Tucum-Do-Cerrado (Bactris setosa Mart.) Consumption Modulates Iron Homeostasis and Prevents Iron-Induced Oxidative Stress in the Rat Liver
Abstract
:1. Introduction
2. Experimental Section
2.1. Tucum-Do-Cerrado Fruit
2.2. Animals’ Treatment
2.3. Tissue Iron Determination and Serum Iron Parameters
2.4. mRNA Expression of Iron Metabolism and Antioxidant Genes
2.4.1. RNA Extraction and cDNA Synthesis
2.4.2. mRNA Quantification by Real-Time Polymerase Chain Reaction
2.5. Antioxidant Enzyme and NADPH Oxidase Tissue Activity
2.6. Tissue Lipid Peroxidation Level
2.7. Tissue Protein Oxidation Level
2.8. Antioxidant Capacity of Serum (FRAP)
2.9. Statistical Analysis
3. Results
3.1. Effect of Tucum-Do-Cerrado Consumption on Food Intake, Iron Intake, Body Weight Gain and Iron Concentration in the Tissues
| Dietary Intake (g) | CNT | Fe | Tuc | TucFe |
| 573.9 ± 36.1 | 512.8 ± 48.1 | 571.5 ± 56.5 | 584.1 ± 35.6 | |
| Body Weight Gain (g) | 104.5 ± 19.2 | 105.2 ± 7.4 | 82.4 ± 10.8 | 97.8 ± 24.0 |
| Iron Intake (mg) | 18.8 ± 1.0 | 117.0 ± 11.0 * | 24.1 ± 2.4 | 123.9 ± 7.6 * |
| Tucum-Do-Cerrado Intake (g) | − | − | 66.8 ± 6.6 * | 68.2 ± 3.7 *,# |
| CNT | Fe | Tuc | TucFe | |
|---|---|---|---|---|
| Serum Iron (µg/dL) | 103.4 ± 42.2 | 222.7 ± 53.3 * | 128.5 ± 31.5 | 74.8 ± 13.3 # |
| UIBC (µg/dL) | 266.0 ± 93.0 | 248.8 ± 71.3 | 276.0 ± 43.5 | 310.3 ± 15.8 |
| TIBC (µg/dL) | 403.9 ± 24.9 | 438.4 ± 73.6 | 397.7 ± 50.7 | 385.1 ± 17.4 |
| Transferrin Saturation (%) | 25.9 ± 11.7 | 50.7 ± 8.6 * | 32.3 ± 6.9 | 19.4 ± 3.1 # |
| Transferrin (mg/dL) | 282.7 ± 17.4 | 307.0 ± 51.5 | 278.4 ± 35.5 | 269.6 ± 12.2 |

3.2. Effect of Tucum-Do-Cerrado Consumption on the Oxidative Damage to Lipid and Protein in Tissues

3.3. Effect of Tucum-Do-Cerrado Consumption on the Activity of Antioxidant Enzymes and on Serum Antioxidant Capacity in Tissues


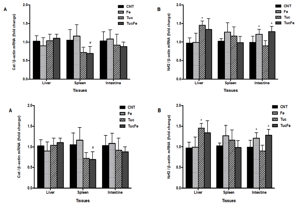
3.4. The Effect of Tucum-Do-Cerrado Consumption on the mRNA Levels of Proteins Involved in Body Antioxidant Capacity: Nrf2, Cat, Hmox1, and Nqo1

3.5. The Effect of Tucum-Do-Cerrado Consumption on the mRNA Levels of Hamp in the Liver
3.6. The Effect of Tucum-Do-Cerrado Consumption on the mRNA Levels of Bmp6 and Ftl in the Liver

4. Discussion
5. Conclusions
Supplementary Materials
Acknowledgments
Author Contributions
Conflicts of Interest
References
- Pantopoulos, K.; Porwal, S.K.; Tartakoff, A.; Devireddy, L. Mechanisms of mammalian iron homeostasis. Biochemistry 2012, 51, 5705–5724. [Google Scholar] [CrossRef] [PubMed]
- Barbouti, A.; Doulias, P.T.; Zhu, B.Z.; Frei, B.; Galaris, D. Intracellular iron, but not copper, plays a critical role in hydrogen peroxide-induced DNA damage. Free Radic. Biol. Med. 2001, 31, 490–498. [Google Scholar] [CrossRef]
- Finkel, T.; Holbrook, N.J. Oxidants, oxidative stress and the biology of ageing. Nature 2000, 408, 239–247. [Google Scholar] [CrossRef] [PubMed]
