [Google Scholar] [CrossRef]
- Hagelberg, S.; Hult, K.; Fuchs, R. Toxicokinetics of ochratoxin A in several species and its plasma-binding properties. J. Appl. Toxicol. 1989, 9, 91–96. [Google Scholar] [CrossRef]
- Oster, T.; Jayyosi, Z.; Creppy, E.E.; El Amri, H.S.; Batt, A.-M. Characterization of pig liver purified cytochrome P-450 isoenzymes for ochratoxin A metabolism studies. Toxicol. Lett. 1991, 57, 203–214. [Google Scholar] [CrossRef]
- Tao, Y.; Xie, S.; Xu, F.; Liu, A.; Wang, Y.; Chen, D.; Pan, Y.; Huang, L.; Peng, D.; Wang, X. Ochratoxin A: Toxicity, oxidative stress and metabolism. Food Chem. Toxicol. 2018, 112, 320–331. [Google Scholar] [CrossRef]
- Zepnik, H.; Pähler, A.; Schauer, U.; Dekant, W. Ochratoxin A-induced tumor formation: Is there a role of reactive ochratoxin A metabolites? Toxicol. Sci. 2001, 59, 59–67. [Google Scholar] [CrossRef] [PubMed]
- Reljic, Z.; Zlatovic, M.; Savic-Radojevic, A.; Pekmezovic, T.; Djukanovic, L.; Matic, M.; Pljesa-Ercegovac, M.; Mimic-Oka, J.; Opsenica, D.; Simic, T. Is increased susceptibility to Balkan endemic nephropathy in carriers of common GSTA1 (*A/*B) polymorphism linked with the catalytic role of GSTA1 in ochratoxin A biotransformation? Serbian case control study and in silico analysis. Toxins 2014, 6, 2348–2362. [Google Scholar] [CrossRef]
- Xiao, H.; Madhyastha, S.; Marquardt, R.R.; Li, S.; Vodela, J.K.; Frohlich, A.; Kemppainen, B.W. Toxicity of ochratoxin A, its opened lactone form and several of its analogs: Structure–activity relationships. Toxicol. Appl. Pharm. 1996, 137, 182–192. [Google Scholar] [CrossRef] [PubMed]
- Battacone, G.; Nudda, A.; Pulina, G. Effects of ochratoxin A on livestock production. Toxins 2010, 2, 1796–1824. [Google Scholar] [CrossRef] [PubMed]
- Elling, F.; Møller, T. Mycotoxic nephropathy in pigs. Bull. World Health Organ. 1973, 49, 411–418. [Google Scholar]
- Santin, E.; Paulillo, A.C.; Maiorka, P.C.; Alessi, A.C.; Krabbe, E.L.; Maiorka, A. The effects of ochratoxin/aluminosilicate interaction on the tissues and humoral immune response of broilers. Avian Pathol. 2002, 31, 73–79. [Google Scholar] [CrossRef]
- Duarte, S.C.; Lino, C.M.; Pena, A. Ochratoxin A in feed of food-producing animals: An undesirable mycotoxin with health and performance effects. Vet. Microbiol. 2011, 154, 1–13. [Google Scholar] [CrossRef] [PubMed]
- Madhyastha, M.; Marquardt, R.; Frohlich, A. Hydrolysis of ochratoxin A by the microbial activity of digesta in the gastrointestinal tract of rats. Arch. Environ. Contam. Toxicol. 1992, 23, 468–472. [Google Scholar] [CrossRef]
- Sreemannarayana, O.; Frohlich, A.; Vitti, T.; Marquardt, R.; Abramson, D. Studies of the tolerance and disposition of ochratoxin A in young calves. J. Anim. Sci. 1988, 66, 1703–1711. [Google Scholar] [CrossRef]
- Xiao, H.; Marquardt, R.; Frohlich, A.; Phillips, G.; Vitti, T. Effect of a hay and a grain diet on the rate of hydrolysis of ochratoxin A in the rumen of sheep. J. Anim. Sci. 1991, 69, 3706–3714. [Google Scholar] [CrossRef]
- Schjøth, J.E.; Visconti, A.; Sundheim, L. Fumonisins in maize in relation to climate, planting time and hybrids in two agroecological zones in Zambia. Mycopathologia 2009, 167, 209–219. [Google Scholar] [CrossRef]
- Ahangarkani, F.; Rouhi, S.; Gholamour Azizi, I. A review on incidence and toxicity of fumonisins. Toxin Rev. 2014, 33, 95–100. [Google Scholar] [CrossRef]
- Voss, K.; Smith, G.; Haschek, W. Fumonisins: Toxicokinetics, mechanism of action and toxicity. Anim. Feed. Sci. Technol. 2007, 137, 299–325. [Google Scholar] [CrossRef]
- European Commission. Commission Regulation (EC) No 1881/2006 of 19 December 2006 Setting Maximum Levels for Certain Contaminants in Foodstuffs. Off. J. Eur. Union 2006, 364, 5–24. [Google Scholar]
- Moreno, E.C.; Garcia, G.T.; Ono, M.A.; Vizoni, É.; Kawamura, O.; Hirooka, E.Y.; Ono, E.Y.S. Co-occurrence of mycotoxins in corn samples from the Northern region of Paraná State, Brazil. Food Chem. 2009, 116, 220–226. [Google Scholar] [CrossRef]
- Merrill, A.H.J.; Sullards, M.C.; Wang, E.; Voss, K.A.; Riley, R.T. Sphingolipid metabolism: Roles in signal transduction and disruption by fumonisins. Environ. Health Perspect. 2001, 109, 283–289. [Google Scholar] [CrossRef] [PubMed]
- Howard, P.C.; Eppley, R.M.; Stack, M.E.; Warbritton, A.; Voss, K.A.; Lorentzen, R.J.; Kovach, R.M.; Bucci, T.J. Fumonisin B1 carcinogenicity in a two-year feeding study using F344 rats and B6C3F1 mice. Environ. Health Perspect. 2001, 109, 277–282. [Google Scholar] [CrossRef]
- Giannitti, F.; Diab, S.S.; Pacin, A.M.; Barrandeguy, M.; Larrere, C.; Ortega, J.; Uzal, F.A. Equine leukoencephalomalacia (ELEM) due to fumonisins B1 and B2 in Argentina. Pesqui. Vet. Bras. 2011, 31, 407–412. [Google Scholar] [CrossRef]
- Ross, P.F.; Rice, L.G.; Osweiler, G.D.; Nelson, P.E.; Richard, J.L.; Wilson, T.M. A review and update of animal toxicoses associated with fumonisin-contaminated feeds and production of fumonisins by Fusarium isolates. Mycopathologia 1992, 117, 109–114. [Google Scholar] [CrossRef]
- Ledoux, D.R.; Brown, T.P.; Weibking, T.S.; Rottinghaus, G.E. Fumonisin toxicity in broiler chicks. J. Vet. Diagn. Investig. 1992, 4, 330–333. [Google Scholar] [CrossRef]
- Srichana, D.; Rottinghaus, G.; Srichana, P.; Porter, J.; Kerley, M.; Ledoux, D.; Spain, J.; Ellersieck, M. Effect of fumonisin on growth of ruminal bacteria in batch culture. Thammasat Int. J. Sci. Technol. 2009, 14, 13–21. [Google Scholar]
Publisher’s Note: MDPI stays neutral with regard to jurisdictional claims in published maps and institutional affiliations. |
© 2020 by the authors. Licensee MDPI, Basel, Switzerland. This article is an open access article distributed under the terms and conditions of the Creative Commons Attribution (CC BY) license (http://creativecommons.org/licenses/by/4.0/).