- Arruda, L.F.; Arruda, S.F.; Campos, N.A.; de Valencia, F.F.; Siqueira, E.M. Dietary iron concentration may influence aging process by altering oxidative stress in tissues of adult rats. PLoS ONE 2013, 8. [Google Scholar] [CrossRef] [PubMed]
- Mehta, J.L.; Rasouli, N.; Sinha, A.K.; Molavi, B. Oxidative stress in diabetes: A mechanistic overview of its effects on atherogenesis and myocardial dysfunction. Int. J. Biochem. Cell Biol. 2006, 38, 794–803. [Google Scholar] [CrossRef] [PubMed]
- Evstatiev, R.; Gasche, C. Iron sensing and signalling. Gut 2012, 61, 933–952. [Google Scholar] [CrossRef] [PubMed]
- D’Anna, M.C.; Roque, M.E. Physiological focus on the erythropoietin-hepcidin-ferroportin axis. Can. J. Physiol. Pharmacol. 2013, 91, 338–345. [Google Scholar] [CrossRef] [PubMed]
- Valko, M.; Rhodes, C.J.; Moncol, J.; Izakovic, M.; Mazur, M. Free radicals, metals and antioxidants in oxidative stress-induced cancer. Chem. Biol. Interact. 2006, 160, 1–40. [Google Scholar] [CrossRef] [PubMed]
- Pamplona, R.; Costantini, D. Molecular and structural antioxidant defenses against oxidative stress in animals. Am. J. Physiol. Regul. Integr. Comp. Physiol. 2011, 301, R843–R863. [Google Scholar] [CrossRef] [PubMed]
- Dinkova-Kostova, A.T.; Talalay, P. Direct and indirect antioxidant properties of inducers of cytoprotective proteins. Mol. Nutr. Food Res. 2008, 52, S128–S138. [Google Scholar] [CrossRef] [PubMed]
- Nguyen, T.; Nioi, P.; Pickett, C.B. The Nrf2-antioxidant response element signaling pathway and its activation by oxidative stress. J. Biol. Chem. 2009, 284, 13291–13295. [Google Scholar] [CrossRef] [PubMed]
- Silva-Gomes, S.; Santos, A.G.; Caldas, C.; Silva, C.M.; Neves, J.V.; Lopes, J.; Carneiro, F.; Rodrigues, P.N.; Duarte, T.L. Transcription factor Nrf2 protects mice against dietary iron-induced liver injury by preventing hepatocytic cell death. J. Hepatol. 2014, 60, 354–361. [Google Scholar] [CrossRef] [PubMed]
- Moon, M.S.; McDevitt, E.I.; Zhu, J.; Stanley, B.; Krzeminski, J.; Amin, S.; Aliaga, C.; Miller, T.G.; Isom, H.C. Elevated hepatic iron activates NF-E2-related factor 2-regulated pathway in a dietary iron overload mouse model. Toxicol. Sci. 2012, 129, 74–85. [Google Scholar] [CrossRef] [PubMed]
- Siriwardhana, N.; Kalupahana, N.S.; Cekanova, M.; LeMieux, M.; Greer, B.; Moustaid-Moussa, N. Modulation of adipose tissue inflammation by bioactive food compounds. J. Nutr. Biochem. 2013, 24, 613–623. [Google Scholar] [CrossRef] [PubMed]
- Mendonça, R.; Felili, J.; Walter, B.; Júnior, M.; Rezende, A.; Filgueiras, T.; Nogueira, P. Flora Vascular Do Cerrado; EMBRAPA-CPAC: Planaltina, Brasil, 1998. [Google Scholar]
- Siqueira, E.M.D.; Marin, A.M.F.; da Cunha, M.D.B.; Fustinoni, A.M.; de Sant’Ana, L.P.; Arruda, S.F. Consumption of baru seeds [Dipteryx alata Vog.], a Brazilian savanna nut, prevents iron-induced oxidative stress in rats. Food Res. Int. 2012, 45, 427–433. [Google Scholar] [CrossRef]
- Ferreira, L.G.; Huete, A.R. Assessing the seasonal dynamics of the brazilian cerrado vegetation through the use of spectral vegetation indices. Int. J. Remote Sens. 2004, 25, 1837–1860. [Google Scholar] [CrossRef]
- Siqueira, E.M.D.; Rosa, F.R.; Fustinoni, A.M.; de Sant’Ana, L.P.; Arruda, S.F. Brazilian savanna fruits contain higher bioactive compounds content and higher antioxidant activity relative to the conventional red delicious apple. PLoS ONE 2013, 8. [Google Scholar] [CrossRef] [PubMed]
- Reeves, P.G.; Nielsen, F.H.; Fahey, G.C. AIN-93 purified diets for laboratory rodents—Final report of the American Institute of Nutrition ad hoc writing committee on the reformulation of the AIN-76A rodent diet. J. Nutr. 1993, 123, 1939–1951. [Google Scholar] [PubMed]
- Baranowska, I.; Czernicki, K.; Aleksandrowicz, R. The analysis of lead, cadmium, zinc, copper and nickel content in human bones from the upper silesian industrial district. Sci. Total Environ. 1995, 159, 155–162. [Google Scholar] [CrossRef]
- Livak, K.J.; Schmittgen, T.D. Analysis of relative gene expression data using real-time quantitative PCR and the 2−∆∆CT method. Methods 2001, 25, 402–408. [Google Scholar] [CrossRef] [PubMed]
- Candan, N.; Tuzmen, N. Very rapid quantification of malondialdehyde (MDA) in rat brain exposed to lead, aluminium and phenolic antioxidants by high-performance liquid chromatography-fluorescence detection. Neurotoxicology 2008, 29, 708–713. [Google Scholar] [CrossRef] [PubMed]
- Hartree, E.F. Determination of protein: A modification of the lowry method that gives a linear photometric response. Anal. Biochem. 1972, 48, 422–427. [Google Scholar] [CrossRef]
- Richert, S.; Wehr, N.B.; Stadtman, E.R.; Levine, R.L. Assessment of skin carbonyl content as a noninvasive measure of biological age. Arch. Biochem. Biophys. 2002, 397, 430–432. [Google Scholar] [CrossRef] [PubMed]
- Benzie, I.F.; Strain, J.J. The ferric reducing ability of plasma (FRAP) as a measure of “antioxidant power”: The FRAP assay. Anal. Biochem. 1996, 239, 70–76. [Google Scholar] [CrossRef] [PubMed]
- Eberhardt, M.V.; Lee, C.Y.; Liu, R.H. Antioxidant activity of fresh apples. Nature 2000, 405, 903–904. [Google Scholar] [PubMed]
- Sun, J.; Chu, Y.F.; Wu, X.; Liu, R.H. Antioxidant and antiproliferative activities of common fruits. J. Agric. Food Chem. 2002, 50, 7449–7454. [Google Scholar] [CrossRef] [PubMed]
- McDonald, C.J.; Ostini, L.; Wallace, D.F.; John, A.N.; Watters, D.J.; Subramaniam, V.N. Iron loading and oxidative stress in the Atm-/- mouse liver. Am. J. Phys. Gastrointest. Liver Phys. 2011, 300, G554–G560. [Google Scholar] [CrossRef] [PubMed]
- Badria, F.A.; Ibrahim, A.S.; Badria, A.F.; Elmarakby, A.A. Curcumin attenuates iron accumulation and oxidative stress in the liver and spleen of chronic iron-overloaded rats. PLoS ONE 2015, 10. [Google Scholar] [CrossRef] [PubMed]
- Pereira, A.C.; Dionisio, A.P.; Wurlitzer, N.J.; Alves, R.E.; de Brito, E.S.; e Silva, A.M.; Brasil, I.M.; Mancini Filho, J. Effect of antioxidant potential of tropical fruit juices on antioxidant enzyme profiles and lipid peroxidation in rats. Food Chem. 2014, 157, 179–185. [Google Scholar] [CrossRef] [PubMed]
- Chen, C.Y.; Jang, J.H.; Li, M.H.; Surh, Y.J. Resveratrol upregulates heme oxygenase-1 expression via activation of NF-E2-related factor 2 in PC12 cells. Biochem. Biophys. Res. Commun. 2005, 331, 993–1000. [Google Scholar] [CrossRef] [PubMed]
- Surh, Y.J.; Kundu, J.K.; Na, H.K.; Lee, J.S. Redox-sensitive transcription factors as prime targets for chemoprevention with anti-inflammatory and antioxidative phytochemicals. J. Nutr. 2005, 135, 2993–3001. [Google Scholar]
- Cho, B.O.; Ryu, H.W.; Jin, C.H.; Choi, D.S.; Kang, S.Y.; Kim, D.S.; Byun, M.W.; Jeong, I.Y. Blackberry extract attenuates oxidative stress through up-regulation of Nrf2-dependent antioxidant enzymes in carbon tetrachloride-treated rats. J. Agric. Food Chem. 2011, 59, 11442–11448. [Google Scholar] [CrossRef] [PubMed]
- Peng, S.; Zhang, B.; Yao, J.; Duan, D.; Fang, J. Dual protection of hydroxytyrosol, an olive oil polyphenol, against oxidative damage in PC12 cells. Food Funct. 2015, 6, 2091–2100. [Google Scholar] [CrossRef] [PubMed]
- Wang, D.; Wang, Y.; Wan, X.; Yang, C.S.; Zhang, J. Green tea polyphenol (−)-epigallocatechin-3-gallate triggered hepatotoxicity in mice: Responses of major antioxidant enzymes and the Nrf2 rescue pathway. Toxicol. Appl. Pharm. 2015, 283, 65–74. [Google Scholar] [CrossRef] [PubMed]
- Ryter, S.W.; Alam, J.; Choi, A.M. Heme oxygenase-1/carbon monoxide: From basic science to therapeutic applications. Physiol. Rev. 2006, 86, 583–650. [Google Scholar] [CrossRef] [PubMed]
- Surh, Y.J.; Kundu, J.K.; Li, M.H.; Na, H.K.; Cha, Y.N. Role of Nrf2-mediated heme oxygenase-1 upregulation in adaptive survival response to nitrosative stress. Arch. Pharm. Res. 2009, 32, 1163–1176. [Google Scholar] [CrossRef] [PubMed]
- Dinkova-Kostova, A.T.; Talalay, P. NAD(P)H: Quinone acceptor oxidoreductase 1 (NQO1), a multifunctional antioxidant enzyme and exceptionally versatile cytoprotector. Arch. Biochem. Biophys. 2010, 501, 116–123. [Google Scholar] [CrossRef] [PubMed]
- Yang, Y.C.; Lii, C.K.; Lin, A.H.; Yeh, Y.W.; Yao, H.T.; Li, C.C.; Liu, K.L.; Chen, H.W. Induction of glutathione synthesis and heme oxygenase 1 by the flavonoids butein and phloretin is mediated through the ERK/Nrf2 pathway and protects against oxidative stress. Free Radic. Biol. Med. 2011, 51, 2073–2081. [Google Scholar] [CrossRef] [PubMed]
- Guan, Y.; An, P.; Zhang, Z.; Zhang, F.; Yu, Y.; Wu, Q.; Shi, Y.; Guo, X.; Tao, Y.; Wang, F. Screening identifies the chinese medicinal plant caulis spatholobi as an effective Hamp expression inhibitor. J. Nutr. 2013, 143, 1061–1066. [Google Scholar] [CrossRef] [PubMed]
- Zhang, Y.; Li, M.M.; Zeng, F.; Yao, C.; Wang, K.P. Study to establish the role of JAK2 and SMAD1/5/8 pathways in the inhibition of hepcidin by polysaccharides from Angelica sinensis. J. Ethnopharmacol. 2012, 144, 433–440. [Google Scholar] [CrossRef] [PubMed]
- Mu, M.; Wu, A.; An, P.; Du, X.; Wu, Q.; Shen, X.; Wang, F. Black soyabean seed coat extract regulates iron metabolism by inhibiting the expression of hepcidin. Br. J. Nutr. 2014, 111, 1181–1189. [Google Scholar] [CrossRef] [PubMed]
- Chin, D.; Huebbe, P.; Frank, J.; Rimbach, G.; Pallauf, K. Curcumin may impair iron status when fed to mice for six months. Redox. Biol. 2014, 2, 563–569. [Google Scholar] [CrossRef] [PubMed]
- Minear, S.; O’Donnell, A.F.; Ballew, A.; Giaever, G.; Nislow, C.; Stearns, T.; Cyert, M.S. Curcumin inhibits growth of saccharomyces cerevisiae through iron chelation. Eukaryot. Cell 2011, 10, 1574–1581. [Google Scholar] [CrossRef] [PubMed]
- Corradini, E.; Meynard, D.; Wu, Q.; Chen, S.; Ventura, P.; Pietrangelo, A.; Babitt, J.L. Serum and liver iron differently regulate the bone morphogenetic protein 6 (BMP6)-SMAD signaling pathway in mice. Hepatology 2011, 54, 273–284. [Google Scholar] [CrossRef] [PubMed]
© 2016 by the authors; licensee MDPI, Basel, Switzerland. This article is an open access article distributed under the terms and conditions of the Creative Commons by Attribution (CC-BY) license (http://creativecommons.org/licenses/by/4.0/).
Share and Cite
Fustinoni-Reis, A.M.; Arruda, S.F.; Dourado, L.P.S.; Da Cunha, M.S.B.; Siqueira, E.M.A. Tucum-Do-Cerrado (Bactris setosa Mart.) Consumption Modulates Iron Homeostasis and Prevents Iron-Induced Oxidative Stress in the Rat Liver. Nutrients 2016, 8, 38. https://doi.org/10.3390/nu8020038
Fustinoni-Reis AM, Arruda SF, Dourado LPS, Da Cunha MSB, Siqueira EMA. Tucum-Do-Cerrado (Bactris setosa Mart.) Consumption Modulates Iron Homeostasis and Prevents Iron-Induced Oxidative Stress in the Rat Liver. Nutrients. 2016; 8(2):38. https://doi.org/10.3390/nu8020038
Chicago/Turabian StyleFustinoni-Reis, Adriana M., Sandra F. Arruda, Lívia P. S. Dourado, Marcela S. B. Da Cunha, and Egle M. A. Siqueira. 2016. "Tucum-Do-Cerrado (Bactris setosa Mart.) Consumption Modulates Iron Homeostasis and Prevents Iron-Induced Oxidative Stress in the Rat Liver" Nutrients 8, no. 2: 38. https://doi.org/10.3390/nu8020038
APA StyleFustinoni-Reis, A. M., Arruda, S. F., Dourado, L. P. S., Da Cunha, M. S. B., & Siqueira, E. M. A. (2016). Tucum-Do-Cerrado (Bactris setosa Mart.) Consumption Modulates Iron Homeostasis and Prevents Iron-Induced Oxidative Stress in the Rat Liver. Nutrients, 8(2), 38. https://doi.org/10.3390/nu8020038

